FY2014 Annual Report

Micro/Bio/Nanofluidics Unit

Professor Amy Shen

mbnu FY2014 Annual Report 01

Abstract

Micro/Bio/Nanofluidics Unit (MBNU) was established in July 2014 when Amy Shen moved from University of Washington, USA. While continuing existing research activities in microfluidics and rheology, several new interdisciplinary research projects have been initiated, in collaboration with other research units at OIST and outside OIST. In general, we combine experiments, theory, and modeling to explore the dynamics and properties of flows involving nano- or micro-structures (i.e., DNA, surfactants, lipid vesicles, or bacteria, cells), in which intermolecular/particle forces give rise to time- and length-scale distributions that are important in many biophysical and technological processes. Within this broad area, our current projects are motivated by natural/biological phenomena, and their solution often involves micro-/nano-fuidics, which facilitates the coupling of microstructural evolution with spatial confinement and flow. 

One project related to hydrodynamics is to explore symmetry-breaking bifurcations and enhanced mixing of Newtonian fluids in cross-slot microfluidic devices. Our results can guide design of efficient passive micro-mixing device that is critical for bioassay operations. New research directions also emerged in 2015. One major new thrust of our research program now deals with developing microfluidic technology for encapsulation and subsequent targeted delivery of drugs, biomolecules and such. The targeted delivery of functional payloads, such as pharmaceuticals and imaging agents, to specific regions of the body presents significant opportunities and challenges. Droplet microfluidics has been employed to generate and functionalize hydrogels and self-assembly carriers in our unit for use in neuronal imaging studies. We are also working on novel micro/nano-fabrications for efficient bioassay operations, involving both fundamental and applied research, with commercialization potentials. 

1. Group Member

As of March 31, 2015

  • Prof. Amy Shen, Professor
  • Dr. Simon Haward, Group Leader
  • Dr. Michael William Boehm, Staff Scientist
  • Dr. Doojin Lee, Postdoctoral Scholar
  • Dr. Casey James Galvin, Postdoctoral Scholar
  • Mr. Kazumi Toda-Peters, Technician
  • Mr. Hsieh-Fu Tsai, Graduate Student
  • Ms. Christina Helen Ripken, Research Intern
  • Ms. Yuno Kaneshi, Research Administrator

Alumni

  • Ms. Ya Zhao, Research Intern
  • Mr. Dan Walls, Research Intern
  • Mr. Cifeng Fang, Research Intern

2. Collaborations

  • Theme: Interfacial Dynamics and Droplet Microfluidics
    • Type of collaboration: Joint research
    • Researchers:
      • Professor Gerry Fuller, Stanford University, USA
      • Mr. Dan Walls, Stanford University, USA
      • Professor Amy Shen, OIST
      • Dr. Doojin Lee, OIST
      • Mr. Cifeng Fang, University of Washington, USA
  • Theme: Microfluidic Mixing
    • Type of collaboration: Joint research
    • Researchers:
      • Professor Robert Poole, University of Liverpool, UK
      • Professor Manuel Alves, Faculdade de Engenharia da Universidade do Porto, Portugal
      • Professor Paulo Oliveira, Universidade Beira Interior, Portugal
      • Dr. Simon Haward, OIST
      • Professor Amy Shen, OIST
      • Professor Nigel Goldenfeld, University of Illinois at Urbana-Champaign, USA
  • Theme: Elastic instability in microfluidic flows
    • Type of collaboration: Joint research
    • Researchers:
      • Professor Gareth McKinely, MIT, USA
      • Dr. Simon Haward, OIST
      • Professor Amy Shen, OIST
  • Theme: Microfluidics assisted encapsulation, imaging, and drug delivery applications
    • Type of collaboration: Joint research
    • Researchers:
      • Professor Bernd Kuhn, OIST
      • Dr. Casey Galvin, OIST
      • Professor Amy Shen, OIST

3. Activities and Findings

Most of our research projects are highly interdiscplinary, and our unit members have unique and complementary expertises in soft matter physics, applied mathematics, materials science, polymer chemistry, biomedical and chemical engineering. 

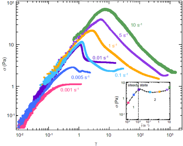
3.1 Rheological characterizations of wormlike micellar solutions containing cationic surfactant and anionic hydrotropic salt

Y. Zhao, S.J. Haward and A.Q. Shen (2015) Journal of Rheology 59: 1229-1258. (Journal front cover-featured article)

Aqueous micellar solutions of cationic surfactant cetyltrimethylammonium bromide (CTAB) and organic hydrotropic salt 3-hydroxy naphthalene-2-carboxylate (SHNC) in the semidilute regime have been characterized by linear and nonlinear rheology, and dynamic light scattering. The strong hydrophobicity and naphthalene structure present in the SHNC induces significant growth of CTAB wormlike micelles and promotes stable micellar network formation. Focusing primarily on 75mM CTAB/SHNC solution, we correlate the rich rheological behaviour with structural transitions of the micellar network under different deformation histories with temperatures in the range of 20 °C < T < 40 °C. Viscous dissipation dominates at low temperature, while short range interactions among micellar head groups, reorganization of micellar networks play important roles at higher temperatures, leading to complex stress responses under large deformations. The influence of double benzene rings on the response of transient and large amplitude oscillatory shear flows in the system was further elucidated by comparing the rheological behavior of CTAB/SHNC with CTAB/NaSal at the same salt and surfactant concentrations. Our studies distinguished SHNC as a stable hydrotrope in a semidilute cationic surfactant system under thermal variations, with potential applications such as drag reduction and fracturing fluids in oil recovery.

mbnu FY2014 Annual Report 03

Transient shear stress plotted as a function of shear strain from flow startup experiments in a rotational rheometer. The inset shows shear stress versus shear rate in the steady flow and was divided into 2 regimes. Regime 1 is the elastic deformation regime where the shear rate is less than 0.01 1/s. Regime 2 is the shear banding regime where the shear rate is larger than 0.01 1/s.

3.2 Enhanced microfluidic mixing via a tricritical spiral vortex instability

S.J. Haward, R.J. Poole, M.A. Alves, P.J. Oliveira, N. Goldenfeld, and A.Q. Shen, Submitted to Physical Review Letters

Experimental measurements and numerical simulations are made on fluid flow through cross-slot devices with a range of aspect (depth:width) ratios, 0.4 < α < 3.87. For low Reynolds numbers Re, the flow is symmetric and a sharp boundary exists between fluid streams entering the cross-slot from opposite directions. Above an α-dependent critical value 20 < Rec(α) < 100, the flow undergoes a symmetry-breaking bifurcation (though remains steady and laminar) and a spiral vortex structure develops about the central axis of the outflow channel. An order parameter characterizing the instability grows according to a sixth-order Landau potential, and shows a progression from second order to first order transitions as α increases. A tricritical point occurs for α ~0.55. The spiral vortex acts as a mixing region in the flow field and this phenomenon can be used to drive enhanced mixing in microfluidic devices.

mbnu FY2014 Annual Report 04

(a) Schematic diagram of a cross-slot device. Fluorescently-dyed fluid enters from positive y and undyed fluid enters from negative y. Flow exits along the x-direction. Confocal microscopy is performed in z-planes, which are scanned through the full depth of the device and used to reconstruct images in the x = 0 plane (green shaded region). (b) Three‑dimensional (3D) rendering of a vortex structure observed for the flow of water at Re = 75.8 in a cross-slot with α = 1. The image is generated from z-plane images spaced at δz = 5 μm and has been cropped around the central vortex. The volume shown corresponds to the fluorescently-dyed fluid stream. Development of the spiral vortex structure in the x = 0 plane as the Reynolds number (Re) is varied: (a) Re = 15.2, (b) Re = 42.8, (c) Re = 60.6, (d) Re = 91.0. Scale bar in (a) represents 200 µm.

mbnu FY2014 Annual Report 05

3.3 Evaluation of an Elastic Instability Criterion for Viscoelastic Fluids in Planar Elongational Flow

Simon J. Haward, Gareth H. McKinley, and Amy Q. Shen (Manuscript in preparation)

There is now a well-established dimensionless criterion (Pakdel & McKinley (1996) PRL 77: 2459) for understanding the critical conditions that control the onset of elastic instabilities dominated by shearing kinematics. In the present work, we use a range of model viscoelastic test fluids to test this criterion in the context of a well-defined, extensionally-dominated flow field, in a device similar to the cross-slot geometry (Haward et al. (2012) PRL109: 128301). The results of combined micro-particle image velocimetry (µ-PIV) and flow-induced birefringence (FIB) experiments performed over a wide range of Weissenberg numbers Wi, reveal a much richer sequence of instabilities than has previously been reported. As the Weissenberg number is increased beyond Wi > 0.5, FIB measurements show the development of a highly localized birefringent strand aligned along the outflowing stagnation-point streamline, indicating the expected local orientation of polymer molecules. For these low values of Wi, µ-PIV measurements show a pseudo-Newtonian flow field with a centrally-located stagnation point and hyperbolic streamlines. However, for 0.5 < Wi < 2, the stagnation point becomes laterally displaced from its central location towards one or the other exit channels of the flow geometry, and with further increases in Wi begins to oscillate erratically between the exit channels . Interestingly, the birefringent strand maintains localization and uniformity throughout this range of Wi. Finally, beyond another fluid-dependent critical Wi, the flow breaks symmetry globally and spatio-temporal fluctuations are apparent in both the µ-PIV and the FIB measurements. Prior to the onset of the first flow instability, the flow field is well-described by an ideal hyperbolic stream function and the FIB measurements can be used to quantify the spatial distribution of stresses, allowing spatial evaluation of the dimensionless instability criterion. We find “lobe-like” contours in the value of the criterion, with peaks occurring near to (but not at) the central stagnation point. The critical values of this criterion at onset of elastic instability compare well with values reported for torsional, shearing-dominated flows.

mbnu FY2014 Annual Report 06

Flow-induced birefringence measured in the planar elongational flow device with a 0.07 wt% solution of high molecular weight polystyrene at the indicated extensional rates ἑ. The color scale represents the retardation in units of nm. The right-most image at illustrates the appearance of the symmetry-breaking flow instability.

3.4 Shape controllable microparticle formation via microfluidics and droplet impact

Dr. Doojin Lee and Amy Q. Shen, Micro/Bio/Nanofluidics Unit, OIST, in collaboration with Dr. Shilpa Beesabathuni from Houghton International, USA

Wax based materials have been widely used in dentistry, food processing, cosmetics, and pharmaceutical applications since they are abundant in nature, biocompatible, and facile to the use of encapsulation of active compounds and ingredients. We recently demonstrated that millimeter size molten wax drops could be solidified into particles with mushroom, ellipsoid, disc, and flake-like morphologies upon striking an immiscible liquid interface. In this project, we propose a two-step method by utilizing a microfluidic platform to produce size-controllable molten wax microdroplets in a flow-focusing channel, followed by subsequent deformation and solidification processes during liquid-liquid impact in an aqueous bath solution to generate non-spherical wax microparticles.

Figure: Schematics of the experimental setup of molten wax droplet impacting a cooling aqueous medium.

The droplet motion, heat transfer, and crystallization of molten wax microdroplets were analyzed to investigate the deformation process of molten wax microdroplets impinging on an immiscible interface by using various dimensionless parameters. Sphere, egg-shaped, thin disc-shaped, and flattened ellipsoid-shaped morphologies were controllably generated by varying the viscous and thermal effects, and a cursory phase diagram was depicted. The viscous and thermal effects were found to be more dominant over the gravitational and buoyancy effects, promoting morphologies different from those observed in the millimeter sized molten wax drops. The temperature and the degree of crystallization of the wax microdroplets were examined with respect to time by varying the temperature difference between the wax microdroplets and the aqueous bath liquid. The droplet deformation was hindered by fast crystallization due to heat transfer between the wax droplets and the surrounding bath liquid. These theoretical and experimental studies are expected to provide in-depth insight into the general deformation and crystallization behavior, and morphological manipulations of soft materials such as droplets, droplet compounds, and cells impinging on an immiscible liquid interface.

Figure: Schematics of the experimental setup of molten wax droplet impacting a cooling aqueous medium.

3.5 Integrated microfluidic platform for instantaneous flow and temperature control

Dr. Doojin Lee and Amy Q. Shen, Micro/Bio/Nanofluidics Unit, OIST, in collaboration with Ph.D student Cifeng Fang from University of Washington, Professor Gerry Fuller from University of Stanford, and Professor Boris Stober from University of British Columbia

We developed an integrated microfluidic platform for instantaneous flow and localized temperature control. An active feedback controller of pressure and temperature was used to trap the droplet and to manipulate the temperature at the cross-junction. Our integrated platform offers the capability of manipulating non-contact, instantaneous flow with localized temperature control, which provides valuable tools for studying transient interfacial dynamics and various biological and industrial processes.

mbnu FY2014 Annual Report 09
Figure: Integrated microfluidic platform: (a) plane view of the microfluidic device, (b) 3D rendering illustration of the microfluidic device, showing the glass slide etched with gold wires, double-layered PDMS with microchannels in a fluidic layer, and the control layer for pressure manipulation, (c-1) flow-focusing region, and (c-2) microheater and temperature sensor at the cross-slot junction.

[1] C. Fang, D. Lee, B. Stober, GG. Fuller, A.Q. Shen, Integrated microfluidic platform for instantaneous flow and localized temperature control, RSC Advances, 2015, 5, 85620-85629.

3.6 In Vitro Cancer Model Using Microfluidics and 3D Tumor Spheroids

Dr. Casey Galvin and Amy Q. Shen, Micro/Bio/Nanofluidics Unit, OIST, with research intern James Baye from Grenoble Institute of Technology, France

While many cancer treatment modes have emerged in the past several decades, cancer remains one of the most significant public health challenges. One difficulty with developing new, effective cancer therapies is the expense of conducting animal and clinical trials, and the difference in results between these two types of trials. Microfluidic devices that mimic the vasculature system have emerged as an in vitro model, that when coupled with 3D cancer cell cultures (i.e., in vitro tumors) may offer an effective platform for testing treatment therapies before entering the clinic. To that end, we have reproduced a microfluidic device that mimics capillary transport of nutrients (panel a) and loaded colon cancer spheroids into the device (panel b). Our initial results indicate we can control key physical features of the spheroid, including size and the presence of a necrotic core. We have confirmed this system produces appropriate fluid flow rates within the device when loaded with a spheroid. Moving forward, we will collaborate with units at OIST investigating advanced radiation therapies to treat cancers in difficult to treat locations, such as the head and neck.
 

3.7 Simultaneous Production and Separation of Droplets in a Flow Focusing Device

Dr. Casey Galvin and Amy Q. Shen, Micro/Bio/Nanofluidics Unit, OIST

Submicron droplets and particles with nearly monodisperse sizes can be produced using flow focusing microfluidic devices. These so-called “satellite” droplets are produced simultaneously with the larger primary droplets (panel a). Under typical operating conditions, these differently sized droplets travel through the device and elute together, requiring downstream separation of the droplets based on size. Furthermore, if only the satellite droplets are desired, the order of magnitude size difference between the primary and satellite droplets means that significant amounts of material are wasted in the primary droplet. To solve these operating challenges with flow focusing devices, we have developed a protocol to simultaneously produce and separate primary and satellite droplets (as well as tertiary satellite droplets) based on size. By operating the device with asymmetric inlet flow rates, we are able to move the droplet fluid cusp (i.e., the point of droplet generation) away from the center of the flow focusing orifice. The location of the cusp in the orifice affects the location of droplets downstream of the orifice in a way that depends on the size of the droplets (panel b). As a result, we are able to achieve separations of several hundred micrometers between satellite and primary droplets (panel c), enabling efficient size separation and recycling of the primary droplet material.

4. Publications

4.1 Journals

  1. Wang, Q., Qian, K., Liu, S., Yang, Y., Liang, B., Zheng, C., Yang, X., Xu, H., Shen, A.Q., 2015. X-ray Visible and Uniform Alginate Microspheres Loaded with in Situ Synthesized BaSO4 Nanoparticles for in Vivo Transcatheter Arterial Embolization. Biomacromolecules, 16 (4), 1240-6. (doi:10.1021/acs.biomac.5b00027)
  2. Sharma, V., Haward, S.J., Serdy, J., Keshavarz, B., Suderland, A., Threlfall-Holmes, P., Mckinley, G.H., 2015. The rheology of aqueous solutions of ethyl hydroxy-ethyl cellulose (EHEC) and its hydrophobically modified analogue (hmEHEC): extensional flow response in capillary break-up, jetting (ROJER) and in a cross-slot extensional rheometer. Soft Matter, 11 (16), 3251-70. (doi:10.1039/C4SM01661K)
  3. Beesabathuni, S., Lindbergb, S., Caggioni, M., Wesner, C., Shen, A.Q., 2015. Getting in shape: molten wax drop deformation and solidification at an immiscible liquid interface. Journal of Colloid and Interface Science 445, 231-242. (doi:10.1016/j.jcis)
  4. Zhao, Y., Bai, T., Shao, Q., Jiang, S., Shen, A.Q., 2015. Thermoresponsive self-assembled NiPAm-zwitterion copolymers. Polymer Chemistry 6, 1066-1077. (doi:10.1039/C4PY01553C)
  5. Cardiel, J.J., Zhao, Y., De La Iqlesia, P., Pozzo, L., D, Shen, A.Q., 2014. Turning up the heat on wormlike micelles with a hydrotopic salt in microfluidics. Soft Matter 10, 9300-9312. (doi:10.1039/C4SM01920B)
  6. Cardiel, J.J., Zhao, Kim, J.H., Chung, J., Shen, A.Q, 2014. Electro-conductive porous scaffold with single-walled carbon nanotubes in wormlike micellar networks. Carbon 80, 203-212. (doi:10.1016/j.carbon.2014.08.057)
  7. Cardiel, J.J., Zhao, Y., Tonggu, L., Wang, L., Chung, J., Shen, A.Q., 2014. Flow-induced immobilization of glucose oxidase in nonionic micellar nanogels for glucose sensing. Lab on a Chip 14, 3912-3916. (doi:10.1039/c4lc00610)
  8. Zhao, Y., Cheung, P., Shen, A.Q., 2014. Microfluidic flows of wormlike micellar solutions. Advances in Colloid and Interface Science 211, 34-46 (doi:10.1016/j.cis.2014.05.005)
  9. Xu, L., Peng, J., Srinivasakannan, C., Zhang, L., D., Z., Liu, C., Wang, S., Shen, A.Q., 2014. Synthesis of copper nanoparticles by a T-shaped microfluidic device. RSC Advances 4, 25155-25159. (doi:10.1039/c4ra04247f)

4.2 Books and other one-time publications

Nothing to report

4.3 Oral and Poster Presentations

  1. Haward, SJ., Mckinley, GH., Shen, AQ. Experimental validation of an elastic instability criterion for viscoelastic fluids in a homogeneous planar elongational flow, Institute of Non-Newtonian Fluid Mechanics (INNFM) Annual Meeting, Wales, UK, March (2015).
  2. Galvin, CJ., Toda-Peters, K., Tsai, Hsieh-Fu, Shen, AQ. The Micro/Bio/Nanofluidics Unit at the OIST, International Workshop on Extended-Nano Fluidics, Tokyo, Japan. March (2015).
  3. Shen, AQ. Microfluidics assisted bio- and nano-materials synthesis, Department of Mechancial Engineering, University of Hong Kong, Hong Kong, March (2015). [Invited Seminar]
  4. Shen, AQ. Microfluidics assisted irreversible gelation in wormlike micellar solutions, Department of Chemical Engineering, Hong Kong University of Science and Technology, Hong Kong, March (2015). [Invited Seminar]
  5. Shen, AQ. Getting the mOIST from microfluidic platforms in applications for biomedicine and novel materials synthesis, Institute for Chemical Technology, Nelson Mandela Metropolitan University, South Africa, March (2015). [Invited Seminar]
  6. Shen, AQ. Getting the most from microfluidic platforms in biomedical applications, Sysmex Corporation, Kobe, Japan, February (2015). [Invited Seminar]
  7. Cruz, FA., Haward, SJ., Alves, MA., Mckinley, GH. Analysis of the onset of elastic instabilities in a homogeneous stagnation point flow using semi-dilute polymer solutions, San Francisco, USA, November (2015)
  8. Poole, RJ., Haward, SJ., Oliveira, PJ., Alves, MA. Symmetry-breaking bifurcations and enhanced mixing in microfluidic cross- slots, American Physical Society 67th Annual Division of Fluid Dynamics (APS-DFD) Meeting, San Francisco, USA, November (2015)
  9. Cardiel, JJ,., Zhao, Y., Shen, AQ. Flow induced irreversible gelation of ionic surfactants in a microfluidic device, The Society of Rheology, Fukui, Japan, October (2014).
  10. Beesabathuni, S.N., Lindberg, S.E., Wesner, C., Caggioni, M., Shen, AQ., Dynamics of the deformation of immiscible viscoelastic molten wax droplets at a liquid interface, The Society of Rheology, Fukui, Japan, October (2014).
  11. Beesabathumi, SN., Chung, JH., Shen, AQ. Microfluidics based conducting polymer polyaniline particles for glucose sensing, The Society of Rheology 86th Annual Meeting, Philadelphia, USA, October (2014).
  12. Cardiel, JJ., Zhao, Y., Dela Iglesia, P., Pozzo Lilo, D., Shen, AQ. Microstructure, temperature, aging and rheological studies of an ionic micellar structure composed by a p-p organic salt, The Society of Rheology 86th Annual Meeting, Philadelphia, USA, October (2014).
  13. Zhao, Y., Bai, T., Jiang, S., Shen, AQ. Self healing and thermo responsive zwitterionic copolymers, The Society of Rheology 86th Annual Meeting, Philadelphia, USA, October (2014).
  14. Zhao, Y., Shen, AQ. Linear and nonlinear rheology of wormlike micelles with cationic surfactant and organic hydrotropic salt mixture, The Society of Rheology 86th Annual Meeting, Philadelphia, USA, October (2014).
  15. Beesabathuni, S.N., Lindberg, S., Wesner, C., Caggioni, M., Shen, AQ., Manipulating particle shapes: Deformation and solidification of molten wax drops at an immiscible liquid interface,The Society of Rheology 86th Annual Meeting, Philadelphia, USA, October (2014).
  16. Shen, AQ.. Getting the mOIST from microfluidic platforms in applications for biomedicine and novel materials synthesis, Chemical Engineering Department, University of Pennsylvania, USA, October (2014). [Invited Seminar]
  17. Shen, AQ., Cardiel J., Dohnalkova A., Zhao Y., Microstructure and Rheology of a Flow-Induced Structured Phase in Wormlike Micellar Solutions, 6th Pacific Rim Conference on Rheology, Australia, July (2014).
  18. Shen, AQ., Cardiel J., Dohnalkova A., Zhao Y., Linear and nonlinear rheological behavior in wormlike micellar solutions with a strong hydrophobic salt, 6th Pacific Rim Conference on Rheology, Australia, July (2014).
  19. Shen, AQ., Microfluidic synthesis of functionalized nano- and bio-materials, Keynote talk, The 11th International Conference for Mesocopic Methods in Engineering and Science, New York, USA, July (2014).
  20. Shen, AQ., Microfluidics assisted irreversible Gelation in Wormlike Micellar Solutions, Department of Physics, New York University, July (2014). [Invited Seminar]
  21. Shen, AQ., Electro-conductive porous scaffold for pH sensing applications, CUNY Energy Institute, The City College of New York, July (2014). [Invited Seminar]
  22. Shen, AQ., Microfluidics assisted irreversible Gelation in Wormlike Micellar Solutions, Department of Physics, Georgetown University, May (2014). [Invited Seminar]
  23. Shen, AQ. Microfluidics assisted bio- and nano-materials synthesis, Department of Mechanical and Aerospace Engineering, George Washington University, May (2014). [Invited Seminar]

5. Intellectual Property Rights and Other Specific Achievements

Nothing to report

6. Meetings and Events

6.1 Seminar

1. Title: Planar Elongational Flow and Elastic Instabilities in an Optimized‐Shape Cross‐Slot Extensional Rheometer

  • Date: June 19, 2014
  • Venue: OIST, C209
  • Speaker: Dr. Simon J. Haward
  • Faculdade de Engenharia da Universidade do Porto, Portugal

2. Title: Through the Years with Nanomaterials - Investigation of Phenomena at Interfaces

  • Date: July 29, 2014
  • Venue: OIST, B503
  • Speaker: Dr. Rastko Joksimovic
  • Tohoku University, Japan

3. Title: Bio-inspired design of active and sensing materials and their integrated systems

  • Date: September 9, 2014
  • Venue: OIST, D014
  • Speaker: Prof. Minoru Taya
  • University of Washington, USA

4. Title: Design of energy-harvesting materials and systems

  • Date: September 11, 2014
  • Venue: OIST, D014
  • Speaker: Prof. Minoru Taya
  • University of Washington, USA

5. Title: Generation and Applications of Bubbles and Droplets in Microfluidic Systems

  • Date: September 17, 2014
  • Venue: OIST, D014
  • Speaker: Prof. Michinao Hashimoto
  • Singapore University of Technology and Design (SUTD), Singapore

6. Title: Observation and manipulation of the spatiotemporal dynamics of membrane proteins using nanofabricated
materials

  • Date: November 10, 2014
  • Venue: OIST, D015
  • Speaker: Mr. Hiroyuki Kai
  • Department of Chemistry, University of California, Berkeley, USA

7. Title: Understanding natural bionano machines and building artificial ones: Science and applications

  • Date: November 27, 2014
  • Venue: OIST, C015
  • Speaker: Dr. Jonathan Heddle
  • RIKEN, Japan

8. Title: Rheology of Triblock and Multiblock Copolymers

  • Date: December 9, 2014
  • Venue: OIST, B503
  • Speaker: Prof. Hiroshi Watanabe
  • Kyoto University, Tokyo

9. Title: Applications and Fabrication of Microfluidic Platforms

  • Date: December 18, 2014
  • Venue: OIST, D015
  • Speaker: Prof. Young Seok Song
  • Department of Fiber System Engineering, Dankook University, Korea

10. Title: The interplay of mutants in Aquaporins on Permeability Modulation

  • Date: December 19, 2014
  • Venue: OIST, D015
  • Speaker: Prof. Haibin Su
  • School of Materials Science and Engineering, Nanyang Technological University, Singapore

11. Title: Development and Application of New Micro and Nanotechnologies to Investigate Haptotaxis at the Cellular,
Molecular and Biophysical Levels

  • Date: March 11, 2015
  • Venue: OIST, C015
  • Speaker: Dr. Sébastien Ricoult
  • McGill University, Canada

12. Title: The Dynamics of Two Biological Interfaces

  • Date: March 27, 2015
  • Venue: OIST, C209
  • Speaker: Prof. Gerald G. Fuller
  • Stanford University, USA

7. Other

Nothing to report.