科学者 vs AI: コンピュータは科学することができるのか?

コンビュータが理論物理学の複雑な問題を解く性能を高めていくための可能性を開きました。

 機械学習は過去数十年間にわたって社会の多くの分野に革命をもたらし、車の運転、腫瘍の特定、チェスなどの多くの場面で、学習した機械が人間を凌駕するケースがでてきています。

 沖縄科学技術大学院大学(OIST)とミュンヘン大学、ボルドー大学国立科学研究センターの研究チームは、理論物理学者が考案した複雑な問題をコンピュータが正確に、かつ研究者よりはるかに高速に解決することが可能であることを示しました。

 Physical Review B誌に発表された本研究では、パイロクロアと呼ばれる 四面体の格子構造を持つ天然鉱物の異常磁気相をコンピュータに学習させることで特定させました。OISTの研究者らが以前この鉱物を研究した際には6年も要していた作業を、コンピュータは驚くべきことにわずか数週間で解決したのです。

 

パイロクロアは四面体形の頂点に磁性原子が並んだ結晶格子構造をもち、それぞれの頂点が隣の格子と結合している。
© OIST量子理論ユニット

  

 「これは大変重要な一歩だと思います。コンピュータが、非常に有意義な方法で科学研究そのものを推進し、研究者たちを長い間悩ませてきた問題にも挑むことができるようになったのです。」と、OIST量子理論ユニットのニック・シャノン教授はコメントしています。

フラストレーションの源

 磁石に含まれる原子はそれぞれが「スピン」と呼ばれる小さな磁気モーメントを持っています。冷蔵庫にくっつけて使うような通常の磁石ではすべての原子のスピンが同じ方向に配列し、強い磁場が発生します。この秩序は固体材料中に規則正しく並んでいる原子の様子と似ています。

 しかし、物質に固体、液体、気体という異なる相が存在するのと同様に、磁性を持つ物質にも異なる相が存在します。量子理論ユニットでは「スピン液体」と呼ばれる物質の特殊な磁気相の研究をしています。この液体にはそれぞれの原子のスピンが互いに反発する「フラストレーション」という相互作用の性質があり、量子計算に利用できる可能性を秘めています。スピンが整列して安定するのではなく、液体中の原子に見られる無秩序さと同様にスピンの方向が絶えず変動しているのです。

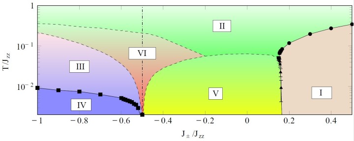
 ユニットではこれまでフラストレーションを持つパイロクロア磁石中にどのような種類のスピン液体が存在し得るかについて研究していました。2017年には温度の変化に応じてスピンが異なる相互作用をした場合に異なる相がどのように生じるかについての状態図を作成し、Physical Review X誌に発表しています。

 

生成された状態図。パイロクロア格子上の最も単純なモデルに存在するすべての異なる磁気相を示す。III、VI、V相はスピン液体。
© Phys. Rev. X, 2017, 7, 041057 American Physical Society より許可を得て掲載

  

 しかしこの状態図を作成し、各相におけるスピン間の相互作用を司る法則を特定することは困難な作業でした。

 「これらの磁石は我々に文字通りのフラストレーションを与えてくれました。パイロクロア格子上の最も単純なモデルでさえ、問題を解くのに何年もかかったのです。」と、とシャノン教授は冗談っぽく語りました。

機械にやらせてみよう

 機械学習の進歩に伴い、シャノン教授のチームはコンピュータがこのような複雑な問題を解決できるかどうかに興味を持ちはじめました。

 「正直なところ、コンピュータには解けないだろうと確信していました。私が研究結果でショックを受けたのは、今回が初めてです。今まで研究結果に驚いたこと、喜んだことはありましたが、心底ショックを受けたことはなかったのです。」と、シャノン教授は話します。

 OISTの研究者らは、スピンの構造をコンピュータで表す「テンソル・カーネル」を開発したLode Pollet教授が率いるミュンヘン大学の機械学習の研究者らとの共同研究を始めました。「サポートベクトルマシン」という方式でテンソル・カーネルを用いることで、複雑なデータを異なるグループに分類できるようにしたのです。

 「この方式の利点は、他の「サポートベクトルマシン」とは異なり事前のトレーニングが不要で、ブラックボックスとはならないことです。それぞれのデータが分類されるだけでなく、最終的な決定がどのようになされたかを調べることができ、各グループの個別のプロパティについても理解することができるのです。」とボルドー大学フランス国立科学研究センターのルドビック・ジョウベルト博士は説明しています。

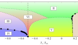
 この研究ではパイロクロアモデルのスーパーコンピューター・シミュレーションでOISTが生成した25万個のスピンの配置を、ミュンヘン大学の研究者らがサポートベクトルマシンに投入しました。すると、どの相が存在するかについての情報なしに、コンピュータは以前得られたのと同じパターンの状態図の再現に成功したのです。

 

コンピュータが再現した状態図。実線と点線は研究者が以前の研究で機械学習なしで調べた境界線。
© Phys. Rev. B, 2019, 100, 174408 American Physical Society より許可を得て掲載

  

 重要なことは、コンピュータが異なるスピン液体状態を分類するために構築した「決定関数」を研究者が解読した結果、それぞれの状態を記述する正確な数学的方程式をコンピュータが独自に発見していたことがわかったことです。この検証のプロセスに数週間を要しました。

 「この検証過程のほとんどは人間が費やした時間だったので、今後はさらなるスピードアップが可能です。つまり、コンピュータは1日でこの問題を解決したと言えるのです。」とPollet教授は語っています。

 「理論物理学に大きな影響を与える可能性のあるコンピュータを用いた実験の成功に私たちは興奮しています。次のステップは人類がいまだ解決していないより難度の高い問題をコンピュータに与え、さらにうまくやれるかどうかを見極めることです。」と、シャノン教授は今後の抱負を語りました。

研究ユニット

広報・取材に関するお問い合わせ
報道関係者専用問い合わせフォーム

シェア: