qsu FY2022 Annual Report 03
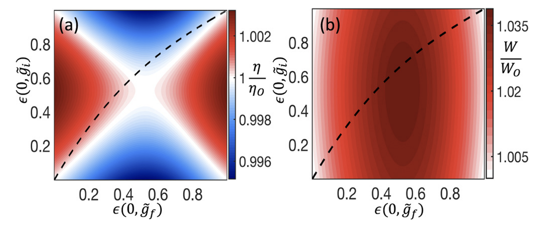
Figure: (a) Efficiency and (b) work output normalised to their respective Otto cycle values for an engine with a WM made of two interacting bosons as a function of the initial and the final interaction strength.
Publication:
Interaction enhanced quantum heat engine
Mohamed Boubakour, Thomás Fogarty, and Thomas Busch
Phys. Rev. Research 5, 013088 (2023)
Date:
11 March 2024
Copyright OIST (Okinawa Institute of Science and Technology Graduate University, 沖縄科学技術大学院大学). Creative Commons Attribution 4.0 International License (CC BY 4.0).