qsu FY2014 Annual Report 03
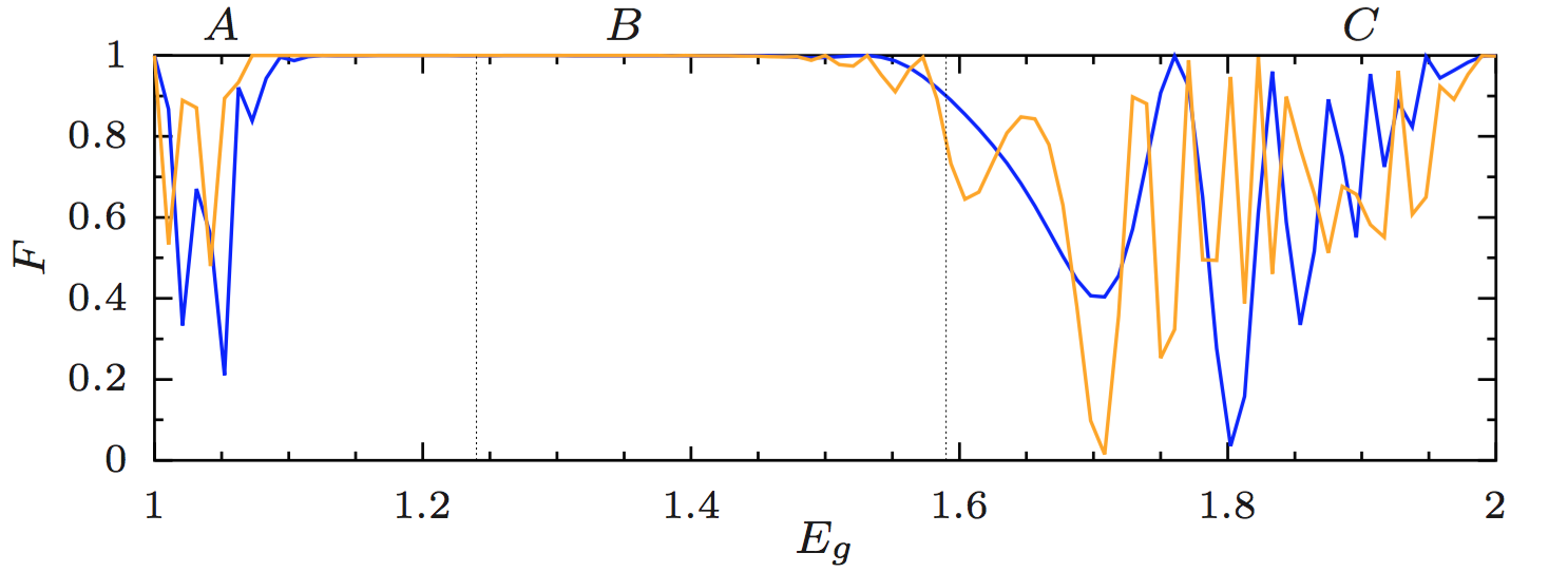
Figure: Fidelity of the spatial adiabatic passage for two interacting bosons as a function of their interaction. From the non-interacting case (Eg = 1) to the Tonks-Girardeau limit (Eg = 2). Blue and orange curves represent total times T = 4000 and T = 12000, respectively.
Date:
05 March 2024
Copyright OIST (Okinawa Institute of Science and Technology Graduate University, 沖縄科学技術大学院大学). Creative Commons Attribution 4.0 International License (CC BY 4.0).