qsu FY2022 Annual Report 04

qsu FY2022 Annual Report 04

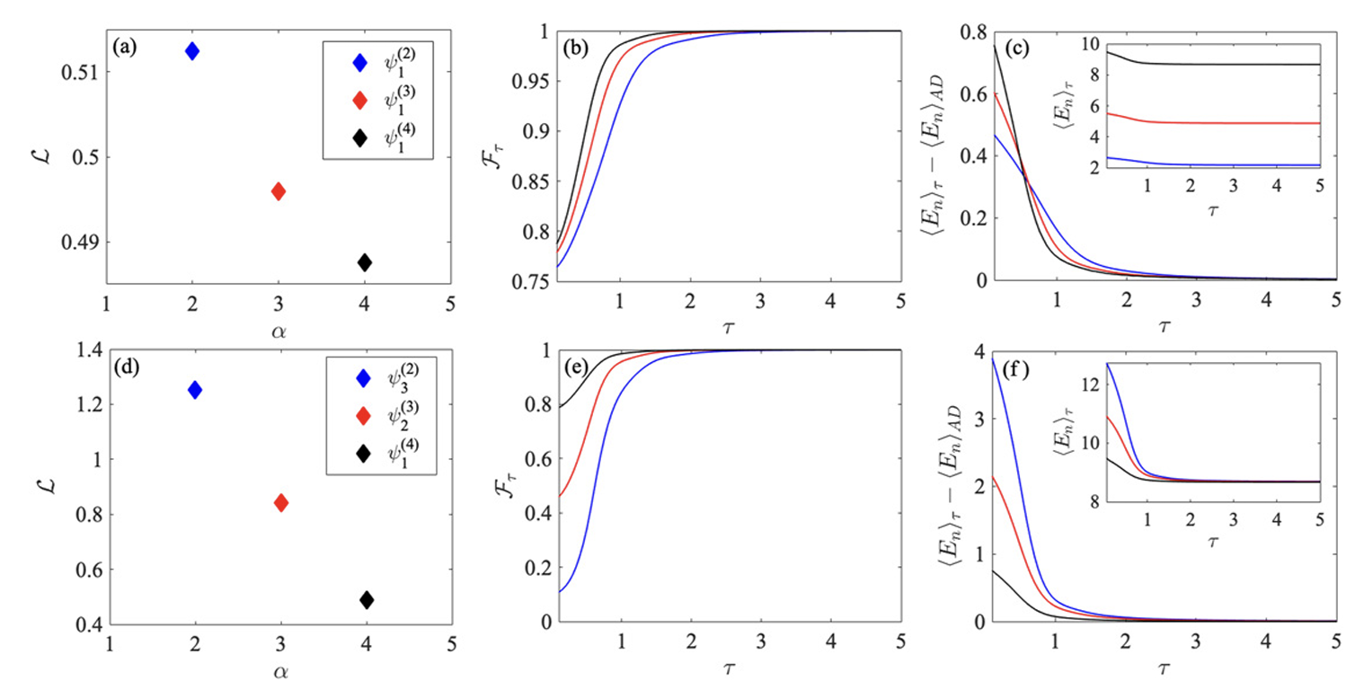
Figure: (a) and (d) Bures angle, (b) and (e) fidelity and (c) and (f) time averaged excess energy as a function of the ramp time τ. The insets in panels (c) and (f) show the time averaged energy. The states are taken from the first three partner Hamiltonians of the infinite box with (a)–(c) all of the ground state wavefunctions and (d)–(f) wavefunctions with an instantaneous energy. The y-axis scales differ significantly between the top and bottom rows, highlighting the differences between the two sets of states.

Publication:
Quantum control and quantum speed limits in supersymmetric potentials
Christopher Campbell, Jing Li, Thomas Busch, Thomás Fogarty
New J. Phys. 24 095001 (2022)

Date:
11 March 2024
Share on: