qsu FY2016 Annual Report 03
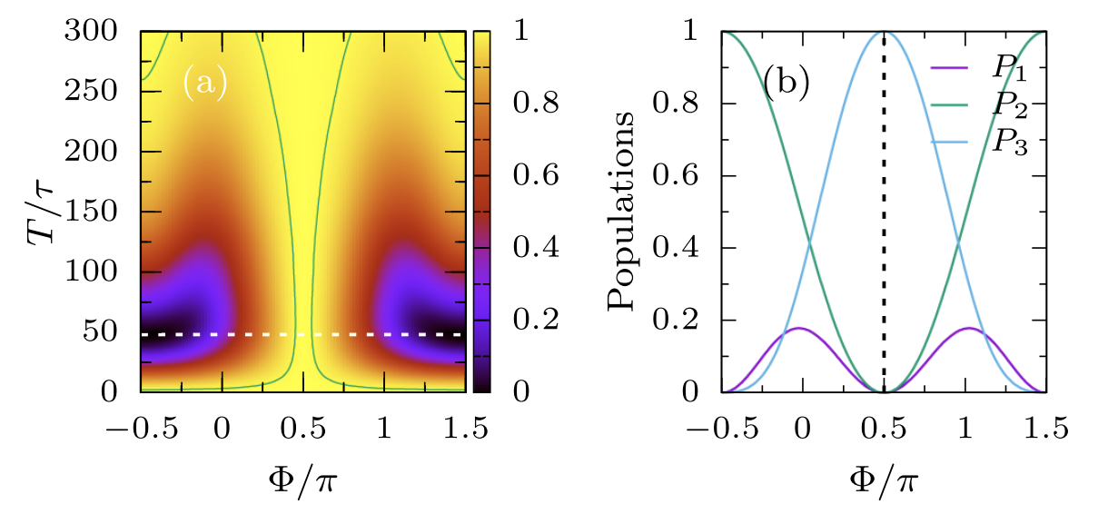
Figure: (a) Fidelity of the passage process as a function of the total time and the total magnetic phase traversing the system. The green contour line indicates the success rate of 99%. (b) Probabilities of population in each of the traps for T/τ = 48 (indicated by a dashed white line in (a)) as a function of the total magnetic phase traversing the system. The dashed black line indicates the optimal value of the phase Φ = π/2.
Publication:
Spatial non-adiabatic passage using geometric phases
Albert Benseny, Anthony Kiely, Yongping Zhang, Thomas Busch, and Andreas Ruschhaupt, Eur. Phys. J. Quantum Technol. 4:3 (2017)
Copyright OIST (Okinawa Institute of Science and Technology Graduate University, 沖縄科学技術大学院大学). Creative Commons Attribution 4.0 International License (CC BY 4.0).