FY2020 Annual Report

Quantum Machines Unit
Professor Jason Twamley

qmech FY2020 Annual Report 01

Abstract

The Quantum Machines Unit works on how to build functionally useful devices from disparate quantum systems. The Quantum Machines Unit started in July 2020 and in one year has now fully established experimental and theoretical efforts and the team has grown to 8 postdocs and 1 PhD student. The Unit hosted three rotation students in Term 2 [2020], with two rotation students working on theory projects and one on a combination theory/experimental project. These rotation projects each focused on some aspect relating to the magnetic levitation of quantum systems and this interdependence meant that the rotation students could more easily understand/relate/assist each other during their rotation. In addition the Unit hosted an undergraduate intern student from Hokkaido University in Japan. As a wrap up the entire Unit designed posters outlining each researcher’s work (including rotation students), and a poster session was held internally within OIST which was very well attended by other Units within OIST. The Unit also hosted an online Mini-Symposium on Quantum Sensors for Magnetic and Inertial forces featuring talks from 13 international speakers. This included talks from Japanese and overseas experts who develop novel atomic/quantum devices for sensing magnetic/inertial forces useful for medical/bio diagnostic devices and navigation. The Unit was also successful in attracting a JSPS Visiting Professor Fellowship and Prof Jingbo Wang, from the University of Western Australia will visit the Unit in late 2021.

1. Group Members

As of May 31, 2021

  • Prof. Jason Twamley, Professor
  • Dr. Sangkha Borah, Postdoctoral Scholar
  • Dr. Yanan Liu, Postdoctoral Scholar
  • Dr. Kani Mohammed, Postdoctoral Scholar
  • Dr. Priscila Romagnoli, Postdoctoral Scholar
  • Dr. Isha Sanskritti, Postdoctoral Scholar
  • Dr. Bijita Sarma, Postdoctoral Scholar
  • Soma Mishra, Graduate Student
  • Miwa Matsui, Research Administrator

Yet to join

  • Dr. Fernando Quijandria, Staff Scientist
  • Dr. Ruvi Lecamwasam, Postdoctoral Scholar
  • Dr. Shilu Tian, Postdoctoral Scholar
  • Prof. Jingbo Wang, Visiting JSPS Professorial Fellow

Alumni

  • Hoshu Hiyane, Graduate Student (rotation)
  • Tatiana Iakovleva, Graduate Student (rotation)
  • Daehee Kim, Intern Student

2. Collaborations

  • Type of collaboration: Joint research
  • Researchers:
    • Dr Rafael Alexander, RMIT University, Melbourne, Australia
    • Prof Thomas Busch, Okinawa Institute for Science and Technology, Okinawa, Japan
    • Prof Ivan Deutsch, Dr. Pablo Poggi, University of New Mexico, Albquerque, New Mexico, USA
    • Prof James Downes, Prof Dave Spence, Prof Gavin Brennen, Dr Mattias Johnsson, Macquarie University, Sydney, Australia
    • Prof Nobuyuki Matsumoto, Dr Maria Fuwa, Gakushuin University, Tokyo, Japan
    • Prof Gerard J. Milburn, University of Queensland, Queensland, Australia
    • Dr William J Munro, Quantum Science and Technology Laboratory, NTT Basic Research Labs, Astugi, Kanawaga, Japan
    • Prof Jingbo Wang, Dr Maxim Goryachev, University of Western Australia, Perth, Australia

3. Activities and Findings

3.1 Hybrid opto-magno-mechanical quantum systems for quantum state transfer applications

Bijita Sarma, Thomas Busch and Jason Twamley, “Cavity magnomechanical storage and retrieval of quantum states”, New J. Phys. 23, 043041 (2021)

Storage of quantum states and information in long-lasting modes is very important for quantum communication networks. Photons are the usual candidate for flying qubits, whereas some other quantum system with a longer coherence time is necessary for the storage of quantum information in quantum repeaters and networks. The storage of quantum states has been previously studied in atomic media, in optomechanical systems, in coupled optical waveguides, or in acoustic excitations. One of the relatively new candidates in the picture is the magnon, a collective excitation of magnetization, which can be coupled to phonons via magnetostrictive forces. This type of coupling has better tunability as the magnon frequency can be controlled via an external magnetic field. Magnons can be strongly coupled to microwave cavity modes as well, particularly in the insulating magnetic material yttrium iron garnet (YIG). The Kittel mode found in YIG spheres, can couple very strongly to cavity photons. Combining the magnetostrictive coupling between magnons and phonons and the magnon-cavity magnetic dipole coupling, a new kind of photon–magnon–phonon interaction can be realized. This opens up new possibilities in quantum state engineering and control. Here we consider such a photon–magnon–phonon hybrid system which is capable of transferring cavity photons to mechanical motional phonons, enabling the storage of photonic quantum states for long durations, thanks to the lower damping rate of the phononic mode. We drive the magnon mode with a microwave field such that the time-modulation of the amplitude of the drive on the magnon mode yields a time-dependent coupling strength between the magnon and the mechanics. Using additionally time-modulated resonance frequencies of the photonic and magnon modes, a stimulated Raman adiabatic passage (STIRAP)-like one-way transfer becomes possible, which efficiently transfers quantum states from the cavity mode to the mechanical mode. The quanta can be stored in the mechanical resonator for some time and can then be extracted using a retrieval pulse. In this way quantum states can be stored for times longer than the cavity lifetime, due to the lower damping rate of the phononic mode. We show that our storage protocol can be applied to various kinds of quantum states.

qmech FY2020 Annual Report 02
Fig. 1: Quantum state transfer and retrieval: we consider a cavity magnomechanical system where a YIG-sphere is placed inside a microwave cavity so that the magnon modes of the sphere interact with the cavity mode via a collective-spin-photon coupling, and also with the deformation phonon modes via a magnetostrictive force. We show the a) Schematic b) pulse control, c) transfer of populations, and d) initial and retrieved Wigner functions.

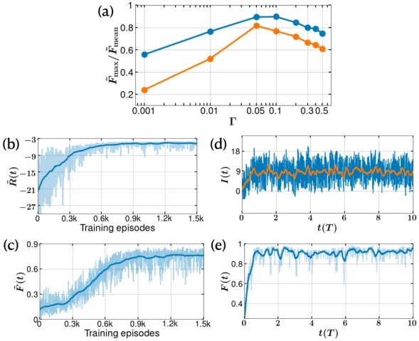
3.2 Measurement Based Feedback Quantum Control With Deep Reinforcement Learning

Sangkha Borah, Bijita Sarma, Michael Kewming, Gerard J. Milburn, Jason Twamley, “Measurement Based Feedback Quantum Control With Deep Reinforcement Learning”,
arXiv:2104.11856

As the research on quantum communication and computation has progressed rapidly with the goal of achieving the holy grail of quantum computing, quantum state engineering has begun to take on a high profile. Of particular importance are feedback control techniques, in which a physical system subjected to noise is continuously monitored in real time while using measurement information to impart specific driving controls to modulate the system dynamics. Unlike classical systems, measurement control of a quantum mechanical system is challenging. for several reasons. Firstly, the act of continuously observing a quantum system introduces non-linearity within the conditioned dynamics. Secondly, continuous measurement on a quantum system generally alters it, generating measurement-induced noisy dynamics, commonly known as quantum back-action. Finally, applying feedback which is dependent on the noisy measurement current adds further noise into the dynamics. Consequently, a variety of feedback control schemes that work well for classical systems may not for the analogous quantum counterparts.

Closed loop quantum control uses measurement to control the dynamics of a quantum system to achieve either a desired target state or target dynamics. In the case when the quantum Hamiltonian is quadratic in x and p, there are known optimal control techniques to drive the dynamics towards a particular state e.g., the ground state. However, for nonlinear Hamiltonians such control techniques often fail. We apply Deep Reinforcement Learning (DRL), where an artificial neural agent explores and learns to control the quantum evolution of a highly non-linear system (double-well), driving the system towards the ground state with high fidelity. We consider a DRL strategy which is particularly motivated by experiment where the quantum system is continuously but weakly measured. This measurement is then fed back to the neural agent and used for training. We show that the DRL can effectively learn counter-intuitive strategies to cool the system to a nearly-pure `cat' state which has a high overlap fidelity with the true ground state.

qmech FY2020 Annual Report 03
Fig 2. Training of the Machine Learning system to control the quantum state of a continuously measurement quantum dynamical system using feedback. a) the quality of the final state as compared to the target state, b) Machine learning training performance, c) continuous measurement signal, c) increase in fidelity of state preparation as ML learns, d) increase in fidelity of state preparation with time using a trained ML agent.

3.3 Generating nonlinearities from conditional linear operations

Mattias T. Johnsson, Pablo M. Poggi, Marco A. Rodríguez, Rafael N. Alexander, Jason Twamley, “Generating nonlinearities from conditional linear operations, squeezing and measurement for quantum computation and super-Heisenberg sensing”, accepted to Physical Review Research, arXiv: 2101.12364

Large bosonic or continuous variable nonlinearities can have numerous applications, ranging from the generation of cat-states for quantum computation, through to quantum sensing where the sensitivity exceeds Heisenberg scaling inthe resources. We describe a novel protocol where one can effectively generate large Kerr-type nonlinearities via the conditional application of a linear operation on a probe mode by an ancilla mode, followed by a measurement of the ancilla and corrective operation on the probe mode. Our protocol can generate high quality Schrodinger cat states useful for quantum computing and can be used to perform sensing of an unknown rotation or displacement in phase space, with super-Heisenberg scaling in the resources. We describe a potential experimental implementation using atomic ensembles interacting with optical modes via the Faraday effect.

 qmech FY2020 Annual Report 04
Fig 3. Using the quantum circuit for generating higher order nonlinearities to build bosonic cat or compass states. Left column: Wigner functions of target quantum states, Middle column: Achieved Wigner functions at low levels of squeezing, Right column: Wigner functions achieved at higher levels of squeezing.

4. Publications

4.1 Journals

  • Johnsson, M.T., Poggi, P.M., Rodríguez, M.A., Alexander, R.A., Twamley, J.,
    Generating nonlinearities from conditional linear operations, squeezing and measurement for quantum computation and super-Heisenberg sensing,
    Accepted Physical Review Research
  • Sarma, B., Busch, T. & Twamley, J.
    Optomechanical cooling by STIRAP-assisted energy transfer: an alternative route towards the mechanical ground state.
    New J. Phys.22, 103043 (2020).
  • Dolan, B. P., Hunter-McCabe, A. & Twamley, J.
    Shaking photons from the vacuum: Acceleration radiation from vibrating atoms.
    New J. Phys.22, (2020).

4.2 Books and other one-time publications

Nothing to report

4.3 Oral and Poster Presentations

Organised and executing OIST-Minisymposium: zoom conference with over 200 registered attendees:
https://groups.oist.jp/qsensesymp

Monday Feb 1 : Fedor Jelezko - Diamond spin qubits: quantum sensing and photoelectric
readout

Wednesday Feb 3: Thomas Busch - Cavity-enhanced magnetometer using a spinor BoseEinstein condensate

Friday Feb 5: Gabriel Hetet - Spin-mechanics with trapped diamonds

Monday Feb 8: Sile Nic Chormaic - Optical nanofibre applications from atomic physics
through to quantum optics.

Wednesday Feb 10: Hendrick Ulbricht - Probing new physics by levitated mechanical
systems

Friday Feb 12: Yutaka Shikano - Real-time in-vivo thermometry on worms by nitrogen
vacancy center in nanodiamond

Monday Feb 15: Sougato Bose - An experiment for evidencing entanglement via gravity:
its motivation, challenges and related sensing opportunities

Wednesday Feb 17: Yuimaru Kubo - Spin Maser for Quantum Information Technologies

Friday Feb 19: Sabine Wölk - Noisy distributed sensing in the Bayesian regime

Monday Feb 22: Tetsuo Kobayashi - Optically Pumped Magnetometer: Advancements
and Perspectives for Biomagnetic Neuroimaging

Wednesday Feb 24: Jiangfeng Du - Searching for exotic spin-dependent interactions by
NV centers

Monday March 1: Dmitry Budker - Magnetic sensing with NV centers and zero-field NMR

Wednesday March 3: Nobuyuki Matsumoto - Towards quantum sensing with table-top
scale pendulum

Friday March 5: Mutsuko Hatano - Diamond electronics for quantum sensing

Monday March 8: Jason Twamley - Towards quantum sensing using nonlinear quantum
systems

Quantum Software and Information Seminar:
University of Technology Sydney Center for Quantum Software and Information, Aug 4, 2020

Title: Quantum Machines
Online seminar https://www.uts.edu.au/research-and-teaching/our-research/centre-quantum-software-and-information/events/online-seminar-prof-jason-twamley-oist-jpn-mq-aus 
– recorded and online on youtube

Held at the Quantum Machines Unit Poster Session on April 23rd

Opto-magno-mechanical quantum memory
Bijita Sarma, Thomas Busch, Jason Twamley

Levitating Mechanical Resonators
H. Hiyane, P. Romagnoli, J.Downes, J. Twamley

Oscillations of a levitated sphere
I. Sanskriti, D. Kim, M. E. Rosti and J. Twamley

Using teleportation for precision measurement beyond the Heisenberg Limit
MT Johnsson, PM Poggi, MA Rodriguez, RN Alexander, J Twamley

Cavity-Magno-Mechanical Cooling
A. Kani, B. Sarma, and J. Twamley

Towards the motional cooling of a levitated plate
P. Romagnoli, H. Hiyane, S. Borah, J. E. Downes, D. Spence, J. Twamley

Measurement Based Feedback Quantum Control With Deep Reinforcement Learning
Sangkha Borah, Bijita Sarma, Michael Kewming, Gerard J. Milburn, Jason Twamley

Optomechanical cooling surpassing the usual resolved sideband limit
S. Mishra, B. Sarma, J. Twamley

Displacement measurement in optomechanical system with zeptometer precision
T. Iakovleva, B. Sarma, H. Hiyane and J. Twamley

Design Quantum Motors Using Feedback
Yanan Liu, Bijita Sarma, William J. Munro, Jason Twamley

5. Intellectual Property Rights and Other Specific Achievements

Nothing to report

6. Meetings and Events

6.1 Virtual Seminars

1. Prof. Silvia Viola-Kusminskiy, Max-Planck Institute for the Science of Light

qmech FY2020 Annual Report 05

2. Prof. Dalziel Wilson, College of Optical Sciences, University of Arizona

qmech FY2020 Annual Report 06

3. Dr. Maria Fuwa, Research Center for Advanced Science and Technology, University of Tokyo

qmech FY2020 Annual Report 07

4. Prof. Yuta Michimura, Department of Physics, University of Tokyo

qmech FY2020 Annual Report 08

5. Prof. James Millen, Levitated Nanophysics Group, King's College London

qmech FY2020 Annual Report 09

6. Prof. Hiroshi Kawarada, Department of Electronics & Physical Systems and Department of Nanoscience & Nanotechnology, Waseda University

qmech FY2020 Annual Report 10

7.Prof. Peter Hannaford, Optical Sciences Centre, Swinburne University of Technology

qmech FY2020 Annual Report 11

7. Other

7.1 Events at OIST

Poster Session

On April 23rd the Unit organised an outdoor poster session where each member of the Unit, including intern, rotation students, postdoctoral researchers and PI, designed, printed, mounted individual posters. The poster session was held in the courtyard of the Center building and was open to members of other Units. It was treated as a normal poster session at any international conference with PIs/postdocs/students from other Units attending and engaging in lengthy discussions with each poster presenter about their poster. The attendance was very strong and the overall feedback to the Unit members was very positive.

qmech FY2020 Annual Report 12
qmech FY2020 Annual Report 13
qmech FY2020 Annual Report 14

7.2 Community Outreach Activities

Quantum Trivia Quiz

On April 9th the Unit organised an entertaining community outreach activity entitled “Quantum Trivia Quiz”. This was a zoomed “game show” where contestants played an online live quiz which focused on questions related generally to quantum science. The game attracted players from China/Mexico as well as from Okinawa and within OIST, with over 30 online players. The questions were built beforehand by a team of OISTers [Prof Twamley, C. Campbell, M H Hasan, K Menon, P Romagnoli, and M Boubakour], and the live Trivia Quiz was MC’ed by Prof Twamley and C. Campbell.

qmech FY2020 Annual Report 15
Winners: Nico and da Boyz: Nico Fischer, Samuel Cure, 
Hugo Musset and Balashwethan Chockalingam

World Day of Light

On May 16 2022 the Quantum Machine Unit and the Computational Neuroethology Unit (Sam Reiter), worked together with the Community Public Relations section, to host a live video stream over 24 hours of live cuttlefish from the Marine Research Centre in OIST. Cuttlefish have the amazing ability to alter their skin pigmentation at will in complex spatial patterns. The live stream of OIST cephalopods joined many other live stream from around the world to celebrate the science of light which is held every year on May 16, the anniversary of the invention of the laser.

qmech FY2020 Annual Report 16