FY2015 Annual Report

Quantum Systems Unit

Associate Professor Thomas Busch

qsu FY2015 Annual Report 01

Abstract

In the past year we have focused on vortex dynamics in Bose-Einstein condensates, quantum engineering of ultracold atom systems through shortcuts to adiabaticity, the description of quantum thermodynamics properties in strongly correlated quantum systems, spin-orbit coupled BECs and several other topics.

1. Staff

  • Dr. Zhang Yongping, Researcher
  • Dr. Albert Benseny Cases, Postdoctoral Scholar
  • Dr. Angela White, Postdoctoral Scholar
  • Dr. Rashi Sachdeva, Postdoctoral Scholar
  • Dr. Marta Abad Garcia, Postdoctoral Scholar
  • Dr. Thomás Fogarty, Postdoctoral Scholar
  • Ms. Tara Hennessy, PhD Student
  • Mr. Lee O'Riordarn, PhD Student
  • Ms. Irina Reshodko, PhD Student
  • Mr. Jiabao Chen, PhD Student
  • Mr. James Schloss, PhD Student
  • Ms. Sawako Koki, Research Administrator

Rotation Students

  • Mr. James Schloss (January - April, 2015)
  • Ms. Yuna Hattori (January - April, 2015)
  • Mr. Adrian David (September - December, 2015)

Research Interns

  • Mr. Gurjot Singh Sidhu, University of Delhi, India (June 01 - July 31)
  • Mr. Thomas Fay, University of Oxford, UK (July 01 - August 31)
  • Mr. Marcel Buen Nogueira,Autonomous University of Barcelona, Spain(July 13- September 14)
  • Mr. Mark Kremer, Friedrich Schiller University Jena, Germany (October 01 - February 29)
  • Mr. Abasalt Bahrami, University of Sao Paulo, Brazil (December 22 - May 20)
  • Mr. Christopher Campbell, National University of Ireland Galway, Ireland (February 10 - July 13)

2. Collaborations

  • Theme: Quantum control
    • Type of collaboration: Joint research
    • Researchers:
      • M. Nakahara (Kindai University, Osaka, Japan)
  • Theme: Quantum Turbulence
    • Type of collaboration: Joint research
    • Researchers:
      • M. Tsubota, Osaka City University
  • Theme: Multi-dimensional SAP
    • Type of collaboration: Joint research
    • Researchers:
      • J. Mompart, Universitat Autonoma de Barcelona, Spain
      • V. Ahufinger, Universitat Autonoma de Barcelona, Spain
      • J. Polo, Universitat Autonoma de Barcelona, Spain
  • Theme: Quantum Thermodynamics
    • Type of collaboration: Joint research
    • Researchers:
      • M. Paternostro, Queen's University Belfast, Northern Ireland
  • Theme: Creating non-classical many-body states using shortcuts to adiabaticity
    • Type of collaboration: Joint research
    • Researchers:
      • G. Muga, Bilbao University, Spain
  • Theme: Spin-Orbit Coupling in Bose-Einstein condensates
    • Type of collaboration: Joint research
    • Researchers:
      • P. Engels, Washington State University, US
  • Theme: Shortcuts to adiabaticity
    • Type of collaboration: Joint research
    • Researchers:
      • A. Ruschhaupt, University College Cork, Ireland
      • A. Kiely, University College Cork, Ireland
      • T. Dowdall, University College Cork, Ireland
  • Theme: Extended Bose Hubbard physics for two leg ladder configuration
    • Type of collaboration : Joint research
    • Researchers :
      • M. Singh, Physical Research Laboratory, Ahmedabad, India
  • Theme: Plasmon modes in massive Dirac systems
    • Type of collaboration : Joint research
    • Researchers :
      • A. Agarwal, Indian Institute of Technology, Kanpur, India
  • Theme: BECs in antidot lattices
    • Type of collaboration: Joint research
    • Researchers:
      • T. Kinoshita, Kyoto University

3. Activities and Findings

3.1 Creating Exotic Angular Momentum States by Shaking an Optical Lattice

Together with Andreas Ruschhaupt and Anthony Kiely from University College Cork we have proposed a method to create higher orbital states of ultracold atoms in the Mott regime of an optical lattice. This can be done by periodically modulating the position of the trap minima (known as shaking) and controlling the interference term of the lasers creating the lattice. These methods are combined with techniques of shortcuts to adiabaticity, and as an example of this, we have shown how to create an anti–ferromagnetic type ordering of angular momentum states of atoms. The specific pulse sequences are designed using Lewis–Riesenfeld invariants and a four-level model for each well. The results have been compared with numerical simulations of the full Schrödinger equation.

qsu FY2015 Annual Report 02
Figure: Diagram of the final state of each atom in the lattice. Each site contains one atom with ± 1 quantum of angular momentum in an anti-ferromagnetic type ordering.

3.2 Review of Spatial Adiabatic Passage

Adiabatic techniques are known to allow for engineering quantum states with high fidelity. This requirement is currently of large interest, as applications in quantum information require the preparation and manipulation of quantum states with minimal errors. To this aim, techniques for the preparation of spatial states through adiabatic passage have been developed, which can be applied to matter waves in external potentials (such as cold atoms or electrons) and to classical waves in waveguides (such as light or sound). Together with Andrew Greentree (from the Royal Melbourne Institute of Technology) and Ricard Menchon-Enrich, Jordi Mompart, and Verònica Ahufinger (from the Universitat Autònoma de Barcelona) we have written a comprehensive review on the recent progress on developing of such techniques, particularly focusing on three-state systems.

qsu FY2015 Annual Report 03
Figure: Sketch of the three-level model approximation used to describe a single quantum particle in a triple-well potential to which spatial-adiabatic techniques are applied.

3.3 Necklace states and persistent flows in spin-orbit coupled Bose-Einstein condensates

Necklace-like states composed of azimuthally periodic density modulation along a ring geometry have been proposed and experimentally observed in non-linear optical systems. We have examined immiscible two dimensional toroidally trapped Bose-Einstein condensates with Rashba-type spin orbit coupling and find that they support stable necklace-like solutions as well, with the number of petals composing the necklace depending linearly on the spin-orbit coupling strength. In the miscible regime we find that toroidally trapped spin-orbit coupled Bose-Einstein condensates exhibit homogeneous density distributions around the ring with a unit winding number difference between each component.

qsu FY2015 Annual Report 04
Figure: Density and phase distributions for two-component condensates in the presence of spin-orbit coupling as a function of the spin-orbit coupling strength (lambda).

3.4 Radial phase separation of multi-component toroidally trapped superfluids

Two component condensates subject to rotation promise intriguing quantum dynamics and unique ground states, driven by the competition between interaction and rotational energies. We have investigated the phase diagram of toroidally trapped two-component Bose-Einstein condensates and shown the existence of a regime of radially phase separated ground states that can be reached by imposing a difference in rotation on the two superfluid components. This radial phase separated state exists in both the miscible and immiscible interaction regimes.

qsu FY2015 Annual Report 05
Figure: Density distributions of the two-components for different differences in the angular momentum per component. The emergence of radial phase separation can be seen.

3.5 Evanescent field induced vortex rings in BECs trapped outside nanofibres

Artificial gauge fields are versatile tools that allow to control the dynamics of ultracold atoms in Bose-Einstein condensates. Here we have investigated a method of artificial gauge field generation stemming from the evanescent field of the curved surface of an optical nanofibre. The exponential decay of the evanescent fields leads to large gradients in the generalized Rabi frequency and therefore, in turn, to generation of geometric vector and scalar potentials. We have performed numerical simulations of two-dimensional GPE using the artificial gauge fields originating from the fundamental HE11 mode, and found that they lead to the generation of vortex rings. Due to versatility of the light fields in the nanofibre, such a system can be thought of as a highly controllable laboratory for topological excitations in BECs.

qsu FY2015 Annual Report 06
Figure: (left) artificial B fields created by a two-coloured light field as a function of the different polarisations. (right) Density distribution and phase of the condensate, clearly showing the vortex induced by the artificial B field. The B field distribution in the radial direction is shown in the top plots.

3.6 Extended Bose Hubbard model for two leg ladder in artificial magnetic field

We have investigated the ground state properties of ultracold atoms with long range interactions trapped in a two leg ladder configuration, in the presence of an artificial magnetic field. Using a Gross-Pitaevskii approach and a mean field Gutzwiller variational method, we have explored both, the weakly interacting and the strongly interacting regime, in the presence of artificial magnetic field. We have calculated the transition boundaries for the Density-wave - supersolid and Mott-insulator - superfluid phases, as a function of magnetic flux within the mean field theory. In addition we have also performed numerical calculations using cluster coupled mean field theory, and verified the analytical calculations. Our numerical calculations point out the possibility of a supersolid phase, which is characterized using the momentum distribution profiles.

qsu FY2015 Annual Report 07
Figure: Schematic of the setup (upper) and phase diagram of the system (lower)

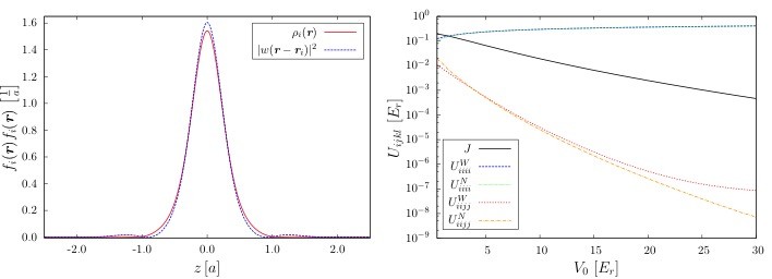
3.7 Interaction induced effects on Wannier functions and its consequence on calculation of Bose Hubbard parameters

n this project, we have studied the effects of onsite repulsive interactions on the broadening of site localized Wannier functions used in the calculation of the parameters of a Bose Einstein condensate in an optical lattice. We have done this by replacing the Wannier functions, which do not contain any information about the interactions, by a two particle wavefunction, based on a calculation with an interaction potential. These interaction dependent basis functions are then used to compute the hopping rate J, the on-site interaction strength U in the Bose Hubbard model and the pair tunnelling strength, which becomes non-negligible. The new Bose Hubbard parameters are found to be substantially different, both at low and high lattice depths, from the ones calculated with single particle Wannier functions. The results based on this approach show that the density effects are not neglectable for many parameter ranges, with possible application in explanation of non-uniform atomic clock shift observed recently.

qsu FY2015 Annual Report 08
Figure: Single particle Wannier function compared to the interaction broadened one (left) and parameters of the new Bose-Hubbard model as a function of the lattice depth (right).

4. Publications

4.1 Journals

  1. Magnetic phase transition in coherently coupled Bose gases in optical lattices
    L. Barbiero, M. Abad, and A. Recati
    Phys. Rev. A 93, 033645 (2016)
  2. Non-adiabatic generation of NOON states in a Tonks--Girardeau gas
    J. Schloss, A. Benseny, J. Gillet, J. Swain, and Th. Busch
    New J. Phys. 18, 035012 (2016)
  3. Spatial adiabatic passage via interaction-induced band separation
    A. Benseny, J. Gillet, and Th. Busch
    Phys. Rev. A 93, 033629 (2016)
  4. Emergence of Classical Rotation in Superfluid Bose-Einstein Condensates
    A. White, T. Hennessy and Th. Busch
    Phys. Rev. A 93, 033601 (2016)
  5. Persistent currents in coherently coupled Bose-Einstein condensates in a ring trap
    Marta Abad
    Phys. Rev. A 93, 033603 (2016)
  6. Interacting spin-orbit-coupled spin-1 Bose-Einstein condensates
    Kuei Sun, Chunlei Qu, Yong Xu, Yongping Zhang, Chuanwei Zhang
    Phys. Rev. A 93, 023615 (2016)
  7. Moire super-lattice structures in kicked Bose-Einstein condensates
    L.J. O'Riordan, A. White, and Th. Busch
    Phys. Rev. A 93, 023609 (2016)
  8. Transport of ultracold atoms between concentric traps via spatial adiabatic passage
    Joan Polo, Albert Benseny, Thomas Busch, Verònica Ahufinger, Jordi Mompart
    New J. Phys. 18, 015010 (2016)
  9. Fast quasi-adiabatic dynamics
    S. Martínez-Garaot, A. Ruschhaupt, J. Gillet, Th. Busch, and J. G. Muga
    Phys. Rev. A92, 043406 (2015)
  10. Limit distributions for different forms of four-state quantum walks on a two-dimensional lattice
    T. Machida, C.M. Chandrashekar, N. Konno, and Th. Busch
    QIC 15, 1248 (2015)
  11. Bright solitons in a two-dimensional spin-orbit-coupled dipolar Bose-Einstein condensate
    Yong Xu, Yongping Zhang and Chuanwei Zhang
    Phys. Rev. A 92, 013633 (2015)
  12. Plasmon modes of a massive Dirac plasma, and their superlattices
    Rashi Sachdeva, Anmol Thakur, Giovanni Vignale, and Amit Agarwal
    Phys. Rev. B 91, 205426 (2015)
  13. Gap Solitons in Spin-Orbit-Coupled Bose-Einstein Condensates in Optical Lattices
    Yongping Zhang, Yong Xu, Th. Busch
    Phys. Rev. A 91, 043629 (2015)
  14. Localized quantum walks as secured quantum memory
    C.M. Chandrashekar and Th. Busch
    Europhys. Lett. 110, 10005 (2015)

4.2 Books and other one-time publications

Nothing to report

4.3 Oral and Poster Presentations

4.3.1 Conference Invited Lecture

  1. Zhang, Y. Gap solitons in spin-orbit-coupled Bose-Einstein condensates in optical lattices, in Solitons and nonlinear dynamics, Shanghai University, China (2015).

4.3.2 Conference Oral Presentation

  1. White, A. Emergence of Classical Rotation in Superfluid Bose-Einstein condensates, in MQS 2016 - Matariki Workshop on Quantum Science, 19-23 March, 2016, University of Otago, Dunedin, New Zealand (2016).
  2. Fogarty, T. Nanofriction and cooling in cavity QED, in DPG Spring Meeting 2016, University of Hanover, Hanover, Germany (2016).
  3. Fogarty, T. Non-Equilibrium Thermodynamics of Harmonically Trapped Bosons, in DPG Spring Meeting 2016, University of Hanover, Hanover, Germany (2016).
  4. Benseny Cases, A. Spatial adiabatic passage: Shortcuts to adiabaticity and interacting systems, in Thermodynamics and Nonlinear Dynamics in the Information Age, Telluride, Colorado, USA (2015).
  5. Busch, T. Controlling Quantum Systems with Spatial Adiabatic Passage, in New Trends in Complex Quantum System Dynamics, Cartagena, Spain (2015).

4.3.3 Conference Poster Presentation

  1. O'Riordan, L. Moire superlattice structures in kicked Bose-Einstein condensates, in MQS 2016 - Matariki Workshop on Quantum Science, 19-23 March, 2016, University of Otago, Dunedin, New Zealand (2016).
  2. Busch, T. Adiabatic State Engineering for Matter Waves, in Bose-Einstein Condensation 2015 - Frontiers in Quantum Gases, San Feliu des Guixols (2015).
  3. Reshodko, I. High-fidelity Creation of Two-particle Quantum States Via Spatial Adiabatic Passage, in SUSSP71: Frontiers in Quantum Dynamics & Quantum Optics, University of Strathclyde, Glasgow, UK (2015).
  4. O'Riordan, L. Emergence of Moire superlattice in a kicked Bose-Einstein condensate, in International conference on laser spectroscopy (ICOLS) 2015, Sentosa, Singapore (2015).
  5. Busch, T. Superfluid Flow vs. Solid Body Rotation in Annular Traps, in International Conference on Laser Spectroscopy (ICOLS), Singapore (2015).
  6. Abad Garcia, M. Counterflow instability of a quantum mixture of two superfluids, in International Conference on Laser Spectroscopy (ICOLS), Singapore (2015).
  7. Busch, T. Controlled Dynamics in Strongly Correlated Many Body Systems, in Gordon Research Conference: Atomic Physics, Salve Regine University, Newport, RI, US (2015).
  8. Sachdeva, R. Hydrodynamic theory of rotating ultracold supersolids, in New Trends in Complex Quantum Systems Dynamics, Cartagena, Spain (2015).

4.3.4 Seminar

  1. Fogarty, T. Nanofriction and cooling in cavity QED, Saarland University, Germany (2016).
  2. Busch, T. 1D Quantum Gases - Weakly and Strongly Correlated II, Macquarie University, Sydney (2015).
  3. Busch, T. 1D Quantum Gases - Weakly and Strongly Correlated I, Macquarie University, Sydney (2015).
  4. Busch, T. Controlling Quantum Systems with Spatial Adiabatic Passage, Macquarie University, Sydney (2015).
  5. Sachdeva, R. Effect of artificial gauge field on Supersolid phase in ultracold atomic condensates, The Institute of Photonic Sciences, Barcelona, Spain (2015).
  6. Zhang, Y. The Measurement of Topological Properties, Department of physics, Shanghai University (2015).
  7. Zhang, Y. Spin-orbit-Coupled Bose-Einstein Condensates in A Moving Optical Lattice: Stability and Galilean Invariance breaking, Department of physics, Shanghai University (2015).
  8. Zhang, Y. Artificial Spin-orbit Coupling, Department of physics, Shanghai University (2015).
  9. Zhang, Y. Synthetic Magnetic field and Electric field, Department of physics, Shanghai University (2015).

5. Intellectual Property Rights and Other Specific Achievements

Nothing to report

6. Meetings and Events

6.1 Atom chips: quantum gases on the (sub)micron scale

  • Date: April 7, 2015
  • Venue: OIST Campus Lab1
  • Speaker: Prof. Peter Krüger (The University of Nottingham, UK)

6.2 Nano-friction in cavity quantum electrodynamics

  • Date: April 17, 2015
  • Venue: OIST Campus Lab1
  • Speaker: Dr. Thomás Fogarty (Saarland University, Germany)

6.3 Experimental studies of one dimensional Bose gases

  • Date: May 14, 2015
  • Venue: OIST Campus Lab1
  • Speaker: Prof. Toshiya Kinoshita (Kyoto University, Japan)

6.4 Lecture Series: Light interaction with three-level systems: Coherent Population Trapping, Electromagnetically Induced Transparency and Stimulated Raman Adiabatic Passage

  • Date: July 8 - July 10, 2015
  • Venue: OIST Campus Lab 3
  • Speaker: Prof. Jordi Mompart (Autonomous University of Barcelona, Spain)

6.5 Two dimensional spatial adiabatic passage of matter waves

  • Date: July 29, 2015
  • Venue: OIST Campus Lab3
  • Speaker: Prof. Jordi Mompart (Autonomous University of Barcelona, Spain)

6.6 Spin-orbit-coupled Bose-Einstein condensates: static and dynamic properties

  • Date: August 12, 2015
  • Venue: OIST Campus Lab1
  • Speaker: Dr. Yun Li (Swinburne University of Technology, Australia)

6.7 A voyage through turbulence: from classical to quantum physics

  • Date: August 17, 2015
  • Venue: OIST Campus Lab3
  • Speaker: Prof. Carlo Barenghi (Newcastle University, UK)

6.8 Spin squeezing via interaction with a driven, dissipative ancillary system

  • Date: October 27, 2015
  • Venue: OIST Campus Lab1
  • Speaker: Dr. Shane Dooley (National Institute of Informatics, Japan)

6.9 Reflecting on an alternative quantum theory, and its analog in optics

  • Date: January 7, 2016
  • Venue: OIST Campus Lab1
  • Speaker: Prof. Day-Kuang Lee (Institute of Photonics Technologies, National Tsing-Hua University, China)

6.10 Spin-orbit coupled Bose-Einstein condensates: Raman dressing and lattice-band pseudospins

  • Date: March 9, 2016
  • Venue: OIST Campus Lab1
  • Speaker: Prof. Peter Engels (Washington State University, USA)

6.11 Workshop: Okinawa School in Physics: Coherent Quantum Dynamics 2015

  • Date: September 29 - October 8
  • Venue: OIST Seaside House
  • Co-sponsor: ImPACT program, Council for Science, Technology and Innovation (CSTI)
  • Co-organizers: Síle Nic Chormaic, OIST Graduate University, Japan
    Yasunobu Nakamura, The University of Tokyo, Japan
    Masahito Ueda, The University of Tokyo, Japan

7. Other

Nothing to report.