FY2020 Annual Report

Quantum Systems Unit

Professor Thomas Busch

qsu FY2020 Annual Report 01

Abstract

In the past year we have focused on characterising properties of strongly correlated ultracold atom system through new quantifiers such as quantum speeds and OTOCS, the description of quantum thermodynamics properties in interacting quantum many-body systems, the superfluid behaviour of BECs in the presence of artificial gauge fields, the coupling between atoms and nanofiber systems and several other topics.

1. Staff

  • Dr. Pham Le Kien, Staff Scientist
  • Dr. Thomás Fogarty, Staff Scientist
  • Dr. Jing Li, Postdoctoral Scholar
  • Dr. Bijita Sarma, Postdoctoral Scholar
  • Dr. Karol Gietka, JSPS Fellow
  • Mr. Mathias Mikkelsen, PhD Student
  • Ms. Seyedeh Sahar Seyed Hejazi, PhD Student
  • Ms. Ayaka Usui, PhD Student
  • Mr. Christopher Campbell, PhD Student
  • Mr. Tim Keller, PhD Student
  • Ms. Friederike Metz, PhD Student
  • Mr. Lewis Ruks, PhD Student
  • Mr. Muhammad Sirajul Hasan, PhD Student
  • Mr. Mohamed Boubakour, PhD Student
  • Mr. Yuta Itoh, PhD Student
  • Mr. Jose Carlos Pelayo, PhD Student
  • Ms. Keerthy Menon, PhD Student
  • Mr. Tai Tran, PhD Student
  • Ms. Sawako Koki, Research Unit Administrator

Rotation Students

  • Ms. Ananya Samanta (January-April, 2020)
  • Ms. Natalya Weber (May-August, 2020)
  • Mr. Tai Tran (May-August, 2020)
  • Mr. Mohammed Zia Jalaudeen (Septermber-December, 2020) *remote
  • Ms. Aswathy Raj (Septermber-December, 2020) *remote
  • Mr. Alexey Vylegzhanin (Septermber-December, 2020)

Research Interns

  • Mr. Houshu Hiyane, Tokyo University of Science, Japan *graduated (July 01 - Dec 27, 2019 / Feb 03 - Apr 30, 2020)
  • Ms. Irina Korshok, Saint Petersburg State University, Russia (Oct 03, 2019 - Apr 30, 2020)
  • Mr. Jianqiao Deng, The University of Hong Kong, China (Mar 25, 2019 - Aug 14, 2020)
  • Ms. Bandita Das, University of Hyderabad, Idia (Sepe 23,2020 - Mar 22, 2021) *VRS, worked remotely
     

2. Collaborations 

2.1 Quantum Metrology

  • Type of collaboration: Joint research
  • Researchers:
    • Prof. S. Campbell, University College Dublin, Ireland
    • Prof. J. Goold. Trinity College Dublin, Ireland

2.2 Shortcuts to adiabaticity

  • Type of collaboration: Joint research
  • Researchers:
    • Dr. A. Ruschhaupt, University College Cork, Ireland
    • Prof. Xi Chen, Shanghai University, China and University of Bilbao, Spain

2.3 Cold atoms and optical nanofibers

  • Type of collaboration: Joint research
  • Researchers:
    • Prof. Sile Nic Chormaic, OIST Graduate University, Japan

2.4 Nonlinear optomechanics

  • Type of collaboration: Joint research
  • Researchers:
    • Prof. Jason Twamley, OIST Graduate University, Japan

2.5 Polaron dynamics in BECs

  • Type of collaboration: Joint research
  • Researchers:
    • Prof. Peter Schmelcher, Hamburg University, Germany

3. Activities and Findings

3.1 Effects of coherence on quantum speed limits

We have discussed the effects of many-body coherence on the speed of evolution of ultracold atomic gases and the relation to quantum speed limits. For this we have focused on two related systems, spinless fermions and the bosonic Tonks-Girardeau gas, which possess equivalent density dynamics but very different coherence properties. To illustrate the effect of the coherence on the dynamics, we have considered squeezing an anharmonic potential which confines the particles and have found that the speed of the evolution exhibits subtle but fundamental differences between the two systems. Furthermore, we have explored the difference in the driven dynamics by implementing a shortcut to adiabaticity designed to reduce spurious excitations. We were able to show that collisions between the strongly interacting bosons can lead to changes in the coherence which result in different evolution speeds and therefore different fidelities of the final states.

qsu FY2020 Annual Report 02
Figure: Trace distance after the trap squeezing using a shortcut to adiabticity as a function of length of teh pulse for the Tonks gas (blue) and the Fermi gas (red). Publication:
Effects of coherence on quantum speed limits and shortcuts to adiabaticity in many-particle systems
T.-N. Xu, J. Li, Th. Busch, X. Chen, and T. Fogarty
Phys. Rev. Research 2, 023125 (2020)

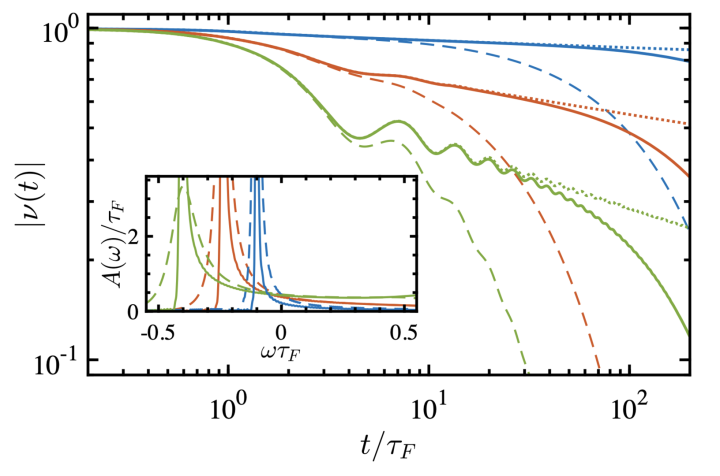
3.2 In Situ Thermometry of a Cold Fermi Gas via Dephasing Impurities

The precise measurement of low temperatures is a challenging, important, and fundamental task for quantum science. In particular, in situ thermometry is highly desirable for cold atomic systems due to their potential for quantum simulation. In this project we have demonstrated that the temperature of a noninteracting Fermi gas can be accurately inferred from the nonequilibrium dynamics of impurities immersed within it, using an interferometric protocol and established experimental methods. Adopting tools from the theory of quantum parameter estimation, we have shown that our proposed scheme achieves optimal precision in the relevant temperature regime for degenerate Fermi gases in current experiments. We have also discovered an intriguing trade-off between measurement time and thermometric precision that is controlled by the impurity-gas coupling, with weak coupling leading to the greatest sensitivities. This could be explained as a consequence of the slow decoherence associated with the onset of the Anderson orthogonality catastrophe, which dominates the gas dynamics following its local interaction with the immersed impurity.

qsu FY2020 Annual Report 03
Figure: Decoherence functions (main) and absorption spectra (inset) for the homogeneous gas, with coupling kFa = -0.5 (blue), kFa = -1.5 (red), kFa = -6 (green) and temperature T=0 (dotted), T=0.01 TF (solid), and T=0.1 TF (dashed). Publication:
In Situ Thermometry of a Cold Fermi Gas via Dephasing Impurities
M.T. Mitchison, T. Fogarty, G. Guarnieri, S. Campbell, Th. Busch, and J. Goold
Phys. Rev. Lett. 125, 080402 (2020)

3.3 Feshbach engine in the Thomas-Fermi regime

Bose-Einstein condensates can be used to produce work by tuning the strength of the interparticle interactions with the help of Feshbach resonances. In inhomogeneous potentials, these interaction ramps change the volume of the trapped gas, allowing one to create a thermodynamic cycle known as the Feshbach engine. However, in order to obtain a large power output, the engine strokes must be performed on a short timescale, which is in contrast to the fact that the efficiency of the engine is reduced by irreversible work if the strokes are done in a nonadiabatic fashion. In this work we have investigated how such an engine can be run in the Thomas-Fermi regime and presented a shortcut to adiabaticity that minimizes the irreversible work and allows for efficient engine operation.

qsu FY2020 Annual Report 04
Figure: Interaction ramp given by the shortcut to adiabaticity for reducing the interaction strength from gi = 1 to gf = 0.8 over a time Tf. The time-rescaled adiabatic reference (TRA) is used for comparison. For these parameters, the modulational instability is triggered once the ramp’s minimum goes below −gi (dashed line), which happens roughly around Tf ≈ 0.45. Publication:
Feshbach engine in the Thomas-Fermi regime
T. Keller, T. Fogarty, J. Li, and Th. Busch
Phys. Rev. Research 2, 033335 (2020)

3.4 Optomechanical cooling by STIRAP-assisted energy transfer

Standard optomechanical cooling methods ideally require weak coupling and cavity damping rates which enable the motional sidebands to be well resolved. If the coupling is too large then sideband-resolved cooling is unstable or the rotating wave approximation can become invalid. In this work we have described a protocol to cool a mechanical resonator coupled to a driven optical mode in an optomechanical cavity, which is also coupled to an optical mode in another auxiliary optical cavity, and both the cavities are frequency-modulated. We have shown that by modulating the amplitude of the drive as well, one can execute a type of STIRAP transfer of occupation from the mechanical mode to the lossy auxiliary optical mode which results in cooling of the mechanical mode. This protocol can outperform normal optomechanical sideband cooling in various regimes such as the strong coupling and the unresolved sideband limit.

qsu FY2020 Annual Report 05
Figure: Comparison between optomechanical cooling using iterated STIRAP truncated pulses and standard sideband cooling. Multicoloured curves show phonon occupancy using STIRAP cooling for various parameters. The horizontal black solid line (wherever shown), depicts the steady-state phonon number obtained from normal sideband optomechanical cooling while in other cases normal optomechanical cooling is not possible due to instability in the system. Publication:
Optomechanical cooling by STIRAP-assisted energy transfer: an alternative route towards the mechanical ground state
B. Sarma1, Th. Busch, and J. Twamley
New J. Phys. 22, 103043 (2020)

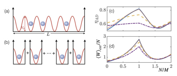
3.5 A many-body heat engine at criticality

We have show that a quantum Otto cycle in which the medium, an interacting ultracold gas, is driven between a superfluid and an insulating phase can outperform similar single particle cycles. The presence of an energy gap between the two phases can be used to improve performance, while the interplay between lattice forces and the particle distribution can lead to a many-body cooperative effect. Since finite time driving of this cycle can create unwanted non-equilibrium dynamics which can significantly impair the performance of the engine cycle, we have also designed an approximate shortcut to adiabaticity for the many-body state that can be used to achieve an efficient Otto cycle around a critical point.

qsu FY2020 Annual Report 06
Figure: (a) Schematic of the setup for the many-body and (b) the single-particle quantum heat engine. (c) Efficiency and (d) work output for an adiabatic cycle as a function of the filling ratio N/M, for different values of the initial potential height. Note that he work output is scaled with the number of particles N. Publication:
A many-body heat engine at criticality
T. Fogarty and Th. Busch
Quantum Sci. Technol. 6 015003 (2021)

3.6 Symmetry breaking in binary Bose-Einstein condensates in the presence of an inhomogeneous artificial gauge field

We have studied a twocomponent Bose-Einstein condensate in the presence of an inhomogeneous artificial gauge field. In response to this field, the condensate forms a localized vortex lattice structure that leads to a nontrivial symmetry breaking in the phase separated regime. The underlying physical mechanism can be understood by considering the energy landscape and we have presented a simplified model that is capable of reproducing the main features of the phase separation transition. The intuition gained by numerically solving this simplified model was then corroborated using an analytical solution found within the Thomas-Fermi limit.

qsu FY2020 Annual Report 07
Figure: Ground state density profiles for the two components of the condensate trapped in an evanescent field in (a) the miscible and (b) immiscible regimes. The intensity of the magnetic field in the x and z direction is indicated on the right-hand side and the symmetrty breaking in the phase-separated regime is clearly visible. Publication:
Symmetry breaking in binary Bose-Einstein condensates in the presence of an inhomogeneous artificial gauge field
S.S.S. Hejazi, J. Polo, R. Sachdeva, and Th. Busch
Phys. Rev. A 102, 053309 (2020)

3.7 Controlled creation of three-dimensional vortex structures in Bose-Einstein condensates using artificial magnetic fields

The physics of quantized vortex excitations in atomic Bose-Einstein condensates has been extensively studied in recent years. Although simple vortex lines are relatively easy to create, control, and measure in experiments, it is a lot more difficult to do the same for vortex ring structures. In this work we have suggested and explored a method for generating and controlling superfluid vortex rings, vortex ring lattices, and other three-dimensional vortex structures in toroidally trapped superfluid Bose-Einstein condensates by using the artificial magnetic field produced by an optical nanofiber.

qsu FY2020 Annual Report 08
Figure: Vortex configurations for different magnetic field profiles from the nanofiber for the fundamental HE11 mode with (a) circular polarization, (b) elliptical polarization, and (c) linear polarization along the y direction. The magnetic field profiles are shown in the shaded region beneath wavefunction. Publication:
Controlled creation of three-dimensional vortex structures in Bose-Einstein condensates using artificial magnetic fields
J. Schloss, P. Barnett, R. Sachdeva, and Th. Busch
Phys. Rev. A 102, 043325 (2020)

3.8 Coupling between guided modes of two parallel nanofibers

We have studied the coupling between the fundamental guided modes of two identical parallel nanofibers analytically and numerically. For this we have calculated the coefficients of directional coupling, butt coupling, and self coupling as functions of the fiber radius, the light wavelength, and the fiber separation distance. We have shown that, due to the symmetry of the system, a mode of a nanofiber with the principal quasilinear polarization aligned along the axis joining the nanofibers or the perpendicular axis is coupled only to the mode with the same corresponding principal polarization of the other nanofiber. This means that the effects of the butt coupling and the self coupling on the power transfer are significant when the fiber radius is small, the light wavelength is large, or the fiber separation distance is small. We have shown that the power transfer coefficient may achieve a local maximum or become zero as the fiber radius, the light wavelength, or the fiber separation distance varies.

qsu FY2020 Annual Report 09
Figure: (a) Directional coupling coefficient, (b) butt coupling coefficient and (c) self-coupling coefficient as functions of the fiber radius.  Publication:
Coupling between guided modes of two parallel nanofibers
F. Le Kien, L. Ruks, S. Nic Chormaic and Th. Busch
New J. Phys. 22, 123007 (2020)

3.8 Deep learning based quantum vortex detection in atomic Bose-Einstein condensates

Quantum vortices naturally emerge in rotating Bose-Einstein condensates (BECs) and, similarly to their classical counterparts, allow the study of a range of interesting out-of-equilibrium phenomena like turbulence and chaos. However, the study of such phenomena requires to determine the precise location of each vortex within a BEC, which becomes challenging when either only the condensate density is available or sources of noise are present, as is typically the case in experimental settings. In this work we have introduced a machine learning based vortex detector motivated by state-of-the-art object detection methods that can accurately locate vortices in simulated BEC density images. Our model allows for robust and real-time detection in noisy and non-equilibrium configurations. Furthermore, the network can distinguish between vortices and anti-vortices if the condensate phase profile is also available. 

qsu FY2020 Annual Report 10
Figure: The locations of the vortex cores within each image are indicated by red crosses for the model prediction and by white circles for the ground truth obtained through the brute-force detection method. The CNN model was trained and tested only on BEC density images and therefore does not have access to the information encoded in the phase profile. (a), (b) and (c) show examples of BEC density configurations to which random Gaussian noise is added with growing standard deviations from left to right (σ = 0.1, 0.2, 0.5). Publication:
Deep learning based quantum vortex detection in atomic Bose-Einstein condensates
F. Metz1, J. Polo, N. Weber1 and Th. Busch
accepted in Machine Learning: Science and Technology

4. Publications

4.1 Journal

  1. Effects of coherence on quantum speed limits and shortcuts to adiabaticity in many-particle systems
    Tian-Niu Xu, Jing Li, Thomas Busch, Xi Chen, and Thomás Fogarty
    Phys. Rev. Research 2, 023125 (2020).
  2. Chiral excitation of a single atom by a quantized single-photon pulse in a guided mode of a nanofiber
    F. Le Kien, S. Nic Chormaic, and Th. Busch
    Phys. Rev. A 101, 063816 (2020).
  3. In Situ Thermometry of a Cold Fermi Gas via Dephasing Impurities
    M.T. Mitchison, T. Fogarty, G. Guarnieri, S. Campbell, Th. Busch, and J. Goold
    Phys. Rev. Lett. 125, 080402 (2020). Editor's Suggestion
  4. A Feshbach engine in the Thomas-Fermi regime
    T. Keller, T. Fogarty, J. Li, and Th. Busch
    Phys. Rev. Research 2, 033335 (2020).
  5. Spin selection in single-frequency two-photon excitation of alkali-metal atoms
    Krishnapriya Subramonian Rajasree, Ratnesh Kumar Gupta, Vandna Gokhroo, Fam Le Kien, Thomas Nieddu, Tridib Ray, Síle Nic Chormaic, and Georgiy Tkachenko
    Phys. Rev. Research 2, 033341 (2020).
  6. Pump-probe spectroscopy of Bose polarons: Dynamical formation and coherence
    S.I. Mistakidis, G.C. Katsimiga, G.M. Koutentakis, Th. Busch, and P. Schmelcher
    Phys. Rev. Research 2, 033380 (2020).
  7. Universal and optimal coin sequences for high entanglement generation in 1D discrete time quantum walks
    A. Gratsea, F. Metz, and Th. Busch
    J. Phys. A: Math. Theor. 53 44530 (2020).
  8. Optomechanical cooling by STIRAP-assisted energy transfer − an alternative route towards the mechanical ground state
    B. Sarma, Th. Busch, and J. Twamley
    New J. Phys. 22 103043 (2020).
  9. Controlled creation of three-dimensional vortex structures in Bose-Einstein condensates using artificial magnetic fields
    J. Schloss, P. Barnett, R. Sachdeva, and Th. Busch
    Phys. Rev. A 102, 043325 (2020). Editor's Suggestion
  10. A many-body heat engine at criticality
    Thomás Fogarty and Thomas Busch
    Quantum Sci. Technol. 6 015003 (2020)
  11. Symmetry breaking in binary Bose-Einstein condensates in the presence of an inhomogeneous artificial gauge field
    S. Sahar S. Hejazi, Juan Polo, Rashi Sachdeva, Thomas Busch
    Phys. Rev. A 102, 053309 (2020) Editor's Suggestion
  12. Time-optimal variational control of bright matter-wave soliton
    Tang-You Huang, Jia Zhang, Jing Li, Xi Chen
    Phys. Rev. A 102,053313 (2020)
  13. Coupling between guided modes of two parallel nanofibers
    Fam Le Kien, Lewis Ruks, Sile Nic Chormaic, Thomas Busch
    New J. Phys. 22 123007 (2020)
  14. Spatial distributions of the fields in guided normal modes of two coupled parallel optical nanofibers
    Fam Le Kien, Lewis Ruks, Sile Nic Chormaic, Thomas Busch
    Accepted for New J. Phys. 10 1088 (2021)
  15. Bayesian parameter estimation using Gaussian states and measurements
    Simon Morelli, Ayaka Usui, Elizabeth Agudelo, Nicolai Friis
    Quantum Sci. Technol. 6 025018 (2021)
  16. Cavity-enhanced magnetometer with a spinor Bose-Einstein condensate
    K. Gietka, F. Mivehvar, and Th. Busch
    Accepted for New J. Phys. 10 1088 (2021)

4.2 Books and other one-time publications

Nothing to report

4.3 Oral and Poster Presentations

4.3.1 Conference Invited Talk

  1. Busch, Th. Non-equilibrium dynamics in strongly correlated quantum gases, The CLEO PR 2020 Conference: An all-virtual conference, Online, 4 August (2020).
  2. Busch, Th. Cavity-enhanced magnetometer using a spinor Bose-Einstein condensate, TQSense, Online, 3 February (2021).

4.3.2 Conference Oral Presentation

  1. Usui, A. Extension of thermodynamic virtual qubits to multi-level systems, JPS Autum Meeting 2020, Online, 10 October (2020).
  2. Gietka, K. Quantum Simulators in Other Frames of Reference, Q-Turn Workshop 2020, Online, 24 November (2020).
  3. Busch, Th. Controlling correlated quantum systems, Tohoku Quantum Alliance x OIST Quantum Meeting, OIST/Online, 24 November (2020).
  4. Fogarty, T. In Situ Thermometry of a Cold Fermi Gas via Dephasing Impurities, JPS Spring Meeting 2021, Online, 14 March (2021).
  5. Mikkelsen, M. Connecting scrambling and work statistics for short-range interactions in the harmonic oscillator, JPS Spring Meeting 2021, Online, 14 March (2021).

4.3.3 Conference Poster Presentation

  1. Ruks, L. & Busch, Th. Asymptotic long-range interactions of quantum emitters through structured photonic baths, Quantum Nanophotonics Benasque 2021, Online, 2 March (2021).
  2. Usui, A., Niedenzu, W. & Huber, M. Simplifying multi-level thermal machines using virtual qubits, Quantum Thermodynamics of Non-Equilibrium systems, Online, 14 October (2020).

4.3.4 Seminar

  1. Fogarty, T. A many-body heat engine at criticality, Keio Univeristy, Zoom, 13 July (2020).
  2. Busch, T. In-situ thermometry of a cold Fermi gas via dephasing impurities, Washington State University, Zoom, 8 October (2020).
  3. Usui, A. Simplifying multi-level thermal machines using virtual qubits, Boston University, Zoom, 29 October (2020).

5. Intellectual Property Rights and Other Specific Achievements

Nothing to report

6. Seminar, Meetings and Events

6.1 Seminar

6.1.1 Spin-tensor-momentum coupled bright solitons

  • Date: 9 December 2020
  • Venue: OIST Campus L4E48/Zoom
  • Speaker: Yongping Zhang (Professor, Shanghai University, China)

6.1.2 Quantum simulation of energy transport in an open quantum system

  • Date: 21 December 2020
  • Venue: OIST Campus L4E48/Zoom
  • Speaker: Chandrashekar Madaiah (Professor, The Institute of Mathematical Sciences, India)

6.1.3 Self-bound supersolid phase in Bose-Bose mixtures and dipolar condensates

  • Date: 22 January 2021
  • Venue: OIST Campus B503/Zoom
  • Speaker: Rashi Sachdeva (Postdoctoral Researcher, Lund University Sweden)

6.1.4 A short tour of quantum speed limits

  • Date: 27 January 2021
  • Venue: OIST Campus C209/Zoom
  • Speaker: Steve Campbell (Assistance Professor, University College Dublin, Ireland)

6.1.5 High Performance Quantum Computing

  • Date: 5 February 2021
  • Venue: OIST Campus L4E48/Zoom
  • Speaker: Lee O'Riordan (Postdoctoral Researcher, ICHEC, Dublin, Ireland)

6.1.6 From ultracold gases to hot nanoscale systems: a long journey

  • Date: 9 February 2021
  • Venue: OIST Campus L4E01/Zoom
  • Speaker: Nicola Lo Gullo (Postdoctoral Researcher, CSC – IT Center for Science Espoo, Finland)

6.1.7 All’s well that ends well: Super shortcuts to adiabaticity

  • Date: 24 February 2021
  • Venue: OIST Campus L4E48/Zoom
  • Speaker: Albert Benseny Cases (Senior Quantum Control Engineer, Q-CTRL, Australia)

6.1.8 Rotating condensates in topologically non-trivial geometries

  • Date: 14 April 2021
  • Venue: OIST Campus L4E48/Zoom
  • Speaker: Angela White (Research Fellow, Australian National University, Australia)

6.2 Meetings and Events

6.2.1 Tohoku Quantum Alliance x OIST Quantum Meeting

  • Date: November 24 - 25, 2020
  • Venue: OIST/ Zoom
  • Organizers:
    • Thomas Busch OIST Graduate University
    • Yong P. Chen Tohoku Quantum Alliance, Tohoku University

Two workshops were cancelled due to the COVID-19 outbreak
*14 - 17 April Ultracold Atoms Japank
*29 Septermber - 8 October Okinawa School in Physics 2020: Coherent Quantum Dynamics

7. Other

Nothing to report.