量子理論ユニット研究者による相図
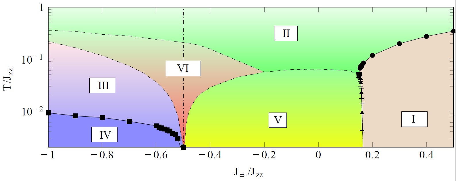
生成された状態図。パイロクロア格子上の最も単純なモデルに存在するすべての異なる磁気相を示す。III、VI、V相はスピン液体。
生成された状態図。パイロクロア格子上の最も単純なモデルに存在するすべての異なる磁気相を示す。III、VI、V相はスピン液体。
日付:
2020年1月10日
出典:
Phys. Rev. X, 2017, 7, 041057 American Physical Society より許可を得て掲載
Copyright OIST (Okinawa Institute of Science and Technology Graduate University, 沖縄科学技術大学院大学). Creative Commons Attribution 4.0 International License (CC BY 4.0).