qsu FY2020 Annual Report 03

qsu FY2020 Annual Report 03

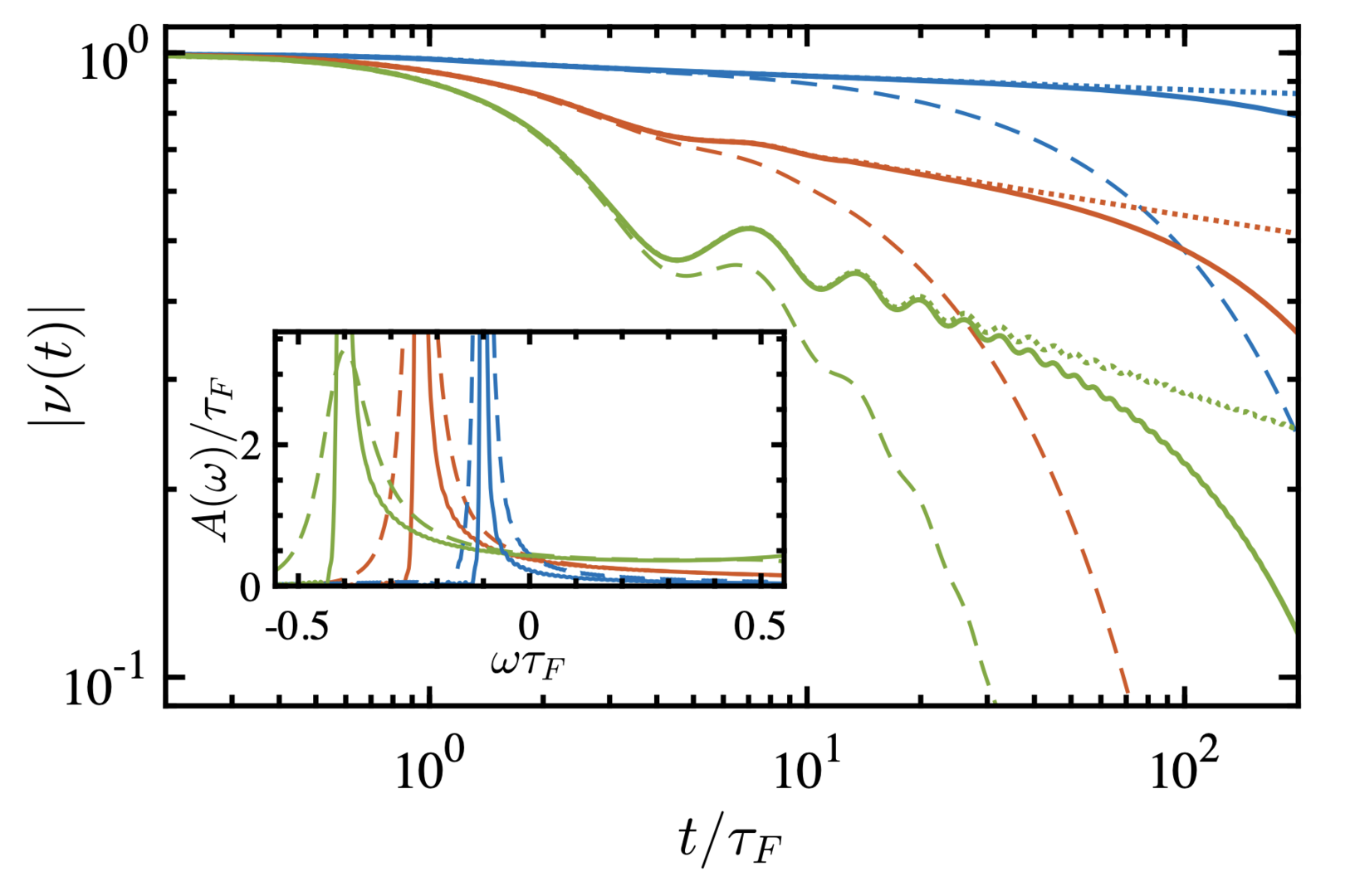
Figure: Decoherence functions (main) and absorption spectra (inset) for the homogeneous gas, with coupling kFa = -0.5 (blue), kFa = -1.5 (red), kFa = -6 (green) and temperature T=0 (dotted), T=0.01 TF (solid), and T=0.1 TF (dashed).

Publication:
In Situ Thermometry of a Cold Fermi Gas via Dephasing Impurities
M.T. Mitchison, T. Fogarty, G. Guarnieri, S. Campbell, Th. Busch, and J. Goold
Phys. Rev. Lett. 125, 080402 (2020)

Date:
07 March 2024
Share on: