FY2014 Annual Report

Theory of Quantum Matter Unit
Associate Professor Nic Shannon

tqm_fy2014

Abstract

The major event of FY2014, so far as the TQM Unit was concerned, was the "OIST International Workshop on Novel Quantum Materials and Phases" (NQMP 2014), held in OIST from 14th-17th May 2014. At the time, this was the largest workshop organised by OIST, with almost 100 participants, bringing together some of the leading figures from the fields of physical chemistry, experimental physics and theoretical physics. The workshop, while logistically challenging, was a great success, with participants praising the strong support they received from members of the OIST Workshop Division, the interdisciplinary mix of the program, and the friendly and stimulating atmosphere of the OIST campus.

A new arrival in the TQM Unit was Dr Yutaka Akagai, a recent Ph.D graduate from the University of Tokyo, who brought with him an interest in the interplay between itinerent electrons and frustrated magnetism. Owen Benton who joined the TQM Unit as a special student in FY2012, also successfully defended his PhD, at the University of Bristol, and assumed a postdoc postion within the group. The new members who joined the TQM Unit in 2013 contributed some interesting new research topics, such as the study of membranes, described below. And the unit continued to work on problems of long-standing interest such as spin ice and quantum spin-nematics. Scientific highlights included the experiments confirming the predictions by unit members of the existence of a magnetic supersolid in AgNiO2, and a breakthrough in understanding the multiferroic properties of spin ice, with further progress made in understanding quantum spin nematics and quantum spin-liquid phases.

Members of the TQM Unit were also active in presenting their findings to the scientific community, giving a total of 39 presentations at international conferences and research institutions, including 19 invited talks. These presentations took place at 14 International workshops and conferences, including the March Meeting of the American Physical Society, both the Spring and Autumn Meetings of the Japanese Physical Society, the conference "Highly Frustrated Magnetism 2014" and the 13th Bilateral German-Japanese symposium “Interplay of Spin- and Orbital Degrees of Freedom in Strongly Correlated Electron Systems”.

The TQM Unit also brought a large number of visitors to OIST in FY 2013, hosting a Research Intern, Ms. Kimberly Remund (EPFL), and 15 visiting researchers, including Prof. Ian Affleck of the University of British Columbia, and Prof. Nigel Hussey, director of the Nijmegen High Field Magnet Laboratory. Between them, these visitors gave 11 research seminars, on topics ranging from topological order to the chemistry of new magnetic materials.

1. Staff

  • Prof. Nic Shannon, Associate Professor
  • Dr. Ludovic Jaubert, Group Leader
  • Dr. Yutaka Akagi, Postdoctoral Scholar
  • Dr. John Owen Benton, Postdoctoral Scholar
  • Dr. Karim Essafi, Postdoctoral Scholar
  • Dr. Mathieu Taillefumier, Postdoctoral Scholar
  • Dr. Hiroaki Ueda, Postdoctoral Scholar
  • Mr. Rico Pohle, PhD Student
  • Mr. Han Yan, PhD Student (Supervised by Prof. Hirotaka Sugawara)
  • Ms. Kimberly Remund, Research Intern (March 2015 -)
  • Ms. Shiho Saito, Research Administrator

2. Collaborations

  • Theme: Quantum Spin Nematics Under High Field
    • Researchers:
      • Prof. Keisuke Totsuka, YITP, Kyoto University
      • Dr. Hiroaki Ueda, OIST
  • Theme: Topological Defects on Spin Nematics
    • Researchers:
      • Dr. Yutaka Akagi, OIST
      • Prof. Nic Shannon, OIST
      • Dr. Hiroaki Ueda, OIST
  • Theme: Optics of Graphene from Dot to Sheet
    • Researchers:
      • Prof. Keshav Dani, OIST
      • Dr. Eleftheria Kavousanaki, OIST
      • Mr. Rico Pohle, OIST
      • Prof. Nic Shannon, OIST
  • Theme: Curie law crossover in frustrated magnets
    • Researchers:
      • Dr. Ludovic Jaubert, OIST
      • Mr. Rico Pohle, OIST
  • Theme: Multiphase competition in pyrochlores
    • Researchers:
      • Dr. Owen Benton, OIST
      • Prof. Michel Gingras, University of Waterloo / Perimeter Institute / Canadian Institute for Advanced Research, Canada
      • Dr. Ludovic Jaubert, OIST
      • Prof. Jaan Oitmaa, University of New South Wales, Australia
      • Dr. Jeff Rau, University of Waterloo, Canada
      • Prof. Nic Shannon, OIST
      • Prof. Rajiv Singh, University of California, Davis, USA
  • Theme: Spin liquids in kagome systems
    • Researchers:
      • Dr. Owen Benton, OIST
      • Dr. Karim Essafi, OIST
      • Dr. Ludovic Jaubert, OIST
  • Theme: Multiferroicity in spin-ice materials
    • Researchers:
      • Dr. Ludovic Jaubert, OIST
      • Prof. Roderich Moessner, MPI-PkS, Germany
  • Theme: Anomalous dynamics and equilibrium properties of magnetic monopoles with short-range interactions
    • Researchers:
      • Dr. Claudio Castelnovo, University of Cambridge, UK
      • Dr. Ludovic Jaubert, OIST
      • Prof. Roderich Moessner, MPI-PkS, Germany
      • Dr. Masafumi Udagawa, University of Tokyo
  • Theme: Spin dynamics in anisotropic systems
    • Researchers:
      • Dr. Owen Benton, OIST
      • Dr. Ludovic Jaubert, OIST
      • Prof. Nic Shannon, OIST
      • Dr. Mathieu Taillefumier, OIST
  • Theme: Dynamics in kagome antiferromagnets
    • Researchers:
      • Prof. Benjamin Canals, CNRS, France
      • Prof. Roderich Moessner, MPIPKS, Germany
      • Dr. Julien Robert, CNRS, France
      • Dr. Mathieu Taillefumier, OIST
  • Theme: Quantum water ice
    • Researchers:
      • Dr. Owen Benton, OIST
      • Prof. Nic Shannon, OIST
      • Dr. Olga Sikora, National Taiwan University
  • Theme: Classical spin liquids on the pyrochlore lattice
    • Researchers:
      • Dr. Owen Benton, OIST
      • Dr. Ludovic Jaubert, OIST
      • Prof. Nic Shannon, OIST
      • Mr. Han Yan, OIST
  • Theme: Spontaneous formation of kagome network and Dirac half-semimetal on a triangular lattice
    • Researchers:
      • Dr. Yutaka Akagi, OIST
      • Prof. Yukitoshi Motome, University of Tokyo
  • Theme: Reconstruction of Chiral Edge States in a Magnetic Chern Insulator
    • Researchers:
      • Dr. Yutaka Akagi, OIST
      • Prof. Yukitoshi Motome, University of Tokyo
      • Mr. Ryo Ozawa, University of Tokyo
      • Dr. Masafumi Udagawa, University of Tokyo
  • Theme: Magnon Hall Effect due to Spin Scalar Chiral Ordering in a Kondo Lattice System
    • Researchers:
      • Dr. Yutaka Akagi, OIST
      • Prof. Yukitoshi Motome, University of Tokyo
      • Dr. Masafumi Udagawa, University of Tokyo
  • Theme: Phase transitions in polymerized membranes
    • Researchers:
      • Dr. Karim Essafi, OIST
      • Dr. Jean-Philippe Kownacki, University of Cergy, France
      • Prof. Dominique Mouhanna, University Pierre and Marie Curie, Paris, France

3. Activities and Findings

3.1 Spin excitations in frustrated magnets

The spin excitations of conventional magnets are well understood, and can be linked to the symmetries broken by magnetic order. Much less is known about the excitations of those highly-frustrated magnets which do not show any conventional form of order. Evaluating the spin dynamics of these systems is very challenging, but one approach with great promise is the numerical integration of the semi-classical equations of motion for individual spins. Dr Mathieu Taillefumier, of the TQM Unit, has developed a powerful molecular-dynamics code which accomplishes just this, and gives new insight into the dynamics of frustrated magnets.

In collaboration with scientists from the Laboratoire Leon Brillouin, France, Cornell University, USA, the Max Planck Institute for the Physics of Complex Systems in Germany, and the Institute Neel, France, Dr Taillefumier has applied this method to one of the most important models in frustrated magnetism, the Heisenberg antiferromagnet on a Kagome lattice [Figure 1]. Now, in collaboration with Dr Ludovic Jaubert, Dr Owen Benton and Prof. Nic Shannon of the TQM Unit, Dr Taillefumier is now developing his code further, for application to the spin dynamics of systems with anisotropic exchange. It is hoped that this approach will yield new insight into the magnetic excitations of the widely-discussed "quantum spin ice" pyrochlores.

tqm_fy2014_3.1

Figure 1: Spin excitations in the octopolar phase of a Kagome antiferromagnet. The dynamical structure factor at fixed energy was calculated from numerical simulations of the semi-classical spin dynamics. Anisotropy in the dispersion is a precursor of the ordered state found at very low temperatures.

These results were published as M. Taillefumier et al., Phys. Rev. B. 90, 064419 (2014).

3.2 Quantum Spin Nematics

Quantum spin nematics are magnetic analogues of the liquid-crystal phases which are so ubiquitous in modern technology. For a long time, these states were regarded as a theoretical curiosity, but members of the TQM Unit have been central in showing that spin-nematic phases can occur in realistic models of magnetic materials, and the search is now on for evidence that the spin-nematics also occur in experiment.

One of the most promising places to look for a quantum spin nematic is in frustrated ferromagnetic materials built of stacked, square--lattice layers, in applied magnetic field. Building on earlier results for an isolated square lattice plane [N. Shannon et al., Phys. Rev Lett. 96, 027213 (2006)], Dr Hiroaki Ueda of the TQM Unit has made quantitative analysis of the different ordered phases occuring in such a materials in high magnetic field, as function of the interactions between spins. He finds a large range of parameters for which spin-nematic order dominates. These results will be very useful to experimental groups searching for spin-nematic states in experiment.

tqm_fy2014_3.2.1

Figure 1: Phase diagram for a layered frustrated ferromagnet in applied magnetic field, as a function of exchange interactions within, and between, stacked square-lattice planes. A spin-nematic phase is found approaching saturation for a wide range of parameters.

These results were published in the Letter H. T. Ueda, J. Phys. Soc. Jpn. 84, 023601 (2015).

While there is now good theoretical reason to believe in quantum spin-nematic order, identifying spin-nematics in experiment remains a significant challenge, not least because spin nematic phases are "invisible" to many of the most popular probes of magnetism. To address this issue, Dr Andrew Smerald, formerly of the TQM Unit and now working at EPFL, Switzerland, collaborated with Dr Ueda and Prof. Shannon to explore how such a spin-nematic state would reveal itself in experiment. By combining a field-theoretical approach, developed by Dr Smerald, with a microscopic, lattice-based approach, developed by Dr Ueda, it proved possible to make quantitative predictions for the inelastic neutron scattering from a quantum spin-nematic in applied magnetic field. The spin-nematic order reveals itself in a ghostly, linearly-dispersing Goldstone mode, as shown in Fig. 2. An animation of the evolution the prediction for inelastic neutron scattering as a function of magnetic field can be found here.

tqm_fy2014_3.2.2

Figure 2: [Left panel]. Illustration of a bond-centered spin-nematic state in applied magnetic field, of the type proposed in N. Shannon et al., Phys. Rev Lett. 96, 027213 (2006). [Right panel]. Prediction for inelastic neutron scattering from such a field-induced spin-nematic state, for parameters relevant to BaCdVO(PO4)2. The linearly-dispersing signal at low energies is signature of spin-nematic order.

These results were published as A. Smerald, H.T. Ueda and N. Shannon, Phys. Rev. B 91, 174402 (2015), and were singled out for inclusion in Physical Review's Kaleidascope.

3.3 Spin Ice

Ferromagnetism is what allows a magnet to stick onto the fridge, and is heavily used in the industry, from electric motors to computer hard-disks. Ferroelectricity is its electric counterpart, discovered in the 1920's; first believed to be rather exotic, it is now a useful property for capacitors and sensor applications. In multiferroics, both ferromagnetism and ferroelectricity can co-exist. The search for high-temperature multiferroics has drawn substantial efforts in the XXI century for its technological potential, such as the development of dissipationless electronics. Frustration has become a key ingredient in multiferroics because it provides mechanisms for strong magneto-electric coupling. It also opens a window on the fundamental low-temperature properties of matter where weak perturbations can play an important role. This holds especially true for the collective behavior of spin liquids -- these exotic phases of matter which counter-intuitively refuse to order -- observed in a wide range of compounds from rare-earth and copper oxides to organic Mott insulators or iridates.

Working together with Prof. Moessner from the Max Planck Institute in Dresden, Germany, Dr. Ludovic Jaubert of the TQM Unit investigated the multiple facets of such magneto-electric coupling in spin-ice materials, famous for supporting the emergence of quasi-particles analogue to magnetic monopoles. Their key finding was the discovery of a bilayered crystal of these monopoles induced by magneto-electric coupling, whose stability, remarkably, is strengthened by an external [110] magnetic field. Their theory accounts for the ordering process of the quantum spin ice candidate Tb2Ti2O7 in a large field, for reasonably small electric energy scales.

tqm_fy2014_3.3

Figure 3. Magneto-electric coupling in spin ice opens a window for the existence of a bilayered crystal of magnetic monopoles (green), in competition with antiferromagnetic order (red) and a Coulomb spin liquid (yellow).

These results were published as L.D.C. Jaubert and R. Moessner, Phys. Rev. B 91, 214422 (2015). This paper was chosen as an Editor's suggestion, and featured in the news story "Magnetic Monpoles : Crystal Clear" later quoted in ScienceDaily and Nanowerk.

In February 2015, an earlier work of Dr. Jaubert on this proplem, carried out in collaboration with Prof. Holdsworth of the Ecole Normale Superieure de Lyon, France [L.D.C. Jaubert and P .C. W. Holdsworth, Nature Phys. 5, 258-261 (2009)] was singled out as one of the 12 featured papers for the first 10 years of Nature Physics.

3.4 Frustrated Magnets in Applied Magnetic Field

The theory of frustrated magnets in applied magnetic field has had a long and fruitful history, yielding many interesting predictions for new quantum phases. In recent years, advances in experimental technique, coupled with a steady stream of new materials, has made it possible to test many of these predictions for the first time.

In an earlier work, L. Seabra and N. Shannon, Phys. Rev. Lett. 104, 237205 (2010), members of the TQM Unit predicted the existence of a magnetic supersolid, a phase of matter which simultaneously exhibits properties usually associated with solids and liquids, in the frustrated magnet AgNiO2, in applied magnetic field. Now in collaboration with scientists from the Universities of Oxford and Bristol (UK), High Field Magnet Laboratory (Netherlands), Laboratoire National des Champs Magnétiques Intenses (France) and the Max-Planck-Institut fur Festkorperforschung (Germany), they have revisited this problem, with the benefit of state-of-the-art measurements of the magnetisation and conductivity of AgNiO2 in applied magnetic field. These measurements, which were carried out on a crystal no bigger than a grain of sand, represent and experimental tour-de-force. Good evidence is found for the supersolid phase proposed by Seabra and Shannon.

tqm_fy2014_3.4

Figure 4: Comparison of the magnetic phase diagram of AgNiO2 measured in experiment with that obtained in the Monte Carlo simulations. At low temperatures, the collinear antiferromagmetic phase gives way to a magnetic supersolid in applied magnetic field.

These results were published the Rapid Communication A. I. Coldea et al., Phys. Rev. B 90, 020401(R), (2014).

3.5 Statistical mechanics of membranes

The physics of two-dimensional surfaces have regained considerable interest over the last decade following the discovery of the first genuinely two-dimensional system namely Graphene. It has been shown that the flat phase of polymerized membranes correctly describes the mechanical properties of graphene. More generally and beyond graphene, polymerized membranes possess another phase in which the membrane is crumpled. The transition between the flat and crumpled phases can be either first order or continuous. This has been studied by Dr Karim Essafi, of the TQM Unit, using a nonperturbative renormalization group technique.

In collaboration with scientists from the University Pierre and Marie Curie (UPMC) and the University of Cergy (U-Cergy), France, Dr Karim Essafi has applied this method to study the transition between the flat and crumpled phases and found that this transition is of first-order in agreement with the most recent Monte Carlo simulations [Figure 5]. In collaboration with Prof. Dominique Mouhanna (UPMC) and Dr Jean-Philippe Kownacki (U-Cergy), Dr Karim Essafi is now investigating the behaviour of polymerized membranes with quenched disorder.

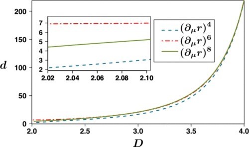
tqm_fy2014_3.5

Figure 5: For a general membrane of dimension D embedded in a space of dimension d, with the physically interesting case corresponding to D=2 and D=3, one can compute the line separating a first-order transition (below the line) from a continuous transition (above the line). The three curves in blue, red and green corresponds to three different orders of expansion, respectively 4th, 6th and 8th. One see that physical membranes are below the curve which means a first-order transition between the crumpled and the flat phases.

These results were published as K. Essafi et al. Phys. Rev. E 89, 042101 (2014)

3.6 Itinerant electrons and frustrated magnetism

In a long history of study on localized spin systems, a lot of exotic magnetic phases such as spin liquid state have been found and well-established concept as our basic thoughts. On the other hand, much less is known about an effect of the presence of itinerant electrons on such a frustrated magnet. In this challenging research area, Dr Yutaka Akagi, of the TQM Unit, has first found a stable nontrivial noncoplanar magnetic order associated with topological Hall effect in the world [J. Phys. Soc. Jpn. 79, 083711 (2010).]. In collaboration with scientists from the University of Tokyo in Japan, Dr Akagi has further investigated spin-charge coupled systems on the most fundamental geometrical frustrated lattice, triangular lattice.

Dr Akagi found a ‘kagome network’ phase in the large Hund’s coupling region at a special filling, 5/8 filling in the presence of the antiferromagnetic superexchange interaction [Figure 6]. This nontrivial ferrimagnetic order consists of up-spin sites forming a kagome lattice in the triangular lattice and down-spins at the remaining sites. In the kagome network phase, the electronic structure shows a Dirac node with linear dispersion and the Fermi level locates right at the Dirac node. The Dirac electrons are fully spin-polarized due to the large Hund’s coupling.

tqm_fy2014_3.6

Figure 6: (Left) Kagome network phase on a triangular lattice and (Right) its band structure. The blue (white) hexagon in the inset of right panel indicates the folded (original) Brillouin zone. The band dispersions are plotted along the symmetric line in the folded Brillouin zone. The dashed line indicates the Fermi level located just at the Dirac node at the K” point.

These results were published as Yutaka Akagi, and Yukitoshi Motome, Phys. Rev. B 91, 155132 (2015), with related work published in Ryo Ozawa, Masafumi Udagawa, Yutaka Akagi, and Yukitoshi Motome, J. Phys. Soc. Jpn. 83, 073706 (2014).; J. Phys.: Conf. Ser. 592, 012130 (2015).

4. Publications

4.1 Journals

  1. Ueda, H. T. "Magnetic Phase Diagram Slightly below the Saturation Field in the Stacked J1–J2 Model in the Square Lattice with the JC Interlayer Coupling". Journal of the Physical Society of Japan. 84, 023601, DOI: 10.7566/JPSJ.84.023601 (2015)
  2. Ozawa, R., Udagawa, M., Akagi, Y., and Motome, Y. "Surface and interface effects on a magnetic Chern insulator". Journal of Physics: Conferebce Series. 592 012130 (2015)
  3. Taillefumier, M., Robert, J., Henley, C. L., Moessner, R. and Canals, B. "Semiclassical spin dynamics of the antiferromagnetic Heisenberg model on the kagome lattice". Physical. Review. B 90, 064419, DOI:10.1103/PhysRevB.90.064419 (2014)
  4. Coldea, A. I., Seabra, L., McCollam, A , Carrington, A., Malone, L., Bangura, A. F., Vignolles, D., Van Rhee, P. G., McDonald, R. D., Sörgel, T , Jansen, M., Shannon, N. and Coldea, R. "Cascade of field-induced magnetic transitions in a frustrated antiferromagnetic metal". Physical Review B 90, 020401(R), DOI: 10.1103/PhysRevB.90.020401 (2014)
  5. Ozawa, R., Udagawa, M., Akagi, Y., and Motome, Y.
    "Reconstruction of Chiral Edge States in a Magnetic Chern Insulator” Journal of the physical society of Japan 83, 073706, DOI: 10.7566/JPSJ.83.073706 (2014)
  6. Essafi, K., Kownacki, J.-P and Mouhanna, D. "First-Order Phase Transitions in Polymerized Membranes". Physical Review E 89, 042101, DOI: 10.1103/PhysRevE.89.042101 (2014)

4.2 Books and other one-time publications

Nothing to report

4.3 Oral and Poster Presentations

Oral Presentations:

  1. Taillefumier M., Robert J, Henley C. H, Moessner R. and Canals B. “Semi-classical spin dynamics of the antiferromagnetic Heisenberg model on the kagome lattice”. in “Dynamics of Strongly Correlated Systems” workshop, ISSP, University of Tokyo (Mar 2015)
  2. Shannon N. “Quantum Spin Ice”,Texas A & M University, USA (Mar 2015)
  3. Pohle, R., Kavousanaki, E., Dani, K and Shannon, N. “Optics of Graphene from Dot to Sheet” in JPS Spring Meeting 2015, Waseda University, Japan (Mar 2015)
  4. Ueda, H. T and Shannon, N. “Spin nematic phase near saturation field on the stacked J1-J2 chain on Kagome lattice”. in JPS Spring Meeting 2015, Waseda University, Japan (Mar 2015)
  5. Akagi, Y., Ueda, H. T. and Shannon, N. “Topological defects in quantum spin-nematics” in JPS Spring meeting 2015, Waseda University, Japan (Mar 2015)
  6. Benton, J. O., Jaubert, L. D.C., Rau, J., Oitmaa, J., Singh, R., Shannon, N. and Gingras, M. “What is going on in Yb2Ti2O7?” in APS march meeting 2015, San Antonio, USA (Mar 2015)
  7. Shannon N. “Quantum Spin Ice”, Los Alamos National Laboratory, Texas, USA (Mar 2015)
  8. Shannon N. “Quantum Spin Ice”, Rice University, Houston, USA (Mar 2015)
  9. Akagi, Y., Ueda, H. T. and Shannon, N.”Topological defects in quantum spin-nematics” in APS March Meeting 2015, San Antonio, USA (Mar 2015)
  10. Shannon N. “Quantum Spin Ice”, ISSP, University of Tokyo (Jan 2015)
  11. Benton, J. O., Jaubert, L.D.C., Yan, H. and Shannon, N. ”Spin ice and beyond: towards a general theory of magnetism on the pyrochlore lattice”, University of Bristol, UK (Dec 2014)
  12. Jaubert, L. D.C. “Magneto-electric effect in spin ice” in Novel Quantum States 2014, YITP, Kyoto University (Sep 2014).
  13. Ueda, H.T. “Spin nematic phase in the satcked-square-lattice model under high field” in JPS Autumn Meeting 2014, Chubu University (Sep 2014)
  14. Taillefumier, M., Robert, J., Henley, C. L., Moessner, R. and Canals, B. “Semiclassical spin dynamics of the antiferromagnetic Heisenberg model on the kagome lattice” in “Quantum Spin Dynamics: From Exotic Excitations to Novel Transport and Non-Equilibrium Phenomena” Workshop, MPI-PKS, Dresden, Germany (Sep 2014)
  15. Shannon N, Benton J O, McClarty P, Sikora O, Fulde P, Moessner R, Penc K and Pollmann F. “Quantum Spin Ice” in Workshop on Frontiers in Condensed Matter Physics, KIAS, Seoul, South Korea (Dec 2014)
  16. Smerald, A and Shannon, N. Waves in the unseen: theory of spin excitations in a quantum spin-nematic”, MPI-PKS, Dresden, Germany (Sep 2014)
  17. Shannon N, Benton J. O., Sikora Olga, McClarty P, Pollmann F, Moessner R, Fulde P and Penc K. “Quantum Spin Ice” in International Workshop on Novel Directions in Frustrated and Critical Magnetism, Nordita, Stockholm, Sweden (July 2014)
  18. Benton J O. “Beyond Spin Ice: towards a general theory of magnetism on the pyrochlore lattice” University of Warwick, UK (July 2014)
  19. Shannon N., Benton J. O., Sikora O, McClarty P, Pollmann F, Moessner R, Fulde P and Penc K. “Quantum Spin Ice” in 13th Bilateral German-Japanese Symposium, Schloss Ringberg of Max Plank Gesellschaft, Germany (July 2014)
  20. Essafi K..”Nonperturbative Renormalization Group Approach to Polymerized Phantom Membranes”. Queen Mary University of London, UK (July 2014)
  21. Jaubert, L. D.C. “Recipe for spin liquid in pyrochlores”. in Novel Directions in Frustrated and Critical Magnetism, Nordita, Stockholm, Sweden (July 2014)
  22. Jaubert, L. D.C. “Breaking spin ice symmetry” in Highly Frustrated Magnetism Conference, University of Cambridge, UK
  23. Shannon, Nic. “A new classical spin liquid on the pyrochlore lattice” in Modern Trends in Quantum Magnetism Conference, Aspen Center for Physics, Aspen, CO, USA (May 2014)
  24. Jaubert, L. D.C. “ Spin liquids and exotic phases in rare earth pyrochlore oxides” in OIST International Workshop on Novel Quantum Materials and Phases, OIST Japan (May 2014)
  25. Jaubert, L. D.C. “Loop models in Magnetic Spin Ice crystals” in Deutsche Physikalische Gesellschaft (DPG) Spring Meeting, TU Dresden, Germany (April 2014)
  26. Jaubert, L. D.C., ”Spin liquids in pyrochlores”, LPTHE, Paris University VI, France (April 2014)

Poster Presentations:

  1. Benton, J. O., Jaubert, L.D.C., Yan, Han and Shannon, N.”An anisotropic Coulomb liquid on the pyrochlore lattice”. in Novel Quantum States in Condensed Matter 2014 Workshop, YITP, Kyoto University (Nov 2014)
  2. Ueda, H. T, Akagi, Y. and Shannon, N.”Topological defects on the antiferromagnetic-SU(3) point in the spin-1 bilinear-biquadratic model”, in Novel Quantum States in Condensed Matter 2014 Workshop, YITP, Kyoto University (Nov 2014)
  3. Akagi, Y., Udagawa, M., and Motome, Y. “Quantum Spin Fluctuations and Magnon Hall Effect in Spin Scalar Chiral Ordered States in a Kondo Lattice Systemin Novel Quantum States 2014, YITP, Kyoto University (Nov 2014)
  4. Ueda, H. T, Akagi, Y. and Shannon, N. “Topological defects in a spin-nematic phase on the triangular lattice”, in International Conference on Highly Frustrated Magnetisim, University of Cambridge, UK (July 2014)
  5. Essafi, K. and Jaubert, L.D.C. “Emergence of Loops in Spin-Ice” in International Conference on Highly Frustrated Magnetisim, University of Cambridge, UK (July 2014)
  6. Benton, J. O., Jaubert, L. D.C., Yan, H. and Shannon, N. “An Anisotropic Coulomb Liquid on the Pyrochlore Lattice” in International Conference on Highly Frustrated Magnetisim, University of Cambridge, UK (July 2014)
  7. Taillefumier, M., Robert, J., Henley, C. L., Moessner, R. and Canals, B. “Semiclassical spin dynamics of the antiferromagnetic Heisenberg model on the kagome lattice”, Grenoble, France (July 2014)
  8. Ozawa, R., Udagawa, M., Akagi, Y. and Motome, Y. “Langevin-based numerical analysis of frustrated spin-charge coupled systems: surface and domain wall states” in SCES 2014, Grenoble, France (July 2014)
  9. Akagi, Y., Udagawa, M. and Motome, Y. “Quantum Spin Fluctuations and Magnon Hall Effect in Spin Scalar Chiral Ordered States in a Kondo Lattice System” in SCES 2014, Grenoble, France (July 2014)
  10. Yan, H., Benton, J. O., Jaubert, L. D.C. and Shannon, N., “Effective electromagnetism in rare-earth pyrochlore oxides” in OIST International Workshop on Novel Quantum Materials and Phases, OIST Japan (May 2014)
  11. Pohle, R., Kavousanaki, E., Dani, K. and Shannon, N. ”Growing up in the Spotlight - Optics of Graphene from Dot to Sheet”, in OIST International Workshop on Novel Quantum Materials and Phases, OIST Japan (May 2014)
  12. Akagi, Y., Udagawa, M. and Motome, Y., “Magnon Hall Effect due to Spin Scalar Chiral Ordering in a Kondo Lattice System” in OIST International Workshop on Novel Quantum Materials and Phases, OIST Japan (May 2014)
  13. Benton, J. O.,”An anisotropic Coulomb liquid on the pyrochlore lattice” in OIST International Workshop on Novel Quantum Materials and Phases, OIST Japan (May 2014)

5. Intellectual Property Rights and Other Specific Achievements

Nothing to report

6. Meetings and Events

6.1 OIST Workshop

6.2 Research Visits and Seminars

tqm_fy2014_6.2.1
Prof. Philippe Sindzingre (LPTMC, Université Paris 6)
  • Date: February 2 -13, 2015
  • Venue: OIST Campus
tqm_fy2014_6.2.2
Dr. Luis Seabra (Israel Institute of Technology)
  • Date: February 2 -16, 2015
  • Venue: OIST Campus
tqm_fy2014_6.2.3
Dr. Tsutomu Momoi (RIKEN)
  • Date: February 2 -6, 2015
  • Venue: OIST Campus
tqm_fy2014_6.2.4
Prof. Henrik M. Ronnow (EPFL Lausanne)
  • Date: January 13 -14, 2015
  • Venue: OIST Campus
  • Seminar: "Quantum Magnetism - neutrons in the quasi-particle zoo" (Jan 13, 2015)
tqm_fy2014_6.2.5
Prof. Ian Affleck (The University of British Columbia)
  • Date: December 8, 2014
  • Venue: OIST Campus
  • Seminar: "Topological superconductor - Tomonaga-Luttinger liquid junctions" (Dec 8, 2014)
tqm_fy2014_6.2.6
Prof. Oleg Tchernyshyov (The Johns Hopkins University)
  • Date: November 25 -28, 2014
  • Venue: OIST Campus
  • Seminar: "Gauge theories of the Heisenberg antiferromagnet on kagome" (Nov 27, 2014)
tqm_fy2014_6.2.7
Prof. Frank Pollmann (MPI-PKS Dresden)
  • Date: November 25 -26, 2014
  • Venue: OIST Campus
  • Seminar: "Detecting topological orders in quantum matter" (Nov 25, 2014)
tqm_fy2014_6.2.8
Prof. Andreas Laeuchli (University of Innsbruck)
  • Date: November 2 –October 2, 2014
  • Venue: OIST Campus
  • Seminar: "Spin Liquids on the Kagome Lattice" (Oct 31, 2014)
tqm_fy2014_6.2.9
Dr. Kazuhiro Nawa (ISSP, University of Tokyo)
  • Date: October 20 -22, 2014
  • Venue: OIST Campus
  • Seminar: "Low-dimensional frustrated magnets with competing ferromagnetic and antiferromagnetic interactions” (Oct 21, 2014)
tqm_fy2014_6.2.10
Prof. Peter Holdsworth (ENS Lyon)
  • Date: July 21 -August 1, 2014
  • Venue: OIST Campus
  • Seminar: "The Critical Casimir Effect and Can One Measure It in a Magnetic Experiment?" (Jul 30, 2014) 
tqm_fy2014_6.2.11
Dr. Masafumi Udagawa (University of Tokyo)
  • Date: July 2 - 4, 2014
  • Venue: OIST Campus
tqm_fy2014_6.2.12
Dr. Andrew Smerald (EPFL Lausanne)
  • Date: June 12 -27, 2014
  • Venue: OIST Campus
  • Seminar: "Exploring the spin-orbital ground state of Ba3CuSb2O9" (Jun 23, 2014)
tqm_fy2014_6.2.13
Prof. Nigel Hussey (HFML Nijmegen)
  • Date: May 9 -17, 2014
  • Venue: OIST Campus
tqm_fy2014_6.2.14
Mr. Johannes Knolle (MPI-PKS Dresden)
  • Date: May 7 -17, 2014
  • Venue: OIST Campus
  • Seminar: "Dynamics of a two-dimensional quantum spin liquid: signatures of emergent Majorana fermions and fluxes" (May 9, 2014)
tqm_fy2014_6.2.15
Prof. Karlo Penc (Institute for solid state for physics and optics)
  • Date: Mar 21 –April 17, 2014
  • Venue: OIST Campus
  • Seminar: "Triplon Hall effect in the SrCu2(BO3)2" (Apr 17, 2014)

7. Other

Nothing to report.