qsu FY2019 Annual Report 09

qsu FY2019 Annual Report 09

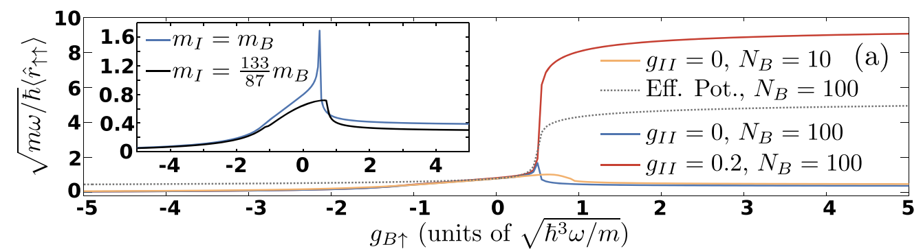
Figure:  Relative distance between the two bosonic impurities residing in the same pseudospin state for varying bath pseudospin interaction strength. The cases of two non-interacting, weakly interacting impurities as well as few and many bath particles are shown (see legend) for a mass-balanced system. The relative distance obtained from the effective potential picture given in eq. (9) in the publication for two non-interacting bosonic impurities is also shown (see legend). The inset shows the distance between two non-interacting impurities in the case of a mass-balanced and a mass-imbalanced system.

Publication:
Many-body quantum dynamics and induced correlations of Bose polarons
S. Mistakidis, G. Koutentakis, G. Katsimiga, Th. Busch, and P. Schmelcher
New. J. Phys. 22, 043007 (2020).

Date:
07 March 2024
Share on: