FY2012 Annual Report

Quantum Systems Unit

Associate Professor Thomas Busch

qsu FY2012 Annual Report 01

Abstract

After finally relocating to Okinawa, the group has set up again and is finding its feet in the in the new and beautiful environment. Our focus currently remains the work on cold atomic gases and quantum information, but we are making first strides into areas related to biophysics and establishing local collaborations.

Even though they have been experimentally available for almost 20 years now, cold atomic gases are still finding applications as clean and highly controllable test systems in many areas of physics. Most prominent among these are quantum mechanics and solid-state physics and we are working on describing a number of systems and techniques to identify new applications and physics. These include strongly correlated systems, quantum walks, spin-chains, new-trapping geometries, superfluid systems, double wells and others.

1. Staff

  • Dr. Chandrashekar Madaiah, Researcher
  • Dr. Steve Campbell, Researcher
  • Dr. Ciaran Phelan, Researcher
  • Dr. Jeremie Gillet, Researcher
  • Thomas Fogarty, Student
  • Nicola Lo Gullo, Student
  • Tadhg Morgan, Student
  • Tara Hennessy, Student
  • Jonathan Richens, Research Intern
  • Sawako Koki, Research Administrator

2. Collaborations

  • Theme: Four-mode double well models for Bose-Einstein condensates
    • Type of collaboration: Joint research
    • Researchers:
      • M.A. Garcia March, University of Barcelona, Spain
      • Fernando Sols, Universidad Complutense de Madrid, Spain
      • Lincoln Carr, Colorado School of Mines, US
  • Theme: Entanglement in Coupled Ion Systems
    • Type of collaboration: Joint research
    • Researchers:
      • Giovanna Morigi, Universität der Saarlandes, Germany
  • Theme: Non-markovian master equations
    • Type of collaboration: Joint research
    • Researchers:
      • Prof. Francesco Petruccione, University of Kwazulu Natal , South Africa
  • Theme: Entanglement tests based on spin squeezing
    • Type of collaboration: Joint research
    • Researchers:
      • Prof. Bryan Dalton, Swinburne University, Australia
  • Theme: Multi-component quantum gases in the strong correlation regime
    • Type of collaboration: Joint Research
    • Researchers:
      • M.A. Garcia March, University of Barcelona, Spain
  • Theme: Adiabatic techniques for quantum engineering
    • Type of collaboration: Joint Research
    • Researchers:
      • J. Mompart, Universitat Autonoma de Barcelona, Spain
      • V. Ahufinger, Universitat Autonoma de Barcelona, Spain
      • R. Menchon, Universitat Autonoma de Barcelona, Spain

3. Activities and Findings

3.1 Decoherence-assisted energy transfer and quantum criticalities

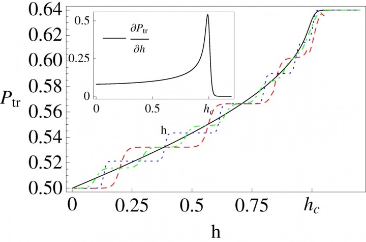
As an example where an external environment can control a specified system. we have studied the dynamics of a two-level quantum system interacting with an external XY spin chain in the presence of an external magnetic field. While the bath itself can enhance the transition probability from the lower level to the upper level of the system, we show that this noise-assisted phenomenon is also sensitive to a change of the quantum phase of the environment. The derivative of the transition probability displays a maximum in correspondence with the critical value of the applied field in the case of both isotropic and anisotropic chains.

qsu FY2012 Annual Report 02

The figure shows the transition probability as a function of external field strength for a increasing number of sites. The mean field limit is represented by the smooth black curve and the inset shows the maximum of the derivative appearing at the critical value.

3.2 Creating atom-number states around tapered optical fibers

By introducing a tapered optical nanofiber into a Mott insulator state of ultracold atoms in an optical lattice potential, a mesoscopic atomic sample with a very well defined particle number can be created. This is possible due to the fact that the disturbance of the lattice geometry due to scattering effects on the fibre is small and we have calculated the best strategy for minimizing this effect. By transmitting off-resonant light through the fiber one can then melt the lattice potential locally, so that only a well-defined number of atoms from the Mott state transfer into the lattice potential.

qsu FY2012 Annual Report 03

The figure shows an example in which the original lattice positions are identified, which are effected by the optical potential around the fibre such that the atoms are trapped in the fibre-trap after the lattice is switched off. For this set of parameters a sample of 20 atoms is created.

3.3 Decoherence effects on a two-dimensional quantum walk

Noise effects resulting in state flipping and depolarization are known to be able to enhance transport in quantum walk systems, due to their destructive influence on the coherences build up during the walk. In this work we have compared the quantum correlations between the two spatial (x-y) degrees of freedom using measurement-induced disturbance for several two-dimensional discrete-time quantum walks and found that the schemes using two-state coins are more robust against decoherence than the Grover walk, which uses a four-state coin.

qsu FY2012 Annual Report 04
qsu FY2012 Annual Report 05

The figure shows the probability distribution of the Grover walk when subjected to a different state-flip noise level p = 0.1 (left hand side) and p = 0.9 (right hand side).

3.4 Effect of interparticle interaction in a free oscillation atomic interferometer

In this project we investigate the quantum states resulting from two interacting bosons repeatedly scattering off a beam-splitter in a free oscillation atom interferometer. In this process the interparticle scattering length and the beam-splitter probabilites can be used as control parameters, leading to the possible creation of a wide range of interesting states for quantum metrology, including the NOON state.

3.5 Entangling two defects via a surrounding crystal

As a model for entangling two particles through an environment we theoretically investigate how two impurity defects embedded in and interacting via a crystalline structure develop correlations as a function of time. For sufficiently cold chains and for a certain class of initial, separable states of the defects we show that entanglement can be created, which results from the interplay between localized modes , is independent of the chain size, and decays slowly with the distance between the impurities.

3.6 Quantum gas mixtures in different correlation regimes

Two-component ultracold bosonic gases, where one of the species is in the weakly interacting regime and the other is either weakly or strongly interacting, are of large interest in the area of quantum engineering. We are developing a description for the one-dimensional limit, in which a strongly correlated component (a Tonks-Girardeau gas) is immersed in a Bose-Einstein condensate, which is an example of a new class of quantum system involving a tunable, superfluid environment.

3.7 Spin squeezing and entanglement tests

In order to represent physical states the density operator for systems of identical particles must satisfy the symmetrisation principle (SP) and conform to super-selection rules (SSR) that prohibit states that have coherences between differing total particle numbers. Here we consider the entanglement between two systems of modes, whose occupancies are given by the particle numbers, through spin squeezing inequalities and find that the presence of super-selection rules requires existing inequalities to be modified. The work applies to systems with conserved particle number.

4. Publications

4.1 Journals

  1. G. L. Giorgi & Th. Busch, Decoherence-assisted energy transfer and quantum criticalities.
    Physical Review A 86, 052112 (2012)
  2. S. Campbell, Predominance of entanglement of formation over quantum discord under quantum channels.
    Quantum Information Processing, 12, 2623-2636 (2013)
  3. G. L. Giorgi & Th. Busch, Genuine correlations in finite-size spin systems.
    International Journal of Modern Physics B 27, 1345034 (2013)
  4. C. M. Chandrashekar & Th. Busch, Decoherence on a two-dimensional quantum walk using four- and two-state particle.
    Journal of Physics A: Mathematical and Theoretical 46, 105306 (2013)

4.2 Books and other one-time publications

Nothing to report

4.3 Oral and Poster Presentations

  1. T. Morgan & Th. Busch, Radio Frequency Theory and Applications, Quantum Interfaces: Integrating Light, Atoms and Solid-State Devices, Milton Keynes, UK (May 14, 2012) [Poster Presentation]
  2. L. O'Riordan, T. Morgan & Th. Busch, Simulations of 3D atomic dynamics using a GPU accelerated split operator method, Quantum Correlations Students Workshop, University of Notthingham, UK, (July 2, 2012) [Poster Presentation]
  3. N. Lo Gullo, G. M. Palma, M. Paternostro & Th. Busch, Coupling Matter Waves to Nano-mechanical Oscillators, ICAP 2012: The 23rd International Conference on Atomic Physics, Paris, France (July 23, 2012) [Poster Presentation]
  4. T. Hennessy & Th. Busch, Preparing well-defined atom-number states in the evanescent field of an optical nanofibre and using the fibre to resolve local atoms in an optical lattice, ICAP 2012: The 23rd International Conference on Atomic Physics, Paris, France (July 23, 2012) [Poster Presentation]
  5. S. Campbell, Propagation of non-classical correlations across a quantum spin chain, 11th International Conference on Quantum Communication, Measurement and Computing, Vienna, Austria (Aug 3, 2012) [Poster Presentation]
  6. C. M. Chandrashekar & Th. Busch, Noise-enhanced quantum transport using quantum walks, Gordon Research Conference on Quantum Sciences, MA, USA (Aug 15, 2012) [Poster Presentation]
  7. C. F. Phelan, T. Hennessy & Th. Busch, Atomic motion in the evanescent field of tapered optical fibers, Photon12, Durham, UK (Sep 2, 2013) [Oral Presentation]
  8. J. Goold, T. Fogarty, N. Lo Gullo, M. Paternostro & Th. Busch, Quantum bit embedding in an ultra-cold Fermi sea, Quantum Africa, Durban, South Africa (Sep 3, 2012) [Oral Presentation]
  9. L. O'Riordan, T. Morgan & Th. Busch, Simulations of 3D atomic dynamics using a GPU accelerated split operator method, Quantum Atomic, Molecular, and Plasma Physics (QUAMP) Summer School, Queens University Belfast, UK, (Sep 11, 2012) [Poster Presentation]
  10. J. Gillet, M.A.Garcia-March, Th. Busch, L.D. Carr, F. Sols, & I. Zapata, Tunnelling, self-trapping and manipulation of higher modes of a BEC in a double well, Quantum Technologies Conference III, Warsaw, Poland (Sep 14, 2012) [Oral Presentation]
  11. T. Fogarty, A. Kiely, S. Campbell & Th. Busch, Creating NOON states in a free oscillation atom interferometer, Quantum Technologies: taking concepts through to implementations London, UK (Dec 17, 2012) [Poster Presentation]
  12. T. Hennessy, C. F. Phelan & Th. Busch, Cold Atoms and Optical Nanofibres, Quantum Technologies: taking concepts through to implementations London, UK (Dec 17, 2012) [Poster Presentation]

5. Intellectual Property Rights and Other Specific Achievements

Nothing to report

6. Meetings and Events

6.1 Seminar

  1. Speaker: C. Madaiah
    Title: Two-state quantum walk on different lattices and its applications
    Date: Oct 1, 2012
    Venue: Institute of Mathematical Sciences, Chennai, India
  2. Speaker: C. Madaiah
    Title: Two-state quantum walk on different lattices and its applications
    Date: October 3, 2012
    Venue: Indian Institute of Sciences, Bangalore, India
  3. Speaker: C. Madaiah
    Title: Quantum percolation of two-state particle and Anderson transition
    Date: Feb 1, 2013
    Place: Raman Research Institute, Bangalore, India
  4. Speaker: Madaiah, C.
    Title: Localization induced storage and perfect retrieval of quantum state
    Date: Feb 1, 2013
    Venue: Electrical and Communication Engineering DepartmentIndian Institute of Sciences, Bangalore, India
  5. Speaker: Prof. Fabrice Debbasch, UPMC - University Pierre and Marie Curie, France
    Title: Discrete time quantum walks in (1 + 1) dimensions: wave propagation and diffusive transport
    Date: March 5, 2013
    Venue: OIST
  6. Speaker: Dr. Ameneh Sheikhan, The National Institute for Theoretical Physics (NITheP), Stellenbosch, South Africa
    Title: Fermi edge singularity in the semi-infinite one dimensional wire interacting with a quantum dot
    Date: March 26, 2013
    Venue: OIST

6.2 Workshop: Quantum Seminar

  • Organizer: Thomas Busch
  • Co-organizer: Sile Nic Chormaic, Nic Shannon
  • Dates: May 7-10, 2012
  • Place: OIST Campus
  • Speakers:
    • Prof. J. Miller, Tails of Genome Evolution, OIST
    • Prof. T. Shintake, Quantum wave approaches nano-world in bio-systems, OIST
    • Prof. E. De Schutter, A Sampling of Research in the Computational Neuroscience Unit, OIST
    • Prof. D. Konstantinov, Quantum physics of electrons on helium, OIST
    • Prof. B. Kuhn, In Vivo Imaging of the Brain at Cellular or Sub-cellular Resolution, OIST
    • Prof. U. Skoglund, Using Molecular Electron Tomography to analyze macromolecules, OIST
    • Prof. M. Wolf, Molecular structure from images – single particle cryo-EM in a nutshell, OIST
    • T. Fogarty, Strongly Correlated Quantum Gases, University College Cork
    • M. Daly, Biological optical fibres, University College Cork
    • Dr. C. F. Phelan, Optical Nanofibres, University College Cork
    • Dr. O. Sikora, Quantum Monte Carlo Simulations of a Quantum Ice, OIST
    • Dr. C. Madaiah, Quantum Walks, OIST
    • A. Smerald, Optical nanofibres as atom probes, University of Bristol
    • L. Russel, Optical nanofibres as atom probes, University College Cork
    • A. Watkins,Microbubbles as sensors, University College Cork
    • Dr. S. Campbell, Post-Markovian Master Equations, University College Cork
    • J. O. Benton, How to make a photon in a quantum spin liquid, University of Bristol
    • Dr. Y. Yang, Whispering gallery mode cavities, University College Cork
    • Dr. J. Gillet, Quantum Entanglement, University College Cork
    • Dr. L. Jaubert, Magnetic Monopoles in Spin Ice, OIST
    • M. Frawley,Optical nanofibres for particle manipulation, University College Cork
    • Dr. C. Cassidy, Nanoparticles by Design for Nanotechnology and Biomedical Applications, OIST

7. Others

7.1 Visitors

Jan 14 - Mar 07 Richard Menchon (Universitat Autonoma de Barcelona, Barcelona, Spain)
Feb 03 - Mar 02 Miguel Angel Garcia March (Universitat de Barcelona, Barcelona, Spain)
Mar 03 - Mar 10 Fabrice Debbasch (University Pierre et Marie Curie, Paris, France)
Mar 10 - Mar 21 Albert Benseny Cases (Universitat Autonoma de Barcelona, Spain)
Mar 10 - Mar 25 John Goold (Oxford University, UK / University College Cork, Ireland)
Mar 10 - Mar 30 Ameneh Sheikhan (National Institute for Theoretical Physics, Stellenbosch, South Africa)
Mar 12 - Mar 16 Libby Heaney Centre for Quantum Technologies, National University of Singapore, Singapore)