FY2020 Annual Report

Theory of Quantum Matter Unit
Professor Nic Shannon

tqm_FY2020

Abstract

FY2020 was an extraordinary, and a challenging year. With Okinawa in a state of emergency brought on by COVID-19, all of the activities of the TQM-Unit were moved online in the second week of April 2020. A week later the OIST campus closed. (The campus reopened, with some restrictions, in June).

Daily scientific discussions, supervision of students, and weekly group meetings continued throughout the year, but through the medium of Zoom, with a much greater emphasis on timetabled meetings. One positive aspect of this "new normal" was the establishment of a Theory of Quantum Matter virtual seminar series, with more than 30 talks delivered in the course of the year, open to an audience which included participants from Universities in mainland Japan (and occasionally Europe and America), as well as OIST.

Progress in scientific research also continued, albeit at a slower rate than usual. The unit published four papers in FY2020, with one appearing as a Rapid Communication, and two in the new open access journal "Physical Review Research". Research highlights included new predictions for spin liquids on the pyrochlore and bilayer breathing Kagome lattices, a deeper undesrstand of Kitaev magnets, new insights into the topological bands in magnetic insulators, and the Unit's first publication on Quantum computing. 

In August, the Unit celebrated the successful PhD defence (by Zoom) of Ankur Dhar, jointly supervised by the TQM and Quantum Wave Microscopy (Shintake) Units. Shortly afterwards, Dr Dahr left OIST to take a postdoc in at Stanford University. And in January 2021 the Unit was sad to bid farewell to one of its longest-serving members, Dr Han Yan, who took up a postdoc at Rice University. However the Unit was pleased to welcome two new members, a new PhD student, Ms Ananya Samanta, and Dr Jonas Sonnenschein, who took up a postdoc position in September 2020. Unfortunately, because of the COVID pandemic, Dr Sonnenschein was forced to remain in Berlin, collaborating with Unit members remotely.

Despite the challenge of the pandemic, Unit members remained very active in both international collaborations, and in presenting their results through new media of virtual conferences and seminar series. In total Unit members gave 30 talks (by Zoom) in FY2020, including 6 invited talks. Both and Dr Shimokawa and Prof. Shannon also delivered lecture courses online, with Prof. Shannon being awarded the OIST Student's Choice Award for Excellence in Teaching (shared with Prof. Uusisaari).

1. Staff

  • Dr. Matthias Gohlke, Postdoctoral Scholar
  • Dr. Geet Rakala, Postdoctoral Scholar
  • Dr. Tokuro Shimokawa, Postdoctoral Scholar
  • Dr. Jonas Sonnenschein, Postdoctoral Scholar
  • Ms. Leilee Chojnacki, PhD Student
  • Mr. Soshi Mizutani, PhD Student
  • Ms. Kimberly Remund, PhD Student
  • Ms. Ananya Samanta, PhD Student
  • Mr. Andreas Thomasen, PhD Student
  • Mr. Han Yan, PhD Student (~2020.12)
  • Ms. Megumi Ikeda, Research Unit Administrator

2. Collaborations

2.1 Hidden phases born of a quantum spin liquid

  • Researchers:
    • Mr. Hyeok-Jun Yan, KAIST
    • Prof. SungBin Lee, KAIST
    • Prof. Nic Shannon, OIST

2.2 Speedup of the quantum adiabatic algorithm using delocalization catalysis

  • Researchers:
    • Mr. Chenfeng Cao, The Hong Kong University of Science and Technology
    • Mr. Jian Xue, Chinese Academy of Sciences
    • Prof. Nic Shannon, OIST
    • Prof. Robert Joynt, University of Wisconsin-Madison

2.3 Field-induced spin-nematic states in quantum frustrated ferromagnets

  • Researchers:
    • Dr. Matthias Gohlke, OIST
    • Dr. Tokuro Shimokawa, OIST
    • Prof. Nic Shannon, OIST

2.4 Field-induced pseudo-Goldstone mode and nematic phase in the Kitaev-Gamma model

  • Researchers:
    • Dr. Matthias Gohlke, OIST
    • M. Sc. LI Ern Chern, University of Toronto
    • Prof. Hae-Young Kee, University of Toronto
    • Prof. Yong Baek Kim, University of Toronto

2.5 Generic Field-Driven Phenomena in Kitaev Spin Liquids

  • Researchers:
    • Dr. Ciarán Hickey, University of Cologne
    • Dr. Matthias Gohlke, OIST
    • M. Sc. Christoph Berke, University of Cologne
    • Prof. Simon Trebst, University of Cologne

2.6 Multicritical points of Triangular and Kagome lattices

  • Researchers:
    • Dr. Geet Rakala, OIST
    • Dr. Nisheeta Desai, TIFR, Mumbai, India
    • Prof. Kedar Damle, TIFR, Mumbai, India

2.7 Hard plates on a cubic lattice

  • Researchers:
    • Dr. Geet Rakala, OIST
    • Dr. Dipanjan Mandal, Univ. of Warwick, UK
    • Dr. Kedar Damle, TIFR, Mumbai, India
    • Dr. Rajesh R, IMSc, Chennai, India

2.8 Machine Learning geometric frustration

  • Researchers:
    • Dr. Geet Rakala, OIST
    • Mr. Kazuki Okigami, Hokkaido University, Japan

2.9 Development of the exact diagonalization method for near saturation fields

  • Researchers:
    • Dr. Tokuro Shimokawa, OIST
    • Dr. Hiroshi Ueda, Osaka Univ.
    • Dr. Seiji Yunoki, Riken

2.10 High-field magnetism in the S=1/2 honeycomb-lattice antiferromagnet Cu2(pymca)3(ClO4)

  • Researchers:
    • Dr. Tokuro Shimokawa, OIST
    • Mr. Akira Okutani, Osaka Univ.
    • Prof. Masayuki Hagiwara, Osaka Univ.
    • Prof. Takano Kenichi, Toyota Tech. Inst.

2.11 Low-temperature physics in the quantum spin liquid state of a quantum bilayer-breathing-kagome magnet

  • Researchers:
    • Dr. Tokuro Shimokawa, OIST
    • Dr. Rico Pohle, Waseda Univ.
    • Dr. Han Yan, Rice Univ.
    • Dr. Jonas Sonnenschein, OIST
    • Prof. Nic Shannon, OIST

2.12 Low-temperature physics in the quasi-one-dimensional frustrated magnet SrCu(OH)3Cl

  • Researchers:
    • Dr. Tokuro Shimokawa, OIST
    • Dr. Kazuki IIda, CROSS
    • Prof. Harald O. Jeschke, Okayama Univ.
    • Prof. Hiroyuki Yoshida, Hokkaido Univ. 

2.13 Calculating corner charges from insulating many-body wave functions

  • Researchers:
    • Dr. Jonas Sonnenschein, OIST
    • Dr. Luka Trifunovic, University of Zürich

2.14 Quantum spin liquids in 3D materials

  • Researchers:
    • Dr. Jonas Sonnenschein, OIST
    • Prof. Yasir Iqbal, IIT Madras
    • Ms. Aishwarya, Chauhan, IIT Madras

2.15 Analogues of light and gravity in the collective excitations of quantum magnets

  • Researchers:
    • Ms. Leilee Chojnacki, OIST
    • Dr. Rico Pohle, Waseda University
    • Dr. Han Yan, OIST & Rice University
    • Prof. Nic Shannon, OIST

2.16 Numerical simulation of spin-1 magnets

  • Researchers:
    • Ms. Kimberly Remund, OIST
    • Dr. Rico Pohle. Waseda University
    • Prof. Judit Romhanyi, University of California Irvine
    • Prof. Yutaka Akagi, The University of Tokyo
    • Prof. Nic Shannon, OIST

2.17 From Half Moons to Chern Numbers

  • Researchers:
    • Mr. Andreas Thomasen, OIST
    • Dr. Han Yan, OIST
    • Prof. Judit Romhanyi, UCI
    • Prof. Nic Shannon, OIST

2.18 Novel features of Spin Hall and Chern insulator phases realized by triplet excitations

  • Researchers:
    • Andreas Thomasen, OIST
    • Prof. Karlo Penc, Wigner Research Centre for Physics
    • Prof. Nic Shannon, OIST
    • Prof. Judit Romhanyi, UCI 

2.19 Negative Thermal Expansion in a Magnetically Frustrated Spinel

  • Researchers:
    • Ms. Ananya Samanta, OIST
    • Dr. Han Yan, OIST & Rice University
    • Prof. Karlo Penc, Institute for Solid State Physics and Optics, Wigner Research Centre for Physics, Hungarian Academy of Sciences
    • Prof. Nic Shannon, OIST

3. Activities and Findings

3-1. Theory of Ca10Cr7O28 as a bilayer breathing-kagome magnet: Classical thermodynamics and semi-classical dynamics

Quantum spin liquids form an exotic class of quantum phases of matter, accompanied by emergent gauge fields, topological order and fractionalized excitations, with strong interaction effects and long-range entanglement. The recently discovered material Ca10Cr7O28 shows strong indications of hosting such a novel phase of matter, but with properties that sets it apart from any previously studied quantum spin liquid.

In this work, we make a crucial step towards understanding the nature and origin of the spin liquid behaviour in Ca10Cr7O28. Using a combination of Monte Carlo and molecular dynamics simulation, and spin-wave calculations, we carry out a comprehensive study of a bilayer breathing kagome model derived from experiment. We identify the low-energy physics as being that of a spiral spin liquid, characterised by a "ring"-like feature in the spin structure factor. Meanwhile, at higher energies, we can trace the dynamical properties to a dynamical Columb spin liquid, found when the material is saturated in magnetic field. Hence we establish that Ca10Cr7O28 is a rare case of a many-body system where two types of spin liquid coexist at different time scales.

tqm_FY2020_3.

Phase diagram of the bilayer-breathing-kagome model of Ca10Cr7O28, together with related ground-state degeneracies, and "ring"-like features associated with the spiral spin liquid.

This work was published as "Theory of Ca10Cr7O28 as a bilayer breathing-kagome magnet: Classical thermodynamics and semi-classical dynamics" Rico Pohle, Han Yan and Nic Shannon, Phys. Rev. B 104, 024426 (2021)

3-2. Hidden phases born of a quantum spin liquid

Quantum spin liquids (QSL) have generated considerable excitement as phases of matter with emergent gauge structures and fractionalized excitations. In this context, phase transitions out of QSLs have been widely discussed as Higgs transitions from deconfined to confined phases of a lattice gauge theory. However the possibility of a wider range of novel phases, occuring between these two limits, has yet to be systematically explored.

In this work, we develop a formalism which allows for interactions between fractionalised quasiparticles coming from the constraint on the physical Hilbert space, and can be used to search for exotic, hidden phases. Taking pyrochlore spin ice as a starting point, we show how a U(1) QSL can give birth to abundant daughter phases, without need for fine–tuning of parameters. These include a (charged–) Z2 QSL, and a supersolid. We discuss implications for experiment, and numerical results which support our analysis. 

These results are of broad relevance to QSL subject to a parton description, and offer a new perspective for searching exotic hidden phases in pyochlore magnets.

tqm_FY2020_3.2

New phases coming from the interactions between spinons in a U(1) quantum spin liquid.

This work was published as "Hidden phases born of a quantum spin liquid: Application to pyrochlore spin ice" Hyeok-Jun Yang, Nic Shannon and SungBin Lee, Phys. Rev. B 104, L100403 (2021)

3-3. Generic Field-Driven Phenomena in Kitaev Spin Liquids: Canted Magnetism and Proximate Spin Liquid Physics

Quantum spin liquids are a fascinating example of the “More is Different” philosophy of modern condensed matter physics, featuring fractionalized excitations and emergent gauge structures that can only exist within the confines of a many-body system. For a Quantum spin liquid, a natural question to ask is what happens when an external magnetic field is applied? Here, we will address this question in the context of the famous two-dimensional Kitaev model considering lattices beyond the honeycomb.

tqm_FY2020_3.3.1

Generic phase diagram of a gapped QSL in a magnetic field with a finite extent of the QSL at low fields, a trivial polarized state (PL) at high fields, and a non-universal intermediate field regime.

Depending on the lattice, the Kitaev model hosts different quantum spin liquids with Abelian or non-Abelian topological order in the low-field limit. Both spin liquids have in common that they are protected by the excitation gap of its flux excitations in the presence of a small magnetic field, but may give way to field-induced phenomena at intermediate field strengths. Sandwiched between the low-field spin liquid physics and the high-field spin-polarized phase, the exploration of magnetic phenomena in this intermediate regime, however, often remains elusive to controlled analytical approaches. We numerically study such intermediate-field magnetic phenomena for two representative Kitaev models on the square-octagon and decorated honeycomb lattice. Using a combination of exact diagonalization and density matrix renormalization group techniques, as well as linear spin-wave theory, we establish the generic features of Kitaev spin liquids in an external magnetic field. While ferromagnetic models typically exhibit a direct transition to the polarized state at a relatively low field strength, antiferromagnetic couplings not only substantially stabilizes the topological spin liquid phase, but generically lead to the emergence of a distinct field-induced intermediate regime, separated by a crossover from the high-field polarized regime.

tqm_FY2020_3.3.2

Lattice structure of (a) the decorated honeycomb (DH) and (b) square octagon (SO) lattices with unit cells of 6 and 4 spins respectively.

Our results suggest that, for most lattice geometries, this regime generically exhibits significant spin canting, antiferromagnetic spin-spin correlations, and an extended proximate spin liquid regime at finite temperatures. Notably, we identify a symmetry obstruction in the original honeycomb Kitaev model that prevents, at least for certain field directions, the formation of such canted magnetism without breaking symmetries.

This work was published as: "Generic Field-Driven Phenomena in Kitaev Spin Liquids: Canted Magnetism and Proximate Spin Liquid Physics" Ciarán Hickey, Matthias Gohlke, Christoph Berke and Simon Trebst, Phys. Rev. B 103, 064417 (2021).

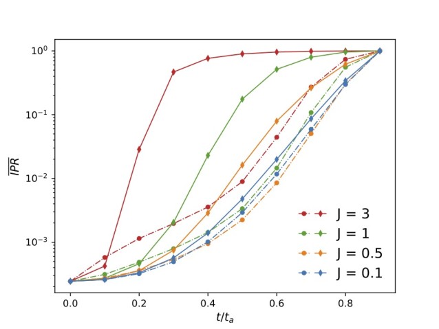
3-4. Speedup of the quantum adiabatic algorithm using delocalization catalysis

The great hope of quantum computers is that they will ultimately be able to solve problems intractable through classical computation. One approach to quantum computing is the "adiabatic algorithm", in which a wave function encoding the answer to simple problem, is smoothly evolved into a wave function which encodes the solution of another, more complex, problem. Unfortunately, the time it takes for this approach to converge grows rapidly with the number of qubits involved. So any approach which can speed it up, without sacrificing accuracy, is highly desirable.

In this work, we revist an approach to accelerating the quantum adiabatic alogrithm (QAA) known as "catalysis", in which the evolution of the wave function is governed by a Hamiltonian with additional terms, intended to speed its convergence on the final answer. Considering random field Ising model, catalysed by an XY interaction between spins, we find that the greatest speedup occurs where the catalysis leads to a many-body delocalization of eigenstates, allowing a quantum computer to more quickly explore the space of possible solutions.

These results offer the first evidence that many-body delocalisation could play an important role in quantum computers, and have the potential to enhance the success of the QAA in real-world applications.

tqm_FY2020_3.4

Speed up of the quantum adiabatic algorithm (QAA) by delocalization catalysis, as witnessed by the inverse participation ratio (IPR). Simulations carried out with catalysis, for parameters within the many-body delocalized regime (blue, red and orange dashed lines), converge much faster (IPR=1) than calculations without catalysis (solid lines)

This work was published as: "Speedup of the Quantum Adiabatic Algorithm using Delocalization Catalysis" Chenfeng Cao, Jian Xue, Nic Shannon and Robert Joynt, Phys. Rev. Research 3, 013092 (2021).

3-5. Quantum typicality study on the finite-temperature mirror symmetry breaking of the S=1/2 Shastry-Sutherland model

Quantum frustrated magnets have been known as a source of the exotic phenomenon because of the competing interactions and quantum fluctuations, but we have known difficulties in estimating the thermal properties of them except for very few examples.

The quantum typicality method is one of state of art numerical methods to investigate the finite-temperature properties of the quantum frustrated magnetism without any bias in our quantum Hamiltonian although the treated system sizes are still small. A problem we may have is if the typicality method works well to reveal the presence of the finite-temperature phase transition because we may feel that the smallness of the system sizes is crucial, especially near the transition temperature.

We applied this method to a simple two-dimensional quantum frustrated model, S=1/2 Shastry-Sutherland Heisenberg model. This model is known to have a plaquette-singlet ground state which breaks spontaneously the mirror symmetry of the Hamiltonian in a parameter region 0.68<J/JD<0.76, where J and JD are inter and intra-dimer interactions (a). It is also known the mirror symmetry breaking pattern in this state can not be observed in the two-point correlation function level in finite-size systems because the expected two-fold degeneracy does not happen in the ground state of the finite-size systems. In contrast to the ground state properties in the finite-size clusters, in our paper, our quantum typicality calculations succeed in revealing clear signatures of the finite-temperature phase transition associated with the mirror symmetry breaking within the two-point correlation function level even in finite-size clusters.

We also find that the origin of these surprising signatures is from the presence of several two-fold degenerated excited states by means of the thick-restarted Lanczos method, and this fact can also mean that the typicality method has the ability to detect the presence of the degenerated excited states. Indeed, the following figures, the real-space nearest-neighbor two-point correlation function at moderate temperature, can show the two plaquette-singlet patterns (c) or (d) depending on the different initial random states in our quantum typicality method. We hope that our findings have a future potential to understand the thermal properties of the other quantum frustrated magnets via the typicality method. 

tqm_FY2020_3.5

(a) The ground-state phase diagram of the S=1/2 Shastry-Sutherland model. (b) The temperature dependence of the specific heat in the plaquette singlet state region. (c-e) The real-space nearest-neighbor two-point correlation function at each temperature T/JD=0.03 (c-d), and T/JD=0.2 (e), respectively. The results of (c) and (d) are obtained by using the different initial random spin configurations in our typicality method, respectively.

This work was published as : “Signatures of the finite-temperature mirror symmetry breaking in the S=1/2 Shastry-Sutherland model”, Tokuro Shimokawa, Phys. Rev. B 103, 134419 (2021).

3-6. Novel features of Spin Hall and Chern insulator phases realized by triplet excitations

Triplet excitations found in disordered magnetic insulators are a promising new avenue for the study of topological band-theory. These quasi-particles carry momentum, energy and spin and may realize diverse topological phases. Unlike magnons, which exist by virtue of broken time-reversal symmetry, triplons do not require magnetic order to appear. Therefore, although a TR-breaking field may cause them to exhibit quantum Hall like physics as evidenced by the thermal transport coefficients, under TR-symmetry other phases such as \(\mathcal{Z}_2\) can also be realized as shown by [D. G. Joshi and A. P. Schnyder, Phys. Rev. B 100, 020407 (2019)].

However, triplets are bosonic in nature and therefore do not enjoy the same protection as electrons in the Kane-Mele model. This leaves open the question of which symmetry could protect this phase and whether there is a faithful analogue to the Kane-Mele model realizable in a magnetic insulator. In this work we study the bilayer kagome lattice model. We derive a bond-wave Hamiltonian with all possible symmetry allowed nearest neighbor spin-exchange interactions and include several next-nearest neighbor terms.

In analogy to [H. Kondo, Y. Akagi, H. Katsura, Physical Review B. 99, 041110(R) (2019)] we define a pseudo-time reversal operator, which we show is realized by \(TR \times U (1)\)symmetry. While this is a valid symmetry of the Hamiltonian the \(\mathcal{Z}_2\) topology is preserved, however we find that the allowed symmetric exchange anisotropies break this symmetry and thereby destroy the topology. We support this claim by calculating the triplet bands and the topological invariants associated with them in the continuum limit and verify the existence and absence of topological edge-modes in the finite lattice. Additionally we calculate the Thermal Hall and spin Nernst signals in the TR preserving case and the applied magnetic field case.

tqm_FY2020_3.6

Cluster geometries, topological bands and edge states for topological triplon modes on a bilayer Kagome lattice.

This work was published as: “Fragility of Z2 topological invariant characterizing triplet excitations in a bilayer kagome magnet” Andreas Thomasen, Karlo Penc, Nic Shannon and Judit Romhányi Phys. Rev. B 104, 104412 (2021)

3-7. Fracton excitations in classical frustrated kagome spin models

Fractons are exotic topological excitations in many-body systems. They are immobile due to intrinsic dynamical constraints from gauge symmetries, dipole conservations, or subsystem symmetries. Fractons are at the center of a wide range of interesting theoretical physics problems, from quantum information, quantum gravity, to topological order and non-conventional critical behaviors.

The experimental realization of fractons, however, is not a trivial issue due to the complicated interactions required. Here we explore fractons may exist in one of the most well-known frustrated magnet model: the Kagome magnetic with dominant antiferromagnetic interactions for the nearest neighbors. 

We found that with properly-tune further neighbor interactions, the model host fracton excitations that are immobile, with unconventional mobility for the fracton bound states. We then further investigate several variations of the model and the fate of fractons. 

Given the relative simpleness of these models, it is possible to realize them in insulators or cold atom experiments. This work also sets the foundation for future experimental pursuit of fractons.

tqm_FY2020_3.7

A topological Fracton excitation at the center the Kagome lattice. It is the meeting point of six different domains of ground states.

This work was published as: "Fracton excitations in classical frustrated kagome spin models", Max Hering, Han Yan, and Johannes Reuther, Phys. Rev. B 104, 064406 (2021)

3-8. Emergence of a nematic paramagnet via quantum order-by-disorder and pseudo-Goldstone modes in Kitaev magnets

The interplay of competing interactions and quantum fluctuations in spin systems can give rise to new and exciting physics. A prominent realisation with these competing interaction are Kitaev materials, which exhibit strong spin-orbit coupling leading to bond-dependent interactions between spin-1/2 constituents. If the Kitaev interaction is dominant, these materials have the potential to realize a quantum spin liquid phase. However, many such materials have additional interactions that stabilize magnetically ordered states. A paradigmatic example is \alpha-RuCl3, which is known to stabilize zigzag magnetic order. Upon applying a magnetic field, however, the zigzag order vanishes, while recent thermal Hall conductivity measurements indicate the existence of the much-desired Kitaev spin liquid. Consequently, Kitaev materials exposed to an external magnetic field have recently been a subject of intensive studies.

In this work, we investigate the Kitaev-Gamma-Gamma' model which has been suggested as a minimal model for \alpha-RuCl3. By using matrix product state techniques and linear spin wave theory, we show that a nematic paramagnet emerges in the quantum model in a magnetic field along the [111] direction. The nematic paramagnet is characterized by a spontaneous breaking of a lattice-rotational symmetry. We trace its origin to the frustrated ferromagnetic phase of the corresponding classical model. A homogeneous canting of the magnetic moments away from the field axis occurs as a result of a competition between the magnetic field and the anisotropic spin-exchange couplings. Classically, no preferred canting direction exists resulting in a continuous, U(1)-symmetric, manifold of ground states. A mechanism known as quantum order-by-disorder selects a discrete set of states, the nematic paramagnetic states, out of an emergent continuous manifold of ground states in the classical model. The continuous symmetry implies a gapless Nambu-Goldstone mode, however, quantum fluctuations introduce a small gap. Such a phenomenology has become known as a pseudo-Goldstone mode. 

The nematic paramagnet exists in a wide range of parameters. Thus, this phase is likely relevant to \alpha-RuCl3 and possibly other Kitaev materials. Consequently, we complement our work by presenting dynamical signatures, i.e. the dynamical spin structure factor, of the nematic paramagnet and the adjacent high-field paramagnet. Although we find the Kitaev spin liquid to be stabilized only in the vicinity of pure Kitaev coupling, remnants of the fractional excitations of the KSL continue to exist in wider range of parameters illustrating a proximate spin liquid.

In summary, this work elucidates the origin of a nematic paramagnetic phase that is stabilized in a wide range of parameters relevant to Kitaev materials, and presents dynamical signatures that are potentially relevant to understand recent experiments on Kitaev materials.

tqm_FY2020_3.8

(a,b) Phase diagram of the Kitaev-Gamma-Gamma' model in a magnetic field, h, along the [111] axis.
The coupling are parametrised as \(K = -cos(\phi), \Gamma = sin(\phi)\) within the range \(\phi = [0,\pi/2]\).
(c-f) present the dynamical signatures near the upper critical field in the two limits (c,d) \(\Gamma\rightarrow 0\) and (e,f) \(K\rightarrow 0\) as illustrated by the red stars in (a).

This work was published in the article: "Emergence of a nematic paramagnet via quantum order-by-disorder and pseudo-Goldstone modes in Kitaev magnets", Matthias Gohlke, Li Ern Chern, Hae-Young Kee and Yong Baek Kim, Phys. Rev. Research 2, 043023 (2020).

4. Publications

4.1 Journals

  1. Ciarán Hickey, Matthias Gohlke, Christoph Berke and Simon Trebst, "Generic Field-Driven Phenomena in Kitaev Spin Liquids: Canted Magnetism and Proximate Spin Liquid Physics" DOI:10.1103/PhysRevB.103.064417
  2. Chenfeng Cao, Jian Xue, Nic Shannon, and Robert Joynt, "Speedup of the quantum adiabatic algorithm using delocalization catalysis" DOI:10.1103/PhysRevResearch.3.013092
  3. Han Yan (闫寒) "Geodesic string condensation from symmetric tensor gauge theory: A unifying framework of holographic toy models" DOI:10.1103/PhysRevB.102.161119
  4. Matthias Gohlke, Li Ern Chern, Hae-Young Kee, and Yong Baek Kim, "Emergence of nematic paramagnet via quantum order-by-disorder and pseudo-Goldstone modes in Kitaev magnets" DOI:10.1103/PhysRevResearch.2.043023

4.2 Books and other one-time publications

Nothing to report

4.3 Oral and Poster Presentations

Invited Talks at Conference

  1. Tokuro Shimokawa, "Spiral spin liquid and multiple-q states in the frustrated honeycomb-lattice Heisenberg magnet" ARHMF2020 & KINKEN Materials Science School 2020 for Young Scientists, Online (2020.12.01)
  2. Han Yan, "Fracton states of matter - a new kind of quantum many-body system" Physics student salon, University of Science and Technology of China and Lanzhou University, Online (2020.09.20)
  3. Nic Shannon, "A route to finding fractons ? Rank-2 U(1) spin liquid on the breathing pyrochlore lattice" Correlated Electron Virtual International Seminar (CEVIS), Online (2020.07.02)

Contributed Talks

  1. Han Yan, "Pinch-point singularities in spectroscopy guarantee topological criticality" APS March Meeting 2021, Online (2021.03.20)
  2. Tokuro Shikmokawa, "Thermal and dynamical properties of the S=1/2 bilayer breathing-kagome Heisenberg magnet - application to Ca10Cr7O28 -" APS March Meeting 2021, Online (2021.03.19)
  3. Nic Shannon, "Modelling time series coming from complex quantum matter" APS March Meeting 2021, Online (2021.03.18)
  4. Leilee Chojnacki, "Analogues of light and gravity in the collective excitations of quantum magnets" APS March Meeting 2021, Online (2021.03.17)
  5. Rakala Geet, "Multicritical pinch-offs on the triangular and Kagome lattices" APS March Meeting 2021, Online (2021.03.17)
  6. Jonas Sonnenschein, "Projective symmetry group classifications of quantum spin liquids on the simple cubic, body centered cubic, and face centered cubic lattices" APS March Meeting 2021, Online (2021.03.17)
  7. Matthias Gohlke, "Numerical Study of Bond-Nematic Order in Spin S=1/2 Frustrated Ferromagnets on the Square Lattice" APS March Meeting 2021 Online (2021.03.16)
  8. Remund Kimberly, "Equations of motions for spin-1 magnets - a u(3) formalism, suitable to investigate dynamical and thermodynamical properties" APS March Meeting 2021 Online (2021.03.16)
  9. Ananya Samanta, "Negative Thermal Expansion in a Magnetically Frustrated Spinel" APS March Meeting 2021, Online (2021.03.16)
  10. Leilee Chojnacki, "Analogues of light and gravity in the collective excitations of quantum magnets" JPS 2021 Annual (76th) Meeting, Online (2021.03.15)
  11. Rakala Geet, "Multicritical pinch-offs on the triangular and Kagome lattices" JPS 2021Annual (76th) Meeting, Online (2021.03.15)
  12. Jonas Sonnenschein, "Projective symmetry group classifications of quantum spin liquids on the simple cubic, body centered cubic, and face centered cubic lattices" JPS 2021 Annual (76th) Meeting, Online, Online (2021.03.15)
  13. Matthias Gohlke, "Numerical Study of Bond-Nematic Order in Spin S=1/2 Frustrated Ferromagnets on the Square Lattice" JPS 2021 Annual (76th) Meeting, Online (2021.03.13)
  14. Ananya Samanta, "Negative Thermal Expansion in magnetically frustrated spinel" JPS 2021 Annual (76th) Meeting, Online (2021.03.13)
  15. Han Yan, "Pinch-point singularities in spectroscopy guarantee topological criticality" JPS 2021 Annual (76th) Meeting, Online (2021.03.12)
  16. Andreas Thomasen, "Origins of topological band-gap in a spin-polarized kagome anti- ferromagnet" JPS 2021 Annual (76th) Meeting, Online (2021.03.11)
  17. Matthias Gohlke, "Field-induced pseudo-Goldstone mode and nematic states in Kitaev magnets" wHFM21, Online (2021.01.27)
  18. Tokuro Shimokawa, ”Magnetic properties of S = 1/2 triangular cupola antiferromagnet SrCu(OH)3Cl” JPS Autumn Online Meeting 2020, Online (2020.09.11)
  19. Matthias Gohlke, "Field-induced pseudo-Goldstone mode and nematic states in Kitaev magnets" JPS Autumn Online Meeting 2020, Online (2020.09.10)
  20. Remund Kimberly, "Analytical Derivation of Equations of Motion for Spin-1 Magnets II" JPS Autumn Online Meeting 2020, Online (2020.09.10)
  21. Nic Shannon, "Machine learning spin liquids" JPS Autumn Online Meeting 2020, Online (2020.09.10)
  22. Tokuro Shimokawa, ”High-field spin-nematic state in the S=1/2 J-K square-lattice frustrated ferromagnet” JPS Autumn Online Meeting 2020, Online (2020.09.10)
  23. Tokuro Shimokawa, ”Spin dynamics in S=1/2 bilayer breathing-kagome Heisenberg magnet” JPS Autumn Online Meeting 2020, Online (2020.09.10)

Seminars

  1. Andreas Thomasen, "Machine Learning the Ising Model and Beyond" OIST internal semiar series, OIST, Japan (2021.03.18)
  2. Nic Shannon, "Rank--2 U(1) spin liquid on the breathing pyrochlore lattice" Precision Manybody Physics Seminar, University of Massachusetts, Online (2020.09.30)
  3. Han Yan "Universal picture of holographic toy models from rank-2 U(1) theory (or Lifshitz gravity)" Watanabe group, Tokyo University, Online (2020.07.30)
  4. Tokuro Shimokawa, "Novel multiple-q state and quantum spin liquid state induced by frustration" University of the Ryukyus, Online (2020.07.22)

Lectures

  1. Tokuro Shimokawa, "Low-dimensional frustrated magnetisms and related unbiased numerical methods" University of the Ryukyus (2020.06.03-07.22)

5. Intellectual Property Rights and Other Specific Achievements

Nothing to report

6. Meetings and Events

6.1 Quantum statistics of magnetic vortices

  • Date: March 31
  • Venue: Zoom
  • Speaker: Dr. Martin Mourigal, Georgia Institute of Technology US)

6.2 Quantum statistics of magnetic vortices

  • Date: March 25
  • Venue: Zoom
  • Speaker: Prof. Oleg Tchernyshyov Johns Hopkins University, US)

6.3 Exploring a New Family of S = ½ Kagomé Antiferromagnets

  • Date: March 3
  • Venue: Zoom
  • Speaker: Dr. Lucy Clark (School of Chemistry, University of Birmingham, UK)

6.4 Coupled Trimer Description of Kagome Compound Volborthite

  • Date: February 24
  • Venue: Zoom
  • Speaker: Prof. Tsutomu Momoi (RIKEN, Japan)

6.5 Designing topological antiferro-magnons

  • Date: February 17
  • Venue: Zoom
  • Speaker: Prof. Chisa Hotta (University of Tokyo, Japan)

6.6 Floquet higher-order topological insulators: principles and path towards realizations

  • Date: February 10
  • Venue: Zoom
  • Speaker: Prof. Gil Refael (California Institute of Technology, USA)

6.7 From Frustrated Magnets to Computer Vision

  • Date: February 03
  • Venue: Zoom
  • Speaker: Dr. Luís Seabra (InnoWave Technologies, Portugal)

6.8 N-band Hopf insulator

  • Date: January 20
  • Venue: Zoom
  • Speaker: Dr. Luka Trifunovic (University of Zürich, Switzerland)

6.9 Exactly solvable spin-1/2 models with highly-degenerate, partially ordered, ground states

  • Date: December 09
  • Venue: Zoom
  • Speaker: Dr. Owen Benton (MPI-PKS Dresden, Germany)

6.10 30 years of Philip Anderson's RVB theory of high Tc superconductivity in cuprates: is it still relevant today?

  • Date: December 02
  • Venue: Zoom
  • Speaker: Prof. James Annett (HH Wills Physics Laboratory, University of Bristol, UK)

6.11 Classical spiral spin liquids as a possible route to quantum spin liquids

  • Date: November 11
  • Venue: Zoom
  • Speaker: Prof. Johannes Reuther (Freie Universitaet Berlin, Germany)

6.12 A new twist on spin nematics/quadrupoles

  • Date: October 28
  • Venue: Zoom
  • Speaker: Mr. Katsuhiro Tanaka (University of Tokyo, Japan)

6.13 Spin current as a probe of KT-type topological transitions in magnets

  • Date: October 21
  • Venue: Zoom
  • Speaker: Dr. Kazushi Aoyama (Osaka University, Japan)

6.14 Solving Statistical Mechanics: From Mean Field to Neural Networks, then to Tensor Networks

  • Date: October 14
  • Venue: Zoom
  • Speaker: Prof. Pan Zhang (Institute of Theoretical Physics, Chinese Academy of Sciences, China)

6.15 Spectral singularity of spinons in quantum spin ice

  • Date: October 07
  • Venue: Zoom
  • Speaker: Prof. Masafumi Udagawa (Gakushuin University, Japan)

6.16 “Completing the square” in frustrated magnets

  • Date: September 30
  • Venue: Zoom
  • Speaker: Prof. Yasir Iqbal (Indian Institute of Technology Madras, Chennai, India)

6.17 Spontaneous magnon decay and non-Hermitian topology

  • Date: September 24
  • Venue: Zoom
  • Speaker: Prof. Jeffrey G. Rau (University of Windsor, Canada)

6.18 Exotic superconducting states in FeSe-based materials investigated by spectroscopic-imaging scanning tunneling microscope

  • Date: September 16
  • Venue: Zoom
  • Speaker: Dr. Tetsuo Hanaguri (RIKEN Center for Emergent Matter Science, Japan)

6.19 Multipolar orders in spin-orbit entangled 5d Mott insulator

  • Date: September 01
  • Venue: Zoom
  • Speaker: Dr. Daigorou Hirai (Institute for Solid State Physics, University of Tokyo, Japan)

6.20 Search for spin liquids in three-dimensional materials

  • Date: August 24
  • Venue: Zoom
  • Speaker: Prof. Harald O. Jeschke (Okayama University, Japan)

6.21 Magnetic and Volumetric Properties of Breathing Pyrochlore Magnet

  • Date: August 18
  • Venue: Zoom
  • Speaker: Dr. Yoshihiko Okamoto (Nagoya University, Japan)

6.22 Variational neural simulations and annealing

  • Date: July 28
  • Venue: Zoom
  • Speaker: Dr. Estelle Inack (Perimeter Institute for Theoretical Physics, Canada)

6.23 Revealing the Phase Diagram of Kitaev Materials by Machine Learning: Cooperation and Competition between Spin Liquids

  • Date: July 21
  • Venue: Zoom
  • Speaker: Dr. Ke Liu (Ludwig Maximilian University of Munich, Germany)

6.24 Room-temperature Half-skyrmions and Bimerons in an antiferromagnetic insulator via the Kibble-Zurek mechanism

  • Date: July 03
  • Venue: Zoom
  • Speaker: Prof. Paolo Radaelli (University of Oxford, UK)

6.25 Unbiased estimators using generative neural samplers

  • Date: June 30
  • Venue: Zoom
  • Speaker: Prof. Roger Melko (Perimeter Institute for Theoretical Physics, Canada)

6.26 Purely dipolar dimers in two dimensions

  • Date: June 22
  • Venue: Zoom
  • Speaker: Prof. Kedar Damle (Tata Institute of Fundamental Research, India)

6.27 Searching for fracton orders via symmetry defect condensation

  • Date: June 16
  • Venue: Zoom
  • Speaker: Mr. Nat Tantivasadakarn (Harvard University, USA)

6.28 Machine Learning the Quantum Many Body Problem

  • Date: June 8
  • Venue: Zoom
  • Speaker: Prof. Roger Melko (Perimeter Institute for Theoretical Physics, Canada)

6.29 Topological Magnons

  • Date: May 18
  • Venue: Zoom
  • Speaker: Dr. Paul McClarty (MPI-PKS, Germany)

6.30 Fractons: A New Type of Particle

  • Date: May 13
  • Venue: Zoom
  • Speaker: Dr. Michael Pretko (University of Colorado Boulder, USA)

6.31 Short Lecture Series - SU(3) symmetric spin models

  • Date: April 13, 20, and 27 2020
  • Venue: Zoom
  • Speaker: Prof. Karlo Penc (Wigner Research Centre for Physics, Institute for Solid State Physics and Optics, Hungary)

7. Other

Nothing to report.