FY2015 Annual Report

Theory of Quantum Matter Unit
Associate Professor Nic Shannon

tqm_fy2015

Abstract

FY2015 was another busy year for the TQM Unit. The Unit bid farewell to two postdocs, Dr Yutaka Akagai who left to take up a position as Assistant Professor at the University of Tokyo, and Dr Hiroaki Ueda who moved to a permanent position as Lecturer at Toyama Prefectural University. At the same time the Unit welcomed a new PhD candidate, Ms Christina Lee, and two research interns, Mr Maxime Garnier, and Ms Kimberly Remund.

Scientifically, the unit remained very active in the field of frustrated systems, with highlights including further progress in the understanding of spin ice, a quantum theory of proton disorder in water ice, a new form of quantum soliton which could be realised using cold atoms, a proposal for a new form of spin liquid on the pyrochlore lattice, and a theory highlighting hidden connections between different forms of spin liquids on the kagome lattice. Members of the TQM Unit published 11 papers on this research in FY2015, including articles in Nature Communications and Physical Review Letters, an Editor's suggestion in Physical Review B, and a Rapid Communication in Physical Review A.

The Unit members were also active in communicating these results, giving a total of 32 presentations and seminars in FY2015, including 20 invited talks. The events covered by these presentations included 9 different international workshops and conferences, including the International Conference on Magnetism, the March Meeting of the American Physical Society, the Spring and Autumn Meetings of the Japanese Physical Society, and the International Chemical Congress of Pacific Basin Chemical Societies. 

The TQM Unit also hosted 13 visitors to OIST in FY 2015. Between them, these visitors gave 11 research seminars, on topics ranging from active matter in driven systems, to the dynamics of quantum spin liquids.

1. Staff

  • Prof. Nic Shannon, Associate Professor
  • Dr. Ludovic Jaubert, Group Leader
  • Dr. Yutaka Akagi, Postdoctoral Scholar ( - Oct 2015)
  • Dr. John Owen Benton, Postdoctoral Scholar
  • Dr. Karim Essafi, Postdoctoral Scholar
  • Dr. Mathieu Taillefumier, Postdoctoral Scholar
  • Ms Christina Lee, PhD Student
  • Mr. Rico Pohle, PhD Student
  • Mr. Han Yan, PhD Student (Supervised by Prof. Hirotaka Sugawara)
  • Mr. Maxime Garnier, Research Intern (Apr-Aug 2015)
  • Ms. Kimberly Remund, Research Intern (Mar-Sep 2015, Jan-Apr 2016)
  • Ms. Shiho Saito, Research Administrator

2. Collaborations

  • Theme: Topological Defects in Quantum Spin Nematics
    • Researchers:
      • Dr. Hiroaki Ueda, Toyama Prefectural University
      • Dr. Yutaka Akagi, OIST / University of Tokyo
      • Prof. Nic Shannon, OIST
  • Theme: Spontaneous formation of kagome network and Dirac half-semimetal on a triangular lattice
    • Researchers:
      • Dr. Yutaka Akagi, OIST / University of Tokyo
      • Prof. Yukitoshi Motome, University of Tokyo
  • Theme: Equations of motion for a quantum spin nematic
    • Researchers:
      • Ms. Kimberly Remund, OIST
      • Dr. Yutaka Akagai, OIST / University of Tokyo
      • Prof. Nic Shannon, OIST
  • Theme: Novel phases in a frustrated ferromagnet
    • Researchers:
      • Dr. Luis Seabra, Technion, Israel
      • Dr. Philippe Sindzingre, UPMC, Paris, France
      • Dr. Tsumoru Momoi, RIKEN
      • Prof. Nic Shannon, OIST
  • Theme: Quantum water ice
    • Researchers:
      • Dr. Owen Benton, OIST
      • Dr. Olga Sikora, Taiwan National University, Taiwan / Jagiellonian University, Poland
      • Prof. Karlo Penc, Institute for Solid State Physics and Optics, Budapest, Hungary
      • Prof. Nic Shannon, OIST
  • Theme: Spin-liquid reentrance in the shuriken lattice
    • Researchers:
      • Mr. Rico Pohle, OIST
      • Dr. Owen Benton, OIST
      • Dr. Ludovic Jaubert, OIST
  • Theme: A kagome map of spin liquids
    • Researchers:
      • Dr. Karim Essafi, OIST
      • Dr. Owen Benton, OIST
      • Dr. Ludovic Jaubert, OIST
  • Theme: What is going on in Yb2Ti2O7 ?
    • Researchers:
      • Dr. Ludovic Jaubert, OIST
      • Dr. Owen Benton, OIST
      • Prof. Nic Shannon, OIST
      • Dr. Jeff Rau, University of Waterloo, Canada
      • Prof. Michel Gingras, University of Waterloo / Perimeter Institute, Canada
      • Prof. Jaan Oitmaa, University of New South Wales, Sydney, Australia
      • Prof. Rajiv Singh, University of California, Davis, USA
  • Theme: Spin Ice: anomalous dynamics, fragmented spin liquids and monopole holes
    • Researchers:
      • Prof. Masafumi Udagawa, Gakushuin University
      • Dr. Ludovic Jaubert, OIST
      • Dr. Claudio Castelnovo, University of Cambridge, UK
      • Prof. Roderich Moessner, MPI-PkS, Dresden, Germany
  • Theme: Chain-based order and quantum spin liquids in dipolar spin ice
    • Researchers:
      • Dr Paul McClarty, Rutherford Appleton Laboratory, UK
      • Dr Olga Sikora, Taiwan National University, Taiwan / Jagiellonian University, Poland
      • Prof. Roderich Moessner, MPI-PKS Dresden, Germany
      • Prof. Karlo Penc, Institute for Solid State Physics and Optics, Budapest, Hungary
      • Dr Frank Pollmann, MPI-PKS, Dresden, Germany
      • Prof. Nic Shannon, OIST
  • Theme: Superconducting multilayers
    • Researchers:
      • Dr Hiroaki Yamazaki, RIKEN
      • Prof. Nic Shannon, OIST
      • Prof. Hidenori Takagi, University of Tokyo / MPI-FKF, Stuttgart, Germany
  • Theme: Optical properties of graphene quantum dots
    • Researchers:
      • Mr Rico Pohle, OIST
      • Dr Eleftheria Kavousanaki, OIST / University of Crete, Greece
      • Prof. Keshav Dani, OIST
      • Prof. Nic Shannon, OIST

3. Activities and Findings

3.1 Spin Ice: anomalous dynamics, fragmented spin liquids and monopole holes

The vast interest in magnetic frustration largely stems from the diversity of unconventional phenomena it begets, ranging from the anomalous Hall effect (AHE) to exotic quasi-particles. The AHE is the ability of electrons to bend their trajectories when they are coupled to spins on a crystal. While it is usually associated with ferromagnetism, the AHE has recently been observed in Pr2Ir2O7 in absence of any magnetization. As for quasi-particles, one of their most famous illustration probably comes from the topological defects in spin-ice materials which are classical analogues of magnetic monopoles, i.e. quasi-particles effectively interacting via a magnetic Coulomb potential.

Together with Masafumi Udagawa (Gakushuin University, Japan), Roderich Moessner (MPI-PkS Dresden, Germany) and Claudio Castelnovo (Cambridge University, UK), Ludovic Jaubert of the TQM Unit has studied the thermodynamics and out-of-equilibrium properties of an extension of the spin-ice model, where topological defects interact via a nearest-neighbour coupling that can be tuned from repulsive to attractive. Such coupling can appear in a Kondo-lattice model with itinerant electrons. They have shown that after a field quench, a rich dynamical picture emerges, dominated by multi-scale energy barriers responsible for long-lived magnetization plateaux. These dynamical bottlenecks allow for the metastability of a “fragmented” spin liquid, an elusive phase at equilibrium where partial order co-exists with a spin liquid. Furthermore, the attraction between same-charge topological defects produces magnetically disordered clusters of quasi-particles, which they pictorially named “jellyfish” structures. The central part of these structures is made of a ring of spins carrying a clockwise or counterclockwise circular flow. This chiral degree of freedom encodes the possibility for time reversal symmetry breaking, with possible relevance to the AHE observed in Pr2Ir2O7.

tqm_fy2015_3.1

Figure 3.1.1: Left: Time evolution of the monopole density and magnetization after a field quench. While the total magnetization ultimately vanishes (green curve), it gives rise to long-lived magnetization plateaux on pyrochlore layers (blue and violet). Noticeably, the magnetic relaxation occurs at constant monopole density. This long-lived regime corresponds to the metastable fragmented spin liquid. Right: Illustration of a jellyfish structure made of negative charges. The ring of (red) spins in the middle can flip, giving rise to a chiral degree-of-freedom.

In another paper, Ludovic Jaubert further endeavoured to better understand the nature of the elusive fragmented spin liquid, by incorporating long-range dipolar interactions. Remarkably, two kinds of quasi-particles appear as excitations of this exotic phase, which either break or restore the local divergence-free constraint on the magnetization flux. While the former is the same as the magnetic monopoles in spin ice, the second one is better termed as a monopole hole, in analogy with semi-conductor physics.

tqm_fy2015_3.1.2

Figure 3.1.2: Effective magnetic Coulomb potential between a monopole and a monopole hole in the fragmented spin liquid.

These results appeared as preprint in M. Udagawa, L.D.C. Jaubert, C. Castelnovo and R. Moessner, Phys. Rev. B 94 014429 (2016) and were published as L.D.C. Jaubert, Spin 5, 1540005 (2015) as an invited paper for the special issue on “Quantum Spin Ice and Liquid in Geometrically Frustrated Magnets” edited by Ying-Jer Kao (Taiwan), Shigeki Onoda (RIKEN) & Satoru Nakatsuji (Tokyo).

3.2 Quantum Dipolar Spin Ice

The rare earth pyrochlore oxides known as "spin ice", famous as an example of classical spin-liquid with magnetic monopole excitations, remain among the most significant of frustrated systems. However, despite enormous progress in understanding these materials, much remains mysterious about their low-temperature properties. In particular, the nature of the quantum ground state of materials such as Ho2Ti2O7 and Dy2Ti2O7, where Ising moments interact through long-range dipolar interactions, remains unclear.

At present, all that is known from experiment is that the Pauling "ice entropy" in Dy2Ti2O7 appears to be lost at low temperatures, and all that is known from theory is that dipolar interactions favour an ordered ground state. But what determines the form of ground-state order, especially in the presence of exchange competing interactions ? And how might these ground states change, if quantum effect are taken into account ? Solving these problems requires getting to grips with three of the most challenging effects in material : frustration, long-range interactions, and quantum fluctuations.

Members of the TQM Unit, working in collaboration with scientists from the Rutherford Appleton Laboratory, the Taiwan National University, the Max Plank Institute for the Physics of Complex Systems, and the Wigner Research Institute of the Hungarian Academy of Sciences, have now been able to provide the first answers to both of these questions. The organisational principle underlying ordered ground-states was identified as the formation of ferromagnetically-polarised chains of spins, within which dipolar interactions are exponentially screened. Large-scale classical and quantum Monte Carlo simulations were used to confirm this result, and to explore how chain-based order evolves as fluctuations increase. The results, summarised in Figure 3.2, show that only a very small amount of quantum tunnelling would be needed to stabilise a quantum spin-liquid ground state in a dipolar spin ice.

tqm_fy2015_3.2

Figure 3.2: Phase diagram of dipolar spin ice as a function of quantum tunnelling between different spin ice states, g, temperature, T, and competing second-neighbour exchange, J2.

This work was published as : "Chain-based order and quantum spin liquids in dipolar spin ice" Paul McClarty, Olga Sikora, Roderich Moessner, Karlo Penc, Frank Pollmann and Nic Shannon Phys. Rev. B 92, 094418 (2015)

3.3 Order and disorder on the breathing pyrochlore lattice

Recent experimental work has lead to the discovery of a new kind of highly-frustrated magnetic material-- the so-called ``breathing" pyrochlore magnets. In breathing pyrochlore magnets, magnetic ions form a network of corner sharing tetrahedra which are alternately small and large, as illustrated in Fig. 3.3.1. These materials, such as LiInCr4O8, LiZnCr4O8, and Ba3Yb2Zn5O11, promise an exciting variation on the physics of ordinary pyrochlore magnets, which have long been studied for their association with unusual magnetic phases and excitations. This new class of magnetic materials calls for a new theory to explain their properties. Dr. Owen Benton and Prof. Nic Shannon of the TQM unit have tackled this problem by studying the simplest possible model able to capture the physics of breathing pyrochlores.

Using analytic calculations they first determined the nature of the ground states as a function of the exchange interactions on the two species of tetrahedra. In addition to a simple ferromagnetic phase, they found a disordered spin-liquid regime and a phase in which planes of antiferromagnetically ordered spins become effectively decoupled. They then proceeded to analyse the spin correlations as a function of temperature in each regime which will aid the interpretation of future experiments. An example of the characteristic scattering for the antiferromagnetic decoupled plane regime is shown in Fig. 3.3.2. Their theory was able to quantitatively describe the results of neutron scattering experiments on the breathing pyrochlore LiInCr4O8.

tqm_fy2015_3.3.1

Fig 3.3.1: Structure of the "breathing pyrochlore" lattice, realised in a new family of magnetic materials.

tqm_fy2015_3.3.2

Fig 3.3.2 : Example of the characteristic scattering pattern predicted by Benton and Shannon for breathing pyrochlore magnets in the antiferromagnetic decoupled plane regime.

These results were published as: O. Benton and N. Shannon, J. Phys. Soc. Jpn. 84, 104710 (2015)

3.4 What is going on in Yb2Ti2O7 ?

Upon cooling, matter likes to order, it being water into ice or a dilute gas of Rubidium atoms into a Bose-Einstein condensate. In magnetic materials, common wisdom is challenged by frustration, where order is inherently hindered by the geometry of the crystal. However, matter really likes to order. In that respect, frustration enables disorder to persist down to such low temperatures that nature can develop new collective ordering mechanisms. This diversity of mechanisms is vividly illustrated within the family of rare-earth pyrochlore compounds. In Er2Ti2O7 for example, magnetic order is selected by the nature of the fluctuations, referred to as an order-by-disorder mechanism.

In collaboration with researchers from the University of Waterloo (Canada), University of California Davis (USA) and University of New South Wales (Australia), members of the TQM Unit have analyzed a realistic minimal model where a number of such ordering mechanisms converge, which, incidentally, pertain to the perplexing quantum spin ice candidate Yb2Ti2O7. Specifically, they have explained how thermal and quantum fluctuations, optimized by order-by-disorder selection, conspire to expand the stability region of a degenerate antiferromagnetic manifold against the classical ferromagnetic ground state. The resulting competition gives rise to multiple phase transitions, in striking similitude with recent experiments on Yb2Ti2O7. By combining a gamut of numerical techniques, they obtained compelling evidence that such multiphase competition is a natural engine for the substantial sample-to-sample variability observed in Yb2Ti2O7 and is the missing key to ultimately understand the intrinsic properties of this material. As a corollary, their study offered a pertinent illustration of the influence of chemical pressure in rare-earth pyrochlores.

tqm_fy2015_3.4

Figure 3.4: Phase diagram illustrating the multiphase competition. For a range of anisotropic coupling parameters J1, the ferromagnetic ground state (in blue) gives way to two different antiferromagnetic phases (in yellow and red) upon heating. The selection between the two antiferromagnets is done via order-by-disorder.

These results were published as L.D.C. Jaubert, Owen Benton, Jeffrey G. Rau, J. Oitmaa, R.R.P. Singh, Nic Shannon and Michel J.P. Gingras, Phys. Rev. Lett. 115, 267208 (2015).

3.5 Understanding families of spin liquids on the kagome lattice

As in real life where frustration is a response to the nonsatisfaction of personal desires, geometrical frustration in magnetic systems arises from the impossibility to satisfy all the exchange interactions simultaneously. The kagome Heisenberg antiferromagnet is probably the most studied frustrated system and it is known that its ground-state for spin-1/2 is a spin liquid. The name, spin liquid, comes from the analogy with a traditional liquid because of the absence of long-range order and the presence of long-range correlations or entanglement. However real materials are not so simple and anisotropic couplings play an important role. Motivated by recent rare-earth materials and optical lattices, Dr Karim Essafi, Dr Owen Benton and Dr Ludovic Jaubert, of the TQM Unit, have shown the existence of new spin liquids that can be exactly mapped on the well-known Heisenberg and XXZ antiferromagnets. This means that these models share the same energy spectrum and thus have the same disordered and correlated nature. However the corresponding spin textures are not the same and thus support different magnetic properties. The transformation between these different models being unitary -- thus preserving the commutation relations -- makes our mapping exact for both classical and quantum spins.

tqm_fy2015_3.5

Figure 3.5: Threefold mapping of kagome spin liquids.

The new spin liquids corresponding to the green and blue lines on the figure support a chirality that is absent from the well-known Heisenberg and XXZ antiferromagnets (the red line). This spin texture is particularly promising when coupled to itinerant electrons, as it could lead to anomalous Hall effect. Interestingly, the Ising antiferromagnet sits at the centre of this connected network of quantum spin liquids, which could explain the reluctance of this model to order.

These results were published as Karim Essafi, Owen Benton and L.D.C. Jaubert, Nature Communications 7, 10297 (2016).

3.6 A new quantum soliton with emergent interactions

Topological defects play an important role in many problems. Dislocations in an otherwise perfect crystal lattice determine the strength of metals. Vortices set the limit on the magnetic field which can be repelled by the majority of superconductors. And twists in the alignment of liquid crystals form the basis of many modern display technologies. What then happens in the quantum analogue of a liquid crystal, a quantum spin nematic ?

To answer this question, members of the TQM Unit have carried out an extensive analysis of the topological defects which arise in different frustrated magnets, including those which support spin-nematic order. In addition to homotopy analysis, and calculations based on analytic field-theoretical techniques, a new method of exploring topological defects in quantum magnets was developed, based on the numerical minimisation of a variational wavefunction.

The results of this analysis are a comprehensive "zoology" of topological defects in frustrated magnets, which includes a completely new species - a form of soliton arising where a quantum liquid crystal posses the SU(3) symmetry familiar from the theory of quarks. Solitons of this type represent a new form of (quasi-)particle, with emergent interactions, and could potentially be realised in experiments using cold atoms. An example of such a new soliton is shown in Figure 3.6.

tqm_fy2015_3.6

Figure 3.6: Example of a new quantum soliton with emergent interactions on the triangular lattice.

Details of the new soliton were published in : "Quantum solitons with emergent interactions in a model of cold atoms on the triangular lattice" Hiroaki T. Ueda, Yutaka Akagi, and Nic Shannon. Phys. Rev. A. 93, 021606(R) (2016). Selected for inclusion in Kaleidoscope.

3.7 Novel phases in frustrated ferromagnets

The study of frustrated magnetism has traditionally concentrated on systems where the interactions between different magnetic moments are antiferromagnetic. In many materials, however, the interactions between magnetic ions are ferromagnetic, and these systems can also show frustration, where ferromagnetic and antiferromagnetic interactions compete. In particular, there exist families of materials based on copper or vandium ions, with a layered, square-lattice geometry, where the magnetism is controlled by the competition between ferromagnetic and antiferromagnetic exchange.

In order to better understand these materials, the TQM Unit has worked together with researchers from Israel, France and Japan, to explore the properties of square-lattice frustrated ferromagnets. This work reveals a number of new forms of magnetic order, including a new form of spin liquid, and a crystal composed of magnetic vortices, suggesting that these systems could have a very interesting future.

tqm_fy2015_3.7.1

Figure 3.7.1: Exotic forms of magnetic order realised in a square-lattice frustrated ferromagnet. (a) 1/3-magnetisation plateau, composed of colinear stripes of spins. (b) Helicoidal spin liquid, as revealed in the spin structure factor S(q). (c) Vortex crystal composed of a periodic array of magnetic vortices.

tqm_fy2015_3.7.2

Figure 3.7.2: Phase diagram of a square-lattice frustrated ferromagnet in applied magentic field. Fluctuations stabilise a 1/3-magnetisation plateau and vortex crystal at finite temperature.

This work was published as: "Novel phases in a square-lattice frustrated ferromagnet :1/3-magnetisation plateau, helicoidal spin-liquid and vortex crystal" Luis Seabra, Philippe Sindzingre, Tsutomu Momoi, and Nic Shannon. Phys. Rev. B. 93, 085132 (2016)

3.8 Quantum effects in water ice

Water ice is simultaneously one of the most ubiquitous and most mysterious materials in the world. It is also one of the archetypal frustrated materials. In common, hexagonal, water ice (ice Ih) the oxygen ions form a regular crystal lattice, but the configuration of protons is disordered. Despite being globally disordered, the protons are constrained to obey a set of local rules known as “the ice rules”. The disorder of the protons in ice and the correlations implied by the ice rules lead to many interesting properties in themselves but there may be one further twist. Recent experimental work has suggested that the protons in ice Ih can move between configurations obeying the ice rules via quantum tunnelling. While moving one proton on its own would be impossible while obeying the ice rules, quantum tunnelling can occur as a concerted motion around loops of at least 6 bonds [Fig. 1]. Dr. Owen Benton and Prof. Nic Shannon of the TQM unit, and Dr. Olga Sikora of Jagiellonian University, Poland, have set out to understand the consequences of this quantum tunnelling for experiments on water ice.

They first developed a detailed theory to describe the correlations of the protons in the absence of quantum tunnelling, finding that it was able to explain the specific combinations of features observed in neutron scattering experiments on deuterated water ice D2O. The scattering is made up of sharp, bow-tie shaped, features called pinch points, combined with additional broad, asymmetric features. Turning to the case in the presence of quantum tunnelling they found that this could stabilise an unusual “U(1) quantum liquid” state of the protons, in which they continually fluctuate between different configurations. The excitations of this quantum state are birefringent photons (quantized excitations of a U(1) gauge field) and additional gapped excitations relating to fluctuations of the staggered electric polarisation. As the system is cooled towards zero Kelvin the pinch points found in the classical scattering will be washed out and broad features will be shifted to finite energy. Comparing their findings with the results of incoherent, inelastic neutron scattering experiments, they found encouraging agreement, suggesting that such an exotic state of the protons could possibly be realised in one of the most common materials on Earth.

tqm_fy2015_3.8.1

Fig 3.8.1:Illustration of collective proton tunnelling on a loop of 6 bonds.

tqm_fy2015_3.8.2

Fig 3.8.2: Predictions for neutron scattering experiments in classical (left half of figure) and quantum (right half of figure) water ice.

These results are described in: O. Benton, O. Sikora and N. Shannon, Phys. Rev. B 93, 125143 (2016).

3.9 A new spin liquid on the pyrochlore lattice

One of the fascinating aspects of studying systems made up of a large number of strongly interacting constituent parts is that they can appear to act as "mini-universes" with their own internal laws of physics. This applies in a rather striking way when studying spin liquids -- magnetic systems which refuse to develop any ordinary form of magnetic order. It turns out that the appropriate theories for these systems often possess "gauge symmetries" -- the same kind of symmetries essential to the fundamental forces of the universe, such as electromagnetism and gravity. In some cases, the theory describing a particular spin liquid will correspond exactly to one such fundamental force. For instance, the spin ice materials are a realization of the classical theory of electromagnetism, within a condensed matter system. On the other hand, sometimes spin liquids can realize gauge theories unlike any known elsewhere in our universe. In this context, it is interesting to know what kind of spin liquids can be expected in realistic magnetic systems, what the theories describing their properties look like and how they could be recognized in experiments.

Studying a realistic model for pyrochlore magnets, Dr. Owen Benton, Dr. Ludovic Jaubert, Mr. Han Yan and Prof. Nic Shannon of the TQM unit have unveiled an entirely new kind of spin liquid state. They have also shown how the peculiar gauge symmetry associated with this spin liquid could be revealed in neutron scattering experiments: by unusual extended features in the scattering pattern called "pinch lines". Their theory may explain the unusual features observed in experiments on the material Tb2Ti2O7.

tqm_fy2015_3.9

Fig 3.9: The neutron scattering patterns associated with spin ice (left half of figure) and the new spin liquid discovered by Benton, Jaubert, Yan and Shannon (right half of figure), calculated in Monte Carlo simulations. The singularities in these patterns reveal the underlying gauge structure of each spin liquid.

This work was published as: Owen Benton, L.D.C. Jaubert, Han Yan and Nic Shannon, Nature Communications 7, 11572 (2016)

3.10 Order-parameter oscillations in superconducting multilayers

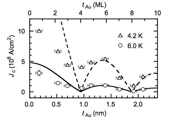
Modern fabrication technologies make it possible to assemble structures which do not exist in nature, one layer of atoms at a time. This technology is used to fabricate the exquisitely sensitive detectors of magnetic field found in modern computer hard-drive read heads - work which was rewarded with the 2007 Nobel prize in physics. The same methods have also been used to explore the properties of superconducting multilayers - typically systems in which layers of a superconductor only a few nanometers thick alternate with equally thin layers of a magnetic metal.

In two earlier papers, Dr Hiroki Yamazaki and Prof Hidenori Takagi of RIKEN, working together with Prof. Nic Shannon of the TQM Unit, studied the properties of trilayers built of the superconductor Nb, the non-magnetic metal Au, and the magnetic metals Fe and Co. This work identified a characteristic oscillation in the strength of superconductivity, as a function of the metallic Au layer. The same kind of oscillation was found in both the Fe- and Co-based trilayers. Since oscillations in superconductivity can be exploited to build superconducting "pi-junctions", basic building-blocks of superconducting electronic circuits, these results are of potential technological interest. However, in building superconducting circuits, it is generally desirable to eliminate magnetic elements entirely. And, to date, the origin of the oscillation in Nb/Au/Fe and Nb/Au/Co trilayers remains a mystery.

tqm_fy2015_3.10

Figure 3.10: Variation in the critical current of a superconducting Nb/Au/Nb trilayer, as a function of the thickness of the Au layer. The periodic suppression in Jc suggests a change in sign of the superconducting order parameter.

In order to shed further light on this issue, Dr Yamazaki fabricated a new set of superconducting Nb/Au/Nb trilayers, in which the magnetic metal (Fe or Co) was eliminated entirely. Once again, the supercondivity was found to oscillate as function of the thickness of the Au layer, as shown in Figure 3.10. These new results strengthen the case that the oscillation is a new physical effect, originating in the Au layer, and suggest that it might be possible to fabricate a superconducting pi junction which did not contain any magnetic elements.

These results are described in the preprint "Superconducting proximity effect in epitaxial Nb(110)/Au(111)/Nb(110) trilayers" Hiroki Yamazaki, Nic Shannon and Hidenori Takagi. arXiv:1602.05790.

3.11 Reentrance of disorder in the anisotropic shuriken Ising model

Competing interactions is a prerequisite for geometrical frustration. One well-known example of frustration are Ising spins on triangular corner-sharing plaquettes as for example on the celebrated Kagome lattice in 2 dimensions, leading to an extensive ground state degeneracy. But what happens when different disordered phases co-exist and compete between each other? By using the same triangular building blocks as for Kagome, we consider the so-called Shuriken lattice (also known as Square-Kagome lattice), which shows, contrary to Kagome, inequivalent sites belonging to loops of different sizes, namely 4 and 8. The presence of these two types of loops together with a large unit-cell offers a natural setting to tune the anisotropy in order to explore a variety of phases. 

In order to shed light on this question, three members of the Theory of Quantum Matter Unit, Mr Rico Pohle, Dr. Owen Benton and Dr. Ludovic Jaubert investigated thermodynamic properties of the Ising model of the anisotropic Shuriken lattice by use of classical Monte Carlo simulations, analytical Husimi tree calculations and exact decoration-iteration transformation. By tuning the anisotropy of the lattice, it was possible to observe a reentrant behavior between disordered regimes from a high-temperature paramagnet to a classical spin liquid into a low-temperature binary paramagnet (BPM in the figure below). The term ''binary paramagnet'' illustrates the fact that the corresponding highly-degenerate ground state is made of two different types of uncorrelated (super-) spins. We round off our studies with an analytical method mapping the Shuriken lattice onto a checkerboard lattice with temperature dependent coupling parameters, giving insights into dominant competing interactions within the ordered and disordered regimes.

tqm_fy2015_3.11

Figure 3.11 Phase Diagram of the anisotropic Shuriken Ising model as a function of the anisotropy parameter x = JAB / JAA. The phase diagram supports 2 ordered phases (ferromagnetic (FM) and staggered ferromagnetic phase (SFM)); 2 classical spin liquid phases (SL1,2) and a binary  paramagnetic phase (BPM).

This work was published as: Rico Pohle, Owen Benton, and L.D.C. Jaubert, Phys. Rev. B 94, 0144290 (2016)

3.12 Quantum spin nematics

Almost 50 years ago it was proposed that there should be a quantum, magnetic analogue of the classical liquid crystal. For a long time this was just a theoretical curiosity, but recently a clutch of materials have been discovered which may host such a state. This is in part due to members of the TQM unit, who have been instrumental in showing that the quantum spin nematic state can exist in realistic models of magnetism. In particular, they have shown that one of the most promising places to search for such a state is in frustrated ferromagnets subjected to large magnetic fields. However, even if there are now good places to search for spin-nematic order, experimentally identifying the spin nematic remains a difficult problem, since it is invisible to many of the common probes of magnetism.

Recently Nic Shannon collaborated with Andrew Smerald, formerly of the TQM lab, to show how the quantum spin nematic state could be identified by nuclear magnetic resonance (NMR) experiments. They identified a subtle effect that shows up in the NMR relaxation rate, a measure of how energy flows between electronic and nuclear spins. These types of experiments are ideally suited to the high magnetic fields thought to be necessary to realise the spin-nematic state. The hope is that these predictions will now be tested in experiment.

tqm_fy2015_3.12.1

Figure 3.12.1 Illustration of a bond-centred quantum spin nematic state surrounding a nuclear spin (orange).

tqm_fy2015_3.12.2

Figure 3.12.2 Prediction for the NMR 1/T_1 relaxation rate close to a thermal phase transition between the spin-nematic state and the paramagnet.

This work was published as : "Theory of NMR 1/T1 relaxation in a quantum spin nematic in an applied magnetic field", Andrew Smerald and Nic Shannon, Phys. Rev. B 93, 184419 (2016)

4. Publications

4.1 Journals

  1. Owen Benton, Olga Sikora and Nic Shannon.
    "Classical and quantum theories of proton disorder in hexagonal water ice"
    Phys. Rev. B 93, 125143 DOI: 10.1103/PhysRevB.93.125143 (2016)
  2. Luis Seabra, Philippe Sindzingre, Tsutomu Momoi, and Nic Shannon.
    "Novel phases in a square-lattice frustrated ferromagnet :1/3-magnetisation plateau, helicoidal spin-liquid and vortex crystal"
    Phys. Rev. B. 93, 085132 DOI: 10.1103/PhysRevB.93.085132 (2016)
  3. Hiroaki T. Ueda, Yutaka Akagi, and Nic Shannon.
    "Quantum solitons with emergent interactions in a model of cold atoms on the triangular lattice"
    Phys. Rev. A 93, 021606(R). DOI: 10.1103/PhysRevA.93.021606 (2016)
  4. Karim Essafi, Owen Benton, L.D.C. Jaubert.
    "A Kagome Map of Spin Liquids from XXZ to Dzyaloshinskii-Moriya Ferromagnet"
    Nature Communications 7, 10297. DOI: 10.1038/ncomms10297 (2016)
  5. L.D.C. Jaubert, Owen Benton, Jeffrey G. Rau, J. Oitmaa, R.R.P. Singh, Nic Shannon, Michel J.P. Gingras.
    "Are multiphase competition & order-by-disorder the keys to understanding Yb2Ti2O7 ?"
    Phys. Rev. Lett. 115, 267208. DOI: 10.1103/PhysRevLett.115.267208 (2015)
  6. Owen Benton and Nic Shannon.
    "Ground-state selection and spin-liquid behaviour in the classical Heisenberg model on the breathing pyrochlore lattice"
    J. Phys. Soc. Jpn. 84, 104710. DOI: 10.7566/JPSJ.84.104710 (2015)
  7. Paul McClarty, Olga Sikora, Roderich Moessner, Karlo Penc, Frank Pollmann and Nic Shannon.
    "Chain-based order and quantum spin liquids in dipolar spin ice"
    Phys. Rev. B 92, 094418. DOI: 10.1103/PhysRevB.92.094418 (2015)
  8. L.D.C. Jaubert.
    "Monopole holes in a Partially Ordered Spin Liquid"
    Spin 5, 1540005. DOI: 10.1142/ S2010324715400056 (2015)
    Invited paper for the special issue on "Quantum Spin Ice and Liquid in Geometrically Frustrated Magnets".
  9. L.D.C. Jaubert, Roderich Moessner.
    "Multiferroicity in spin ice: towards a magnetic crystallography of Tb2Ti2O7 in a field"
    Phys. Rev. B 91, 214422. DOI: 10.1103/PhysRevB.91.214422 (2015)
    Chosen as a PRB Editor's Suggestion.
  10. Andrew Smerald, Hiroaki T. Ueda, Nic Shannon.
    "Theory of inelastic neutron scattering in a field-induced spin-nematic state"
    Phys. Rev. B 91, 174402. DOI: 10.1103/PhysRevB.91.174402 (2015).
    Selected for inclusion in Kaleidoscope.
  11. Yutaka Akagi and Yukitoshi Motome.
    "Spontaneous formation of kagome network and Dirac half-metal on a triangular lattice"
    Phys. Rev. B 91, 155132. DOI: 10.1103/PhysRevB.91.155132 (2015)

4.2 Books and other one-time publications

Nothing to report.

4.3 Oral and Poster Presentations

Invited Oral Presentations:

  1. Nic ShannonQuantum Water Ice” Symposium in Honor of Ken Peach, OIST (2016.01.27)
  2. Nic Shannon “Quantum Water Ice” Wigner Research Centre for Physics, Hungarian Academy of Sciences, Budapest (2016.01.16)
  3. Owen Benton “From pinch points to pinch lines: a new spin liquid on the pyrochlore lattice” Max Planck Institute for the Physics of Complex Systems, Dresden, Germany (2015.12.15)
  4. Mathieu Taillefumier, Owen Benton and Nic Shannon "Semi classical dynamics in pyrochlore magnets" Institut Neel, CNRS, France (2016.01.06)
  5. Ludovic Jaubert “A kagome map of spin liquids” Laboratoire de Physique, Ecole Normale Supérieure of Lyon, France (2015.12.10)
  6. Nic Shannon Quantum Spin Nematics” Gakushuin University (2015.12.08)
  7. Nic ShannonFrom pinch points to pinch lines: a new spin liquid on the pyrochlore lattice” ISSP, University of Tokyo (2015.12.07)
  8. Ludovic Jaubert “A kagome map of spin liquids” Institut Lamour, University of Nancy, France (2015.12.03)
  9. Karim Essafi “A Kagome Map of Spin Liquids” Condensed Matter Theory Laboratory, RIKEN, Saitama (2015.12.02)
  10. Owen BentonFrom pinch points to pinch lines: a new spin liquid on the pyrochlore lattice” RIKEN Center for Emergent Matter Science, Saitama (2015.11.30)
  11. Ludovic Jaubert “A kagome map of spin liquids” Institut Néel, University of Grenoble, France (2015.11.26)
  12. Nic Shannon “From pinch points to pinch lines: a new spin liquid on the pyrochlore lattice” YITP, Kyoto University (2015.11.25)
  13. Nic Shannon “Quantum Water Ice” Kageyama Lab, Kyoto University (2015.11.24)
  14. Ludovic Jaubert “A kagome map of spin liquids” LPTHE & LPTMC, University of Paris Jussieu, France (2015.11.17)
  15. Nic ShannonAre snowflakes really crystals? The quantum life of protons in water ice” in Okinawa School in Physics: Coherent Quantum Dynamics Workshop, OIST (2015.10.08)
  16. Nic Shannon “Quantum Water Ice” MPI-PKS, Dresden, Germany (2015.08.27)
  17. Ludovic Jaubert “Spin Glass in Spin Ice” in New Frontiers in Non-equilibrium Physics of Glassy Materials Workshop, Yukawa Institute, Kyoto (2015.08.12)
  18. Yutaka Akagi, Hiroaki T. Ueda and Nic Shannon “Topological defects in quantum spin-nematics” in The 20th International Conference on Magnetism (ICM2015), Palau de Congressos de Catalunya, Barcelona, Spain (2015.07.10)
  19. Nic ShannonQuantum Water Ice” in Condensed Matter Physics in the City, Rutherford Appleton Laboratory, UK (2015.06.30)
  20. Nic Shannon “Quantum Water Ice” Clarendon Laboratory, University of Oxford (2015.06.29)

Contributed Oral Presentations:

  1. Rico Pohle, Owen Benton, Ludovic D. C. Jaubert "Reentrance of disorder in the anisotropic shuriken Ising model" JPS 71th Annual Meeting, Tohoku Gakuin University, Sendai (2016.03.22) *Presented in Japanese
  2. Nic Shannon, Owen Benton, Ludovic Jaubert, Han Yan "From pinch points to pinch lines : a new spin liquid on the pyrochlore lattice" JPS 71th Annual Meeting, Tohoku Gakuin University, Sendai (2016.03.19)
  3. Owen Benton, Ludovic Jaubert, Han Yan, Nic Shannon "From pinch points to pinch lines: a new spin liquid on the pyrochlore" APS March Meeting, Baltimore, USA (2016.03.18)
  4. Owen Benton, Olga Sikora, Nic Shannon "Quantum Water Ice" APS March Meeting, Baltimore, USA (2016.03.16)
  5. Nic Shannon “Quantum water ice”. in The International Chemical Congress of Pacific Basin Societies 2015, Honolulu, Hawaii, USA (2015.12.18)
  6. Ludovic Jaubert, Owen Benton, Jeffrey G. Rau, Jaan Oitmaa, Rajiv R.P. Singh, Nic Shannon and Michel J.P. Gingras. “Are multiphase competition & order-by-disorder the keys to understanding Yb2Ti2O7 ?” , in JPS Autumn Meeting, Kansai University, Osaka (2015.09.19)
  7. Ludovic Jaubert, Masafumi Udagawa, Claudio Castelnovo and Roderich Moessner. “Magnetic crystallography in spin ice”. in JPS Autumn Meeting, 2015, Kansai University, Osaka (2015.09.19)
  8. Ludovic Jaubert, Karim Essafi and Owen Benton. “A Kagome Map of Chiral Spin Liquids” in JPS Autumn Meeting, Kansai University, Osaka (2015.09.18)
  9. Yutaka Akagi and Yukitoshi Motome “Magnetic phase diagram in spin-charge coupled system: Kagome network and supersolid phases” in JPS Autumn Meeting, Kansai University, Osaka (2015.09.16).
  10. Owen BentonIs ice a quantum liquid?” OIST internal seminar (2015.09.04)
  11. Owen Benton, Olga Sikora and Shannon, Nic “Electromagnetism on Ice: from quantum spin ice to protons in water ice” in Workshop New Phases and Emergent Phenomena in Correlated Materials with Strong Spin-Orbit Coupling, Kavli Institute for Theoretical Physics, Santa Barbara, USA (2015.07.21)
  12. Ludovic JaubertMagnetic crystallography and "jellyfish" structure of monopoles in spin ice” in The 20th International Conference on Magnetism Workshop, Barcelona, Spain (2015.07.10)
  13. Karim Essafi, Owen Benton and Ludovic Jaubert “A Tale of Three Spin Liquids” in International Conference on Magnetism, Barcelona, Spain (2015.07.09)

Conference Poster Presentations:

  1. Rico Pohle and Ludovic JaubertCurie-law Crossover in a Variety of Classical Spin Liquids” in Conference on Frustration, Disorder and Localization, ICTP Trieste, Italy (2015.09.29).
  2. Rico Pohle and Ludovic Jaubert “Curie-law Crossover in a Variety of Classical Spin Liquids” in School in Computational Condensed Matter Physics, ICTP Trieste, Italy (2015.09.17)

5. Intellectual Property Rights and Other Specific Achievements

Nothing to report.

6. Meetings and Events

6.1 Research Visits and Seminars

tqm_fy2015_6.1
Prof. Tanniemola Liverpool (University of Bristol)
tqm_fy2015_6.2
Prof. Andriy Nevidomskyy (Rice University / University of Tokyo)
tqm_fy2015_6.3
Dr. Ipsita Mandal (Perimeter Institute for Theoretical Physics)
tqm_fy2015_6.4
Prof. Karlo Penc (Institute for solid state for physics and optics)
tqm_fy2015_6.5
Dr. Andrew Smerald (EPFL Lausanne)
tqm_fy2015_6.6
Prof. Yukitoshi Motome (University of Tokyo)
tqm_fy2015_6.7
Dr. Judit Romhanyi (MPI-FKF Stuttgart)
tqm_fy2015_6.8
Dr. Hiroaki Ueda (Toyama Prefectural University)
  • Date: 2nd-11th September 2015
tqm_fy2015_6.9
Prof. John Chalker (University of Oxford)
tqm_fy2015_6.10
Prof. Arnaud Ralko (Néel Institute, CNRS Grenoble)
tqm_fy2015_6.11
Prof. Masafumi Udagawa (Gakushuin University)
  • Date: 26th-30th Ocboter 2015
tqm_fy2015_6.12
Dr. Alexey Andreanov (IBS Center for Theoretical Physics and Complex Systems)
tqm_fy2015_6.13
Ms. Yurika Kubo (Waseda University)

7. Other

Members of the TQM Unit were involved in a number of outreach activities, including the OIST Science Challenge, and demonstrations of superconductivy at Onna Junior High. These are described here.