FY2017 Annual Report

Light-Matter Interactions for Quantum Technologies Unit
Professor Síle Nic Chormaic

Group Photo 2017

Abstract

This year the group continued work related to nanofibre-mediated nonlinear optics in cold atomic systems, particle trapping at the nanoscale and nonlinear optics using whispering gallery resonators. The major outputs are discussed below.   We also continued to contribute to outreach activities through the OSA Student Chapter and a new SPIE Student Chapeter,  and welcomed many young research interns from all around the world to hone their research skills by spending time with us here at OIST.  

1. Staff

Research Staff

  • Dr. Viet Giang Truong, Group Leader/Staff Scientist
  • Dr. Jonathan Ward, Staff Scientist
  • Dr. Yong Yang, Postdoctoral Scholar (until October 2017)
  • Dr. Tridib Ray, Postdoctoral Scholar
  • Dr. Jinjin Du, Postdoctoral Scholar
  • Dr. Xue Han, Postdoctoral Scholar
  • Dr. Fuchuan Lei, Postdoctoral Scholar
  • Dr. Wenfang Li, Postdoctoral Scholar
  • Dr. Georgiy Tkachenko (from July 2017)

Support Staff

  • Ms. Emi Nakamura, Research Unit Administrator
  • Dr. Kristoffer Karlsson, Technician
  • Mr. Metin Ozer, Technician

PhD Students

  • Mr. Thomas Nieddu, OIST PhD student
  • Mr. Simon Peter Mekhail, OIST PhD student
  • Ms. Krishnapriya Subramonian Rajasree, OIST PhD student
  • Mr. Sho Kasumie, OIST PhD student
  • Ms. Cindy Esporlas, OIST PhD student
  • Mr. Ratnesh Gupta, OIST PhD student
  • Mr. Ramgopal Madugani, UCC PhD/OIST special research student (Graduated in May 2017)
  • Mr. Aili Maimaiti, UCC PhD/OIST special research student (Graduated in June 2017)

Visiting Researchers

  • Mr. Aditya Saxena, Visiting Researcher, IIT Kanpur, December 2017-
  • Prof. Alexander Douplik, Ryerson University, February-April 2018

Rotation/Intern Students

  • Maki Maeda, Rotation Student (September-December 2017)
  • Lina Koronfel, Rotation Student (September-December 2017)
  • Christine Guzman, Rotation Student (May-August 2017)
  • Masakazu Taira, Rotation Student (January 2016-April 2017)
  • Chris Campbell, Rotation Student (January2016-April 2017)
  • Kalyani Thakur, Research Intern, Amity University, India (January-March 2018)
  • Hassan Kazi, Research Intern, Ruhr University Bochum, Germany, (October 2017-March 2018)
  • Anjana Krishnadas, Research Intern, IISER-Kolkata, India (September2017-March 2018)
  • Lewis Bartos Picard, Research Intern, Durham University, UK (July-September 2017)
  • Joanna Lis, Research Intern, UCL, UK (July-September 2017)
  • Mayuri Kawale, Research Intern, IISER-Kolkata, India (May-July 2017)
  • Prince Sunil Thomas, Research Intern, MSc Graduate UCD, Ireland (January-May 2017)
  • Haritha Kambalathmana, Research Intern, CUSAT, Cohin, India (January-May 2017)
  • Rafino Murphy, Research Intern, BSc Graduate NUI Maynooth, Ireland (October 2016-April 2017)

2. Collaborations

  • Theme: Nonlinear materials for WGM resonators and packaged WGM devices
    • Type of collaboration: Joint research
    • Researchers:
      • P. Wang and H. Zhao (Harbin Engineering University, China)
         
  • Theme: WGM-based photothermal imaging
    • Type of collaboration: Joint research
    • Researchers:
      • Professor R. Goldsmith (University of Wisconsin, Madison, USA)
  • Theme: Particle trapping using WGM resonators
    • Type of collaboration: Joint research
    • Researchers:
      • Y.-F. Xiao (Peking University, China)
  • Theme: Multifibre probes for imaging
    • Type of collaboration: Joint research
    • Researchers:
      • Alexandre Douplik (Ryerson University, Canada)
  • Theme: Two-photon processes for atomic frequency measurements 
    • Type of collaboration: Joint research
    • Researchers:
      • Ritayan Roy (University of Sussex, England)
  • Theme: Plasmonic structures on optical nanofibres for atom trapping
    • Type of collaboration: Joint research
    • Researchers:
      • F. Petruccione, M. Tame and S. Dlamini (University of Kwazulu-Natal, South Africa)
  • Theme: Deep brain imaging by means of fibre micro-endoscopy
    • Type of collaboration: Joint research
    • Researchers:
      • G. Arbuthnott (Brain Mechanisms for Behaviour Unit, OIST)
  • Theme: Atoms and optical nanofibres
    • Type of collaboration: Joint research
    • Researchers:
      • T. Busch and F. Le Kien (Quantum Systems Unit, OIST)
      • M. Petrov (ITMO, St. Petersburg, Russia)

3. Activities and Findings

3.1 Neutral Atoms for Quantum Technologies Group

3.1.1 Optical nanofibre cavity for enhanced photon emission and coupling efficiency from single quantum emitters

Optical nanofibres with subwavelength diameter are of great interest for research in quantum optics because they have the potential to provide strong coupling between light and matter via the small optical mode volume and over long distances of the evanescent light field. The interaction strength between light and matter can be further increased by forming a cavity at the waist of a nanofibre. Following our previous results on the fabrication of an optical nanofibre cavity [Appl. Phys. Lett. 110, 253102 (2017)], we presented a novel approach to enhance the spontaneous emission rate of single quantum emitters in an optical nanofibre-based cavity by introducing a narrow air-filled groove into the cavity, see Fig. 1. By calculation, it shows that the Purcell factor for single quantum emitters located inside the nanofibre-based cavity can reach ~ 90 (see Fig. 2).  Moreover, the coupling efficiency of single quantum emitters into the guided mode of this nanofibre-based cavity can reach up to ~80% with only 35 cavity-grating periods. This new system has the potential to act as an all-fibre platform to realise efficient coupling of photons from single emitters into an optical fibre for quantum information applications.

FY17 Figure 1

Fig. 1: (a) Electric field distribution along the nanofibre for y-input polarization. (b) The field distribution near the groove. Two locations of single emitters are considered: on the surface and in the groove. (c) The normalised transmission of the cavity for x- (red curve) and y-(black curve) polarised input mode.

FY17 Figure 2

Fig. 2: Coupling efficiency β and the Purcell factor F for different emitter locations of the cavity along extending direction of the groove at d = 50nm.

3.1.2 Optical nanofibres and cold atoms 

We studied theoretically the spontaneous emission from a rubidium atom into the fundamental and higher-order modes of a vacuum-clad ultrathin optical fibre. We showed that the spontaneous emission rate depends on the magnetic sublevel, the type of modes, the orientation of the quantization axis, the position of the atom, and the fibre radius. We found that the rate of spontaneous emission into the TE modes is always symmetric with respect to the propagation directions. Directional asymmetry of spontaneous emission into other modes may appear when the quantisation axis does not lie in the meridional plane containing the position of the atom. When the fibre radius is in the range from 330 to 450 nm, the spontaneous emission from an atom on the fibre surface into the HE21 modes is stronger than into the HE11, TE01, and TM01 modes. At the cutoff for higher-order modes, the rates of spontaneous emission into guided and radiation modes undergo steep variations, which are caused by the changes in the mode structure. We showed that the spontaneous emission from the upper level of the cyclic transition into the TM modes is unidirectional when the quantisation axis lies at an appropriate azimuthal angle in the fibre transverse plane.

We also investigated the electric quadrupole interaction of an alkali-metal atom with guided light in the fundamental and higher-order modes of a vacuum-clad ultrathin optical fibre. We calculated the quadrupole Rabi frequency, the quadrupole oscillator strength, and their enhancement factors. In the example of a 87Rb atom, we studied the dependencies of the quadrupole Rabi frequency on the quantum numbers of the transition, the mode type, the phase circulation direction, the propagation direction, the orientation of the quantisation axis, the position of the atom, and the fibre radius. We found that the root-mean-square (rms) quadrupole Rabi frequency reduces quickly but the quadrupole oscillator strength varies slowly with increasing radial distance. We showed that the enhancement factors of the rms Rabi frequency and the oscillator strength do not depend on any characteristics of the internal atomic states except for the atomic transition frequency. The enhancement factor of the oscillator strength can be significant even when the atom is far away from the fibre We showed that, in the case where the atom is positioned on the fiber surface, the oscillator strength for the quasicircularly polarised fundamental mode HE11 has a local minimum at the fibre radius a≃107 nm, and is larger than that for quasicircularly polarised higher-order hybrid modes, transverse electric modes, and transverse magnetic modes in the region a<498.2 nm.

3.2 Optical Cavities and Sensing Group

3.2.1 Optical nanopositioner 

The microcavity and sensing group continues to explore novel microcavity solutions and investigate the optical properties of whispering gallery resonators for fundamental optics and sensing.  One technical issue with whispering gallery resonators is the control of the coupling gap between the resonator and the waveguide coupler. This coupling is usually controlled by a 3D nanopositioning stage, which is large and cannot be integrated easily onto a chip scale structure. We developed a novel, all-optical fibre based nanopostioning method that is formed on the stem of a glass microsphere whispering gallery resonator. The sphere and stem are created from a standard optical fibre;  however, the stem is formed in such a way that light traveling down the fibre to the stem is focussed to one side. This focussed light heats the stem causing a deflection thus allowing the sphere to move relative to the waveguide coupler, see Fig. 3. Microcavity displacements up to 3.5 μm and nanometer scale sensitivities varying from 2.8 – 17 nm/mW were achieved with linear dependence on laser power. This is the first all optical nanopositioning system for microstructures and could have applications for on-chip actuators.

FY17 Figure 3

Fig. 3: Left: schematics of  the all-fibre optical nanopositioning system. Right: transformation of whispering gallery band stop spectrum to a band pass spectrum.

3.2.2 WGM-based photonics applications

Tapered fibres with diameters ranging from 1 to 4 μm are widely used to excite the whispering gallery modes in microresonators. Typically, the transmission spectrum of a whispering gallery cavity coupled to a waveguide around a resonance assumes a Lorentzian dip morphology due to resonant absorption of the light within the cavity. This narrow Lorentzian profile has long been proposed as an ultra-narrow linewidth bandstop filter.  However, using such a resonator as an efficient bandpass filter has not been explored fully do to the non-intuitive nature of such a filter design in whispering gallery structures. We demonstrated that the transmission spectra of a whispering gallery cavity coupled with an ultrathin fibre (500–700 nm) may exhibit both Lorentzian dips and peaks, depending on the gap between the fibre and the microcavity. This implies the system could be implemented within a bandpass filter framework.

Finally, we showed, that in a laser system, two optical pumps may contribute both constructively and destructively to the lasing generation depending on their powers and wavelengths;  thus the lasing can be completely suppressed when both of the pumps are strong. The observations were qualitatively explained by our simple theoretical model, which reveals that these phenomena originate from the diversity of the energy levels in the gain medium. Aside from its use for Yb:Er co-doped lasers, these phenomena should exist in lasers with many other gain media. This phenomenon of pump-induced lasing suppression may lead to new methods for controlling lasing and may add new insights into laser operation.

3.3 NanoBioOptics Group

3.3.1 Angular momentum of light guided in optical ultrathin fibres

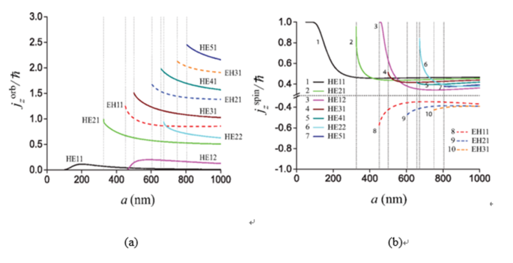
We theoretically presented the angular momentum properties of light guided in the higher-order modes of optical ultrathin fibres (Fig. 4).1 We discussed the possibility of generating the LP higher-order mode family in a microfibre system, which implies the co-propagation of the true TE0m, TM0m and hybrid HElm modes. Spin and orbital angular momenta of the light were calculated for these modes. We found that the angular momentum of the circularly polarised guided higher order HElm modes can potentially provide an additional degree of freedom in particle trapping and manipulation at the fibre surface. In our earlier experimental work, we demonstrated the transfer of angular momentum of the first higher-order LP11 mode group to trap and monitor dielectric microparticles around the fibre waist region.2-4 This work (theory and experiment) is a first step towards the investigation of light-induced particle motion and can provide arbitrary spin and orbital information of evanescent fields in ultrathin optical fibres.

FY17 Figure 4

Fig. 4: (a) Orbital and (b) spin angular momenta per photon as a function of the fiber radius a for quasicircularly polarized hybrid modes.

3.3.2. Efficient micro and nanoparticle trapping in near-field optics of plasmonic tweezers

In order to trap particles in the Rayleigh regime, the particle size should be much smaller than the trapping wavelength. We used a plasmonic nanotweezers based on an array of asymmetric annular apertures, fabricated on a 50 nm gold thin film. Using this device, particles with sizes ranging from 30 nm to 1 mm were trapped and transported along the array surface while keeping the maximum intensity at the focus of the incident beam below 1.5 mW. μm-2.5 We have also observed self-induced back-action. The observed result demonstrated that this plasmonic device could be integrated into a lab-on-a-chip system for trapping and transportation of both micro- and nanoparticles. The device exhibits resonance tunability and improved trap stiffness and detection sensitivity over conventional optical tweezers.

References:

  1. Fam Le Kien, T. Busch, V.G. Truong, and S. Nic Chormaic, Higher-order modes of vacuum-clad ultrathin optical fibres, Phys. Rev. A 96, 023853 (2017)
  2. A. Maimaiti, V.G. Truong, M. Sergides, I. Gusachenko and S. Nic Chormaic, Higher order microfibre modes for dielectric particle trapping and propulsion, Sci. Rep.  5, 909077, (2015).
  3. A. Maimaiti, D. Holzmann, V. G. Truong, H. Ritsch and S. Nic Chormaic, Nonlinear force dependence on optically bound micro-particle arrays in the evanescent fields of fundamental and higher order microfibre modes, Sci. Rep.  6, 30131, (2016).
  4. A Maimaiti, VG Truong and S Nic Chormaic, Optical binding of particles in the evanescent field of microfiber modes, Proc. SPIE 10252, Optical Manipulation Conference, 102520T (April 18, 2017).
  5. X Han, VG Truong and S Nic Chormaic, Nano-ring arrays for sub-micron particle trapping
    Proc. SPIE 10252, Optical Manipulation Conference, 102520R (April 18, 2017)

4. Publications

4.1 Journals

  1. Maimaiti, A., Truong, V. G. & Nic Chormaic, S.  Optical binding of particles in the evanescent field of microfiber modes. SPIE Proceedings, Optical Manipulation Conference 10252, 1-2, doi:http://dx.doi.org/10.1117/12.2275534 (2017).
  2. Ward, J., Kasumie, S., Yang, Y., Lei, F., Madugani, R. & Nic Chormaic, S.  Hollow whispering gallery resonators. Proc. SPIE Laser Resonators, Microresonators, and Beam Control XX 10518, 1-6, doi:http://dx.doi.org/10.1117/12.2285326 (2018).
  3. Murphy, R. M. J., Lei, F., Ward, J., Yang, Y. & Nic Chormaic, S.  All-optical nanopositioning of high-Q silica microspheres. Optics Express 25, 13101-13106, doi:https://doi.org/10.1364/OE.25.013101 (2017).
  4. Dlamini, S. G., Francis, J. T., Zhang, X., Qzdemir, S. K., Nic Chormaic, S., Petruccione, F. & Tame, M. S.  Probing Decoherence in Plasmonic Waveguides in the Quantum Regime. Phys. Rev. Applied 9, 1-10, doi:http://dx.doi.org/10.1103/PhysRevApplied.9.024003 (2018).
  5. Madugani, R., Kasumie, S., Yang, Y., Ward, J., Lei, F. & Nic Chormaic, S.  Whispering gallery resonators for optical sensing SPIE Proceedings, 25th International Conference on Optical Fiber Sensors 10323, 1-4, doi:http://dx.doi.org/10.1117/12.2272457 (2017).
  6. Han, X., Truong, V. G. & Nic Chormaic, S.  Nano-ring arrays for sub-micron particle trapping SPIE Proceedings, Optical Manipulation Conference 10252, 1-2, doi:http://dx.doi.org/10.1117/12.2270524 (2017).
  7. Li, W., Du, j., Truong, V. G. & Nic Chormaic, S.  Optical nanofiber-based cavity induced by periodic air-nanohole arrays Applied Physics Letters 110, 253102-253101-253104, doi:http://dx.doi.org/10.1063/1.4986789 (2017).
  8. Kien, F. L., Busch, T., Truong, V. G. & Nic Chormaic, S.  Higher-order modes of vacuum-clad ultrathin optical fibers. Phys. Rev. A 96, 1-22, doi:10.1103/PhysRevA.96.023835 (2017).
  9. Lei, F., Yang, Y., Ward, J. & Nic Chormaic, S.  Pump induced lasing suppression in Yb:Er-doped microlasers. Optics Express 25, 24679-24689, doi:https://doi.org/10.1364/OE.25.024679 (2017).
  10. Fang, Z., Nic Chormaic, S., Wang, S., Wang, X., Yu, J., Jiang, Y., Qiu, J. & Wang, P.  Bismuth-doped glass microsphere lasers Photonics Research 5, 740-744, doi:https://doi.org/10.1364/PRJ.5.000740 (2017).
  11. Kasumie, S., Yang, Y., Ward, J. & Nic Chormaic, S.  Toward Visible Frequency Comb Generation using a Hollow WGM Resonator. Review of Laser Engineering 46, 92-96, doi:N/A (2018).
  12. Nic Chormaic, S.  Challenging a Culture of Inequality. Optics & Photonics News 28, 18-20, doi:N/A (2017).
  13. Kien, F. L., Busch, T., Truong, V. G. & Nic Chormaic, S.  Chirality of light in hybrid modes of vacuum-clad ultrathin optical fibers. Communications in Physics 27, 23-35, doi:DOI:10.15625/0868-3166/27/1/9240 (2017).
  14. Kien, F. L., Ray, T., Nieddu, t., Busch, T. & Nic Chormaic, S.  Enhancement of the quadrupole interaction of an atom with the guided light of an ultrathin optical fiber. Physical Review A 97, 1-14, doi:http://dx.doi.org/10.1103/PhysRevA.97.013821 (2018).
  15. Lei, F., Murphy, R. M. J., Ward, J., Yang, Y. & Nic Chormaic, S.  Bandpass transmission spectra of a whispering gallery microcavity coupled to an ultrathin fiber. Photonics Research 5, 362-366, doi:https://doi.org/10.1364/PRJ.5.000362 (2017).
  16. Ward, J., Yang, Y. & Nic Chormaic, S.  Nanoparticle trapping and control in a hollow whispering gallery resonator. SPIE Proceedings, Optical Manipulation Conference 10252, 1-3, doi:http://dx.doi.org/10.1117/12.2269421 (2017).
  17. Kien, F. L., Hejazi, S. S. S., Busch, T., Truong, V. G. & Nic Chormaic, S.  Channeling of spontaneous emission from an atom into the fundamental and higher-order modes of a vacuum-clad ultrathin optical fiber. Physical Review A 96, 1-19, doi:10.1103/PhysRevA.96.043859 (2017).

4.2 Books and other one-time publications

  1. Yang, Y., Madugani, R., Kasumie, S., Ward, J. & Nic Chormaic, S.  Cavity ring-up spectroscopy for dissipative and dispersive sensing in a whispering gallery mode resonator, in Exploring the World with the Laser,   (ed Dieter; Udem Meschede, Thomas; Esslinger, Tilman),  pages 629-646, Springer International Publishing (2018).

4.3 Oral and Poster Presentations

  1. Nic Chormaic, S.  Introduction to tapered optical fibres (invited lecture I).  IEEE Sensors Council Summer School: Optical Fibre Sensors, Limerick, Ireland 29 June (2017).
  2. Nic Chormaic, S.  Introduction to whispering gallery resonator sensors (invited lecture II).  IEEE Sensors Council Summer School: Optical Fibre Sensors, Limerick, Ireland 29 June (2017).
  3. Esporlas, C. L., Maimaiti, A., Truong, V. G. & Nic Chormaic, S.  Higher order modes of ultrathin optical fibers for particle manipulation (invited talk): Frontiers in Optics 2017, Washington DC, USA 20 September (2017).
  4. Han, X., Truong, V. G. & Nic Chormaic, S.  Nano-ring arrays for submicron particle trapping (contributed talk):  OMC'17, Yokohama, Japan. 21 April (2017).
  5. Kasumie, S., Lei, F., Madugani, R., Ward, J., Yang, Y. & Nic Chormaic, S.  Hollow whispering gallery resonators (invited talk): LASE SPIE Photonics West 2018, San Francisco, USA 26 Jan (2018).
  6. Kasumie, S., Lei, F., Yang, Y., Ward, J., Madugani, R. & Nic Chormaic, S.  Engineering glass whispering gallery resonators for sensing and photonics applications (invited talk): WE-Heraeus-Seminar: WOMA 2017, Bad Honnef, Germany 06 November (2017).
  7. Kasumie, S., Madugani, R., Yang, Y., Ward, J. & Nic Chormaic, S.  Cavity ring-up spectroscopy for sensing in a whispering gallery mode resonator (invited talk): CLEO 2017, San Jose, USA, 18 May (2017).
  8. Lei, F.  Bandpass transmission spectra of a whispering-gallery microcavity coupled to an ultrathin fiber (contributed talk): ONNA2017, Okinawa, Japan. 6 June (2017).
  9. Li, W., Du, J., Truong, V. G. & Nic Chormaic, S.  A compact optical nanofiber cavity combining a photonic crystal and a Bragg grating structure (contributed talk): The 24th Congress of the International Commission for Optics, Tokyo, Japan 25 August (2017).
  10. Li, W., Du, J., Truong, V. G. & Nic Chormaic, S.  Optical nanofiber-based cavity with periodic air-nanohole arrays (contributed talk): ONNA2017, Okinawa, Japan. 7 June (2017).
  11. Madugani, R., Kasumie, S., Yang, Y., Ward, J., Lei, F. & Nic Chormaic, S.  Whispering gallery resonators for optical sensing (invited talk): 25th International Conference on Optical Fiber Sensors, Jeju Island, Korea. 27 April (2017).
  12. Maimaiti, A., Truong, V. G. & Nic Chormaic, S.  Optical binding of particles in the evanescent field of microfiber modes (contributed talk): OMC'17, Yokohama, Japan. 21 April (2017).
  13. Mekhail, S. P., Ward, J., Arbuthnott, G. & Nic Chormaic, S.  Fibre-bundle-basis compressive sensing for wide field microendoscopy (contributed talk). European Conference on Biomedical Optics, Munich, Germany 29 June (2017).
  14. Nic Chormaic, S.   Optical manipulation of micron and submicron particles (invited talk): JSAP 2nd Photonics Session, Naha, Okinawa, Japan 1 Dec (2017).
  15. Nic Chormaic, S.  Particle trapping and manipulation using near-field optics (invited talk):  ANZCOP 2017, Queenstown, New Zealand 06 Dec (2017).
  16. Nic Chormaic, S., Daly, M., Han, X., Maimaiti, A. & Troung, V. G.  Trapping particles using near-field optics (invited talk). OSA Biomedical Optics & Photonics Congress: Optics in the Life Sciences.  Topical Meeting on Optical Trapping Applications, San Diego, USA.  04 April (2017).
  17. Nic Chormaic, S., Daly, M., Maimaiti, A., Han, X., Gurkan-Ozer, A., Esporlas, C. L. & Truong, V. G.  Particle trapping and manipulation using near-field optics (invited talk): PIERS 2017, St Petersburg, Russia, 23 May (2017).
  18. Nieddu, T., Subramonian Rajasree, K. P., Gupta, R. K., Ray, T., Du, J., Karlsson, k., Langbecker, M. & Nic Chormaic, S.  Ultrathin optical fibres for neutral cold atom probing and manipulation (invited talk).  ICTS Open Quantum Systems Workshop, Bangalore, India 18 July (2017).
  19. Nieddu, T., Subramonian Rajasree, K. P., Ray, T., Du, J., Gupta, R. K., Karlsson, k. & Nic Chormaic, S.  Optical nanofibres as probes for cold atomic ensembles (contributed talk): QuAMP 2017, Glasgow, Scotland 05 September (2017).
  20. Ray, T., Subramonian Rajasree, K. P., Langbecker, M., Karlsson, K. & Nic Chormaic, S.  Formation of Rydberg atoms at submicron distance from the dielectric surface of an optical nanofibre (contributed talk): ONNA2017, Okinawa, Japan. 8 June (2017).
  21. Subramonian Rajasree, K. P., Ray, T., Langbecker, M., Karlsson, K. & Nic Chormaic, S.  Rydberg atom formation at submicron distances from optical nanofibres (contributed talk): Photonics Ireland 2017, Galway, Ireland 13 September (2017).
  22. Truong, V. G., Maimaiti, A., Esporlas, C. L., Kien, F. L., Busch, T. & Nic Chormaic, S.  Angular momentum of guided modes in ultrathin optical fiber: Evolution and Applications (contributed talk): Lasers and Electro-Optics Pacific Rim (CLEO-PR), Singapore 3 August (2017).
  23. Truong, V. G., Maimaiti, A., Han, X., Esporlas, C. L., Thomas, P. S., Haritha, K., Nic Chormaic, S., Kien, F. L. & Busch, T.  Efficient particle trapping in near-field optics of ultrathin fibres and plasmonic tweezers (invited talk): Workshop on Optical Trapping Techniques and Structured Light, Okinawa, Japan. 23 April (2017).
  24. Ward, J., Yang, Y. & Nic Chormaic, S.  Quasi-droplet Whispering Gallery Resonator for Nanoparticle Trapping and Control (contributed talk): 7th EOS Topical meeting on Optical Microsystems (OµS’17), Anacapri, Italy 12 September (2017).
  25. Ward, J., Yang, Y. & Nic Chormaic, S.  Nanoparticle trapping and control in a hollow whispering gallery resonator (contributed talk): OMC'17, Yokohama, Japan. 21 April (2017).
  26. Du, J., Nieddu, T., Li, W. & Nic Chormaic, S.  Optical nanofibers as an efficient tool for enhanced light-matter interaction (poster): Quantum Optics 2018, Obergurgl, Austria 26 Feb (2018).
  27. Du, J., Nieddu, T. & Nic Chormaic, S.  An efficient light-atom interface for studying the interaction between cold atoms and multimodes of an ultrathin optical fiber (poster): The 24th Congress of the International Commission for Optics, Tokyo, Japan 22 August (2017).
  28. Du, J., Nieddu, T. & Nic Chormaic, S.  Atom-light interactions in a few-mode optical nanofiber (poster)NIM Conference on Resonator QED, Munich, Germany 29 August (2017).
  29. Esporlas, C. L., Maimaiti, A., Troung, V. G. & Nic Chormaic, S.  Rotational motion of trapped microspheres near ultrathin optical nanofibers (poster): JSAP 2nd Photonics Session, Naha, Okinawa, Japan 1 Dec (2017).
  30. Esporlas, C. L., Maimaiti, A., Truong, V. G. & Nic Chormaic, S.  Rotational motion of trapped microspheres optical nanofibres (poster): Photonics Ireland 2017, Galway, Ireland 13 September (2017).
  31. Esporlas, C. L., Maimaiti, A., Truong, V. G. & Nic Chormaic, S.  Rotational motion of trapped microspheres around ultrathin optical fibers (poster): ONNA2017, Okinawa, Japan. 5 June (2017).
  32. Gupta, R. K., Esporlas, C. L., Ward, J. & Nic Chormaic, S.  Towards: Characterizing the light-matter interactions of Rubidium vapour in a microbubble-type WGM resonator (poster): Gender Summit 10 – Satellite Conference in Okinawa, Japan. 29 May (2017).
  33. Gurkan-Ozer, A., Truong, V. G., Elisseeva, O. & Nic Chormaic, S.  Multilayer Nanoring Devices for NIR Plasmonic Biosensing (poster): Gender Summit 10 – Satellite Conference in Okinawa, Japan. 29 May (2017).
  34. Han, X., Troung, V. G. & Nic Chormaic, S.  X Han, VG Truong and S Nic Chormaic. Plasmonic tweezers for micro- and nano-particle trapping (poster): Quantum Nanophotonics, Monte Verita, Switzerland 21 August (2017).
  35. Han, X., Troung, V. G. & Nic Chormaic, S.  Asymmetric Annular Aperture Plasmonic Arrays for Particle Trapping (poster) : ONNA2017, Okinawa, Japan. 5 June (2017).
  36. Han, X., Truong, V. G. & Nic Chormaic, S.  Plasmonic Nanotweezers Based on Nanoring Structures for Micro- and Nanoparticle Trapping (poster): Gender Summit 10 – Satellite Conference in Okinawa, Japan. 29 May (2017).
  37. Karlsson, K., Daly, M., Truong, V. G. & Nic Chormaic, S.  Particle trapping and detection using near-field optics of an ultrathin optical fiber integrated with nanodevices (poster): ONNA2017, Okinawa, Japan. 5 June (2017).
  38. Karlsson, K., Subramonian Rajasree, K., Ray, T. & Nic Chormaic, S.  Formation of Rydberg atoms at submicron distance from the dielectric surface of an optical nanofiber (poster): WE-Heraeus-Seminar: Longrange Interactions, Bad Honnef, Germany 27 October (2017).
  39. Kasumie, S.  Dissipative and dispersive optomechanical interaction in a coupled-cavity system (poster):CQD 2017, Okinawa, Japan 28 September (2017).
  40. Kasumie, S., Yang, Y., Madugani, R. & Nic Chormaic, S.  Dissipative and dispersive optomechanical interaction in a coupled-cavity system (poster): Quantum Nanophotonics, Monte Verita, Switzerland 21 August (2017).
  41. Kasumie, S., Yang, Y., Madugani, R. & Nic Chormaic, S.  Dissipative and dispersive optomechanical interaction in a coupled-cavity system (poster): ONNA2017, Okinawa, Japan. 5 June (2017).
  42. Kasumie, S., Yang, Y. & Nic Chormaic, S.  Visible Frequency Comb in a Silica Microbubble Resonator (poster): WE-Heraeus-Seminar: WOMA 2017, Germany 06 November (2017).
  43. Krishnadas, A.  Coherence Properties of photoluminescence of rare earth doped nanoparticles (poster): JSAP 2nd Photonics Session, Naha, Okinawa, Japan 1 Dec (2017).
  44. Kumar Gupta, R., Du, J., Nieddu, T. & Nic Chormaic, S.  Generation of nonclassically correlated photon-pairs in an optical nanofibre based light-matter interface (poster) : Quantum Optics 2018, Obergurgl, Austria 26 Feb (2018).
  45. Li, W.  Optical nanofiber-based cavity induced by periodic air-nanohole arrays (poster): CQD 2017, Okinawa, Japan 28 September (2017).
  46. Li, W., Du, j., Truong, V. G. & Nic Chormaic, S.  Optical nanofiber-based cavity induced by periodic air-nanohole arrays (poster): NIM Conference on Resonator QED, Munich, Germany 29 August (2017).
  47. Li, W., Du, J., Truong, V. G. & Nic Chormaic, S.  A compact optical nanofiber cavity for enhanced light-matter interactions (poster): Gender Summit 10 – Satellite Conference in Okinawa, Japan. 29 May (2017).
  48. Lis, J., Ward, J. & Nic Chormaic, S.  Optomechanics using quasi-droplet resonators (poster): CQD 2017, Okinawa, Japan 28 September (2017).
  49. Maeda, M., Ward, J. & Nic Chormaic, S.  Towards Rb Absorption Spectroscopy in Microbubble (poster): Predoctoral School on Nano & Quantum Optics, Les Houches, France 31 October (JSPS KAKENHI Grant Number JP16K17532) (2017).
  50. Maimaiti, A., Truong, V. G., Kien, F. L. & Nic Chormaic, S.  Experimental observation of negative azimuthal force in the evanescent field of a tapered fibre (poster): ONNA2017, Okinawa, Japan. 5 June (2017).
  51. Mekhail, S. P., Arbuthnott, G. & Nic Chormaic, S.  Fibre-Bundle-Basis Compressive Sensing for Image Reconstruction Naha, Okinawa (2017).
  52. Mekhail, S. P., Ward, J., Arbuthnott, G. & Nic Chormaic, S.  Fibre-Bundle-Basis Compressive Sensing (poster): ONNA2017, Okinawa, Japan. 5 June (2017).
  53. Mekhail, S. P., Arbuthnott, G. & Nic Chormaic, S.  Fibre-bundle-basis compressive sensing for image reconstruction (poster): JSAP 2nd Photonics Session, Naha, Okinawa, Japan 1 Dec (2017).
  54. Murphy, R. M. J., Lei, F., Ward, J., Yang, Y. & Nic Chormaic, S.  All optical nanopositioning of high-Q microspheres (poster): ONNA2017, Okinawa, Japan. 6 June (2017).
  55. Nic Chormaic, S.  Rydberg atom formation near an optical nanofiber (poster): GRC Atomic Physics, Newport, USA.  15&16 June (2017).
  56. Nieddu, T.  Towards orbital angular momentum transfer from light to cold atoms using selectively excited higher order modes of an optical nanofiber (poster): CQD 2017, Okinawa, Japan 28 September (2017).
  57. Nieddu, T., Du, J. & Nic Chormaic, S.  Interaction between cold atoms and selectively excited higher order modes of an ultrathin optical fiber (poster): YAO2017, Paris, France 19 July (2017).
  58. Nieddu, T., Du, J. & Nic Chormaic, S.  Interaction between cold atoms and selectively excited higher order modes of an ultrathin optical fiber (poster): ONNA2017, Okinawa, Japan. 6 June (2017).
  59. Nieddu, T., Du, J. & Nic Chormaic, S.  Selective excitation of higher order nanofiber modes and their interaction with cold atoms (poster): Gender Summit 10 – Satellite Conference in Okinawa, Japan. 29 May (2017).
  60. Nieddu, T., Du, J., Ray, T. & Nic Chormaic, S.  Towards orbital angular momentum transfer from light to cold atoms using selectively excited higher order modes of an optical nanofiber (poster): ICOAM 2017, Anacapri, Italy 19 September (2017).
  61. Nieddu, T. & Nic Chormaic, S.  Towards orbital angular momentum transfer from light to cold atoms using selectively excited higher order modes of an optical nanofiber (poster): Photonics Ireland 2017, Galway, Ireland 13 September (2017).
  62. Picard, L., Ray, T. & Nic Chormaic, S.  Van der Waals interaction of Rydberg atoms with a dielectric surface: Implications for atoms near an optical nanofibre (poster):  CQD 2017, Okinawa, Japan 28 September (2017).
  63. Subramonian Rajasree, K. P.  Cold Rydberg atoms near an Optical nanofibre (poster): Atomic Physics 2017, Dresden, Germany 27 November (2017).
  64. Subramonian Rajasree, K. P.  Rydberg atoms near optical nanofibre (poster): CQD 2017, Okinawa, Japan 28 September (2017).
  65. Subramonian Rajasree, K. P.  Cold Rydberg atom formation near an optical nanofibre (poster): ONNA2017, Okinawa, Japan. 6 June (2017).
  66. Subramonian Rajasree, K. P., Ray, T., Langbecker, M., Karlsson, K. & Nic Chormaic, S.  Cold Rydberg atom formation near an optical nanofibre (poster): YAO2017, Paris, France 19 July (2017).
  67. Subramonian Rajasree, K. P., Ray, T., Langbecker, M., Karlsson, K. & Nic Chormaic, S.  Cold Rydberg Atoms near an Optical Nanofiber (poster): Gender Summit 10 – Satellite Conference in Okinawa, Japan. 29 May (2017).
  68. Subramonian Rajasree, K. P., Ray, T. & Nic Chormaic, S.  Cold Rydberg atoms near an optical nanofibre (poster): Photonics Ireland 2017, Galway, Ireland 13 September (2017).
  69. Tkachenko, G., Kazi, M. H., Han, X., Truong, V. G. & Nic Chormaic, S.  Tailoring plasmonic nanoring arrays for nanoparticle detection (poster): Nanolight, Benasque, Spain 14 March (2018).
  70. Truong, V. G., Maimaiti, A., Esporlas, C. L. & Nic Chormaic, S.  Particle trapping in the evanescent field of an ultrathin optical fiber (poster): ONNA2017, Okinawa, Japan. 6 June (2017).
  71. Ward, J.  Nanoparticle detection and trapping in a hollow whispering gallery resonator (poster): ONNA2017, Okinawa, Japan. 6 June (2017).
  72. Yang, Y., Madugani, R., Kasumie, S., Ward, J. & Nic Chormaic, S.  Micro pendulum optomechanical response coupled to the tunable whispering gallery mode resonators (poster): ONNA2017, Okinawa, Japan. 5 June (2017).
  73. Lei, F., Ward, J., Yang, Y. & Nic Chormaic, S.   Laser dynamics and its applications for mode control in whispering gallery mode resonators (seminar): Tanabe Lab, Keio University, Yokohama, Japan 07 November (2017).
  74. Li, W., Du, J., Truong, V. G. & Nic Chormaic, S.  Optical nanofiber-based cavity induced by periodic air-nanohole arrays for enhanced light-matter interactions (seminar): Takeuchi Lab, Kyoto University, Kyoto, Japan 07 November (2017).
  75. Nic Chormaic, S.   Nonlinear optics and Rydberg atom generation using an optical nanofibre embedded in a Rb-87 MOT (seminar).  Raman Research Institute, Bangalore, India 19 July (2017).
  76. Nic Chormaic, S.  Ultratthin optical fibre research at OIST Graduate University (seminar): Institut Néel, Grenoble, France 15 March (2018).
  77. Subramonian Rajasree, K. P.  Cold Rydberg atoms near optical nanofibres (seminar): OIST Internal Seminar Series, Okinawa, Japan. 24 May (2017).
  78. Truong, V. G., Kien, F. L., Busch, T. & Nic Chormaic, S.  Particle trapping in near-field optics of ultrathin fibres and plasmonic tweezers (seminar): Division of Physics and Applied Physics (PAP), Nanyang Technological University, Singapore 7 August (2017).
  79. Truong, V. G. & Nic Chormaic, S.  Particle Trapping in Near-Field Optics of Ultrathin fibres and Plasmonic Tweezers (seminar): Institut Lumière Matière, Lyon, France 16 March (2018).
  80. Ward, J.  Whispering gallery resonators for sensing, nonlinear optics and other things (seminar): Internal Seminar at the group of Prof. Gualtiero Nunzi Conti at the Institute of Applied Physics “Nello Carrara” (IFAC-CNR), Florence, Italy 08 September (2017).

5. Intellectual Property Rights and Other Specific Achievements

Nothing to report

6. Meetings and Events

6.1 Seminar

  • Title: Graphene on Transparent Dielectric Substrates for Photonics Applications
  • Date: February 27, 2018
  • Venue: B503, Centre Building, OIST Campus
  • Speaker: Dr Priscila Romagnoli
  • Title: Light-matter interaction and optical forces mediated by surface guiding waves: the effects of spin-locking
  • Date: January 16, 2018
  • Venue: C700, Lab 3, OIST Campus
  • Speaker: Dr Mihail Petrov
  • Title: Quantum technology using magnetic conveyor belt and two-photon transition
  • Date: November 1, 2017
  • Venue: C015, Lab 1, OIST campus
  • Speaker: Dr Ritayan Roy (University of Sussex, UK)
  • Title: Addition, Subtraction and Cancellation of Optical Topological Charges in Two-Photon Excited Rb Vapour
  • Date: June 2, 2017
  • Venue: C209, Center Building, OIST Campus
  • Speaker: Prof Alexander M. Akulshin (Swinburne University of Technology, Australia)
  • Title: Gaussian Beam-Propagation Theory for Nonlinear Optics - Featuring an Exact Treatment of Orbital Angular Momentum Transfer
  • Date: June 1, 2017
  • Venue: C209, Center Building, OIST Campus
  • Speaker: Prof Jonathan P. Dowling (Louisiana State University, USA)
  • Title: Spatial Mode Structure of Atom-Generated Squeezed Vacuum
  • Date: May 31, 2017
  • Venue: C209, Center Building, OIST Campus
  • Speaker: Prof Irina Novikova (The College of William and Mary, USA)
  • Title: Lensless Raman microscopy with a multimode fibre
  • Date: April 17, 2017
  • Venue: C210, Center Building, OIST Campus
  • Speaker: Dr Ivan Gusachenko (University of St Andrews, UK)

6.2 Workshop on Optical Trapping Techniques and Structured Light

  • Date: April 23, 2017
  • Venue: C209, OIST, Okinawa
  • Orgeniser: Síle Nic Chormaic (OIST)
  • Speakers:
    • Dr Yoshihiro Arita (University of St Andrews, Scotland)
    • Prof Lene B. Oddershede (Niels Bohr Institute, University of Copenhagen, Denmark)
    • Prof Jesper Glückstad (Technical University of Denmark, Denmark)
    • Prof Cornelia Denz (University of Muenster, Germany)
    • Prof Takashige Omatsu (Chiba University, Japan)
    • Dr Viet Giang Truong (OIST Graduate University, Japan)

6.3 ONNA 2017: Optical Nanofibre Applications: From Quantum to Bio Technologies

  • Date: June 5 – 8, 2017
  • Venue: Seaside House, Okinawa
  • Co-organisers: Síle Nic Chormaic (OIST), Gilberto Brambilla (ORC, University of Southampton, UK), Mark Sadgrove (Tohoku University, Japan), and Limin Tong (Zhejiang University, China)
  • Speakers:
    • Gaurav Bahl (University of Illinois at Urbana-Champaign, USA)
    • Gilberto Brambilla (ORC, University of Southampton, UK)
    • Darrick Chang (ICFO, Spain)
    • Fredrik Fatemi (ARL, USA)
    • Anna Fontcuberta i Morral (EPFL, Switzerland)
    • Lucia Hackermueller (The University of Nottingham, UK)
    • Kohzo Hakuta (The University of Electro-Communications, Japan)
    • Vladimir Ilchenko (OEwaves Inc., USA)
    • Julien Laurat (Laboratoire Kastler Brossel, Paris, France)
    • Stuart Murdoch (University of Auckland, New Zealand)
    • Gualtiero Nunzi Conti (CNR-IFAC, Italy)
    • Arno Rauschenbeutel (TU Wien, Austria)
    • Helmut Ritsch (Universität Innsbruck, Austria)
    • Mark Sadgrove (Tohoku University, Japan)
    • Vahid Sandoghdar (Max Planck Institute for the Science of Light & Friedrich Alexander University, Germany)
    • Keiji Sasaki (Hokkaido University, Japan)
    • Shigeki Takeuchi (Kyoto University, Japan)
    • Limin Tong (Zhejiang University, China)
    • Lan Yang (Washington University Saint Louis, USA)

6.4 CQD2017: Okinawa School in Physics: Coherent Quantum Dynamics

  • Date: September 26 – October 5, 2017
  • Venue: Seaside House, Okinawa
  • Organisers: Thomas Busch (OIST), Síle Nic Chormaic (OIST), Yasunobu Nakamura (The University of Tokyo), and Yoshiro Takahashi (Kyoto University)
  • Lecturers:
    • József Fortágh (University of Tübingen, Germany)
    • Wenhui Li (CQT, Singapore)
    • Sabrina Maniscalco (University of Turku, Finland)
    • John Martinis (Google, UC Santa Barbara, US)
    • Christophe Salomon (LKB, CNRS, France)
    • Gora Shlyapnikov (LPTMS, CNRS, Orsay, France)
    • Jelena Vuckovic (Stanford University, USA)
    • Yoshihisa Yamamoto (Japan Science and Technology Agency, Japan / Stanford University, USA)
  • Colloquium Speakers:
    • Kazue Kudo (Ochanomizu University, Japan)
    • Ryosuke Shimizu (University of Electro-Communications, Japan)
    • Eisuke Abe (Keio University, Japan)
    • Takao Aoki (Waseda University, Japan)

6.5 Research Visit

  • Dr Mihail Petrov, ITMO University, Russia 15-16 January 2018
  • Dr Ritayan Roy, University of Sussex, UK 30 October - 15 November 2017
  • Sanele Dlamini, UKZN, South Africa 15-29 October 2017
  • Dr Yaseera Ismail, UKZN, South Africa 15-29 October 2017
  • Dr Aili Maimaiti, 30 August-28 September 2017
  • Kassandra Knapper, University of Wisconsin, Madison, USA 23-30 August 2017
  • Dr Xuefeng Jiang, WSU-St Louis, USA 13 August-09 September 2017
  • Wenjie Zhu, Wuhan University, China 12 - 18 June 2017
  • Prof Yoshiyuki Kakihana, Kagoshima University, Japan 2 June 2017
  • Prof Alexandre (Sasha) Douplik, Ryerson University, Canada 2-3 June 2017
  • Prof Jonathan P. Dowling, Louisiana State University, USA 30 May-3 June 2017
  • Prof Alexander Akoulchine, Swinburne University of Technology, Australia 30 May-3 June 2017
  • Prof Irina Novikova, College of William and Mary, USA 29 May-3 June 2017
  • Prof Katsuhiko Miyamoto, Chiba University, Japan 22-24 April 2017
  • Dr Ivan Gusachenko, St Andrews University, Scotland 16-18 April 2017

7. Other

Sanele Dlamini graduated with a PhD from University of Kwazulu-Natal, South Africa.  Thesis title:  The Control, Manipulation and Detection of Surface Plasmons and Cold Atoms.  

Prof. Nic Chormaic was a CNRS Visiting Researcher at the Laboratoire Aimé-Cotton, Université Paris-Sud, France (November 2017) and a Visiting Researcher at the Institut Néel, Grenoble, France (February and March 2018).