qsu FY2018 Annual Report 08

qsu FY2018 Annual Report 08

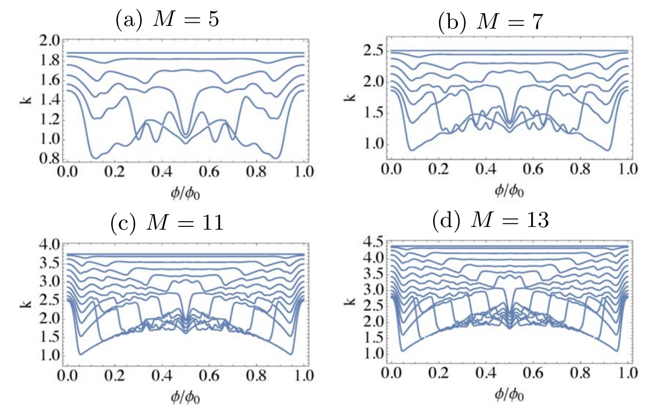
Figure: Quasimomentum spectra for systems with an increasing number M of scatterers, whose heights are modulated in a sinusoidal fashion. The emergence of a butterfly spectrum can be seen.

Publication:
Topological states in the Kronig-Penney model with arbitrary scattering potentials,
I. Reshodko, A. Benseny, J. Romhányi, and Th. Busch
New J. Phys. 21, 013010 (2019).

Date:
07 March 2024
Share on: