FY2018 Annual Report

Quantum Systems Unit

Professor Thomas Busch

qsu FY2018 Annual Report 01

Abstract

In the past year we have focused on vortex dynamics in Bose-Einstein condensates, quantum engineering of ultracold atom systems through shortcuts to adiabaticity, the description of quantum thermodynamics properties in strongly correlated quantum systems, spin-orbit coupled BECs and several other topics.

1. Staff

  • Dr. Angela White, Postdoctoral Scholar
  • Dr. Rashi Sachdeva, Postdoctoral Scholar
  • Dr. Thomás Fogarty, Postdoctoral Scholar
  • Dr. Pham Le Kien, Staff Scientist
  • Dr. Matthew Edmonds, JSPS Fellow
  • Dr. Jing Li, Postdoctoral Scholar
  • Dr. Bijita Sarma, Postdoctoral Scholar
  • Ms. Irina Reshodko, PhD Student
  • Mr. Jiabao Chen, PhD Student
  • Mr. James Schloss, PhD Student
  • Mr. Mathias Mikkelsen, PhD Student
  • Ms. Seyedeh Sahar Seyed Hejazi, PhD Student
  • Ms. Ayaka Usui, PhD Student
  • Mr. Christopher Campbell, PhD Student
  • Mr. Tim Keller, PhD Student
  • Ms. Friederike Metz, PhD Student
  • Mr. Lewis Ruks, PhD Student
  • Ms. Leilee Chojnacki, PhD Student
  • Ms. Sawako Koki, Research Unit Administrator

Rotation Students

  • Mr. Tim Keller (January-April, 2018)
  • Mr. Lewis Ruks (January-April, 2018)
  • Mr. Muhammad Sirajul Hasan (September-December, 2018)
  • Ms. Leilee Chojnacki (September-December, 2018)

Research Interns

  • Mr. Peter Barnett, University of Otago, New Zealand (Jan 10 - May 09, 2018)
  • Mr. Maksim Borovkov, Moscow Institute of Physics and Technology, Russia (Apr 05 - Aug 16, 2018)
  • Mr. Jameson O'Reilly, Northeastern University, USA (June 12 - Aug 31, 2018)
  • Ms. Lisa Mickel, University of Hamburg, Germany (July 09 - Sep 21, 2018)
  • Ms. Tatyana Yakovleva, Novosibirsk State University, Russia (July 04 - Sep 27, 2018)
  • Mr. Alan Kahan, FAMAF - Universidad Nacional de Córdoba, Argentina (Aug 15, 2018 - Feb 14, 2019 )
  • Ms. Sheilla de Oliveira Margues, University of Minas Greais (UFMG), Brazil (Jan 07 - Jul 05, 2019)
  • Mr. Daniel Wong, University of Waterloo, Canata (Feb 01 - Jun 28, 2019)

2. Collaborations 

2.1 Quantum Thermodynamics

  • Type of collaboration: Joint research
  • Researchers:
    • Prof. S. Campbell, University College Dublin, Ireland
    • Prof. J. Goold. Trinity College Dublin, Ireland

2.2 Spin-Orbit Coupling in Strongly Correlated Gases

  • Type of collaboration: Joint research
  • Researchers:
    • Prof. S. Gardiner, Durham University, UK

2.3 Shortcuts to adiabaticity

  • Type of collaboration: Joint research
  • Researchers:
    • Dr. A. Ruschhaupt, University College Cork, Ireland
    • Prof. Xi Chen, Shanghai University, China

2.4 Cold atoms and optical nanofibers

  • Type of collaboration: Joint research
  • Researchers:
    • Prof. Sile Nic Chormaic, OIST Graduate University, Japan

2.5 Nonlinear optomechanics

  • Type of collaboration: Joint research
  • Researchers:
    • Prof. Jason Twamley, Macquarie University, Sydney, Australia

2.6 Topological States

  • Type of collaboration: Joint research
  • Researchers:
    • Dr. J. Romhányi,OIST Graduate University, Japan

3. Activities and Findings 

3.1 Entanglement in Spatial Adiabatic Processes for Interacting Atoms

We have studied the dynamics of the non-classical correlations for few atom systems in the presence of strong interactions for a number of recently developed adiabatic state preparation protocols. Through this we were able to show that entanglement can be created in a controlled fashion and can be attributed to two distinct sources, the atom–atom interaction and the distribution of atoms among different traps.

qsu FY2018 Annual Report 02
Figure: Von Neumann entropy of different states (see legend) as a function of the interaction energy. The arrows represent the changes in entropy during the spatial adiabatic passage processes we studied Publication:
Entanglement in Spatial Adiabatic Processes for Interacting Atoms,
A. Benseny, I. Reshodko and Th. Busch , Few-Body Systems 59, 48 (2018).

3.2 Chiral force of guided light on an atom

We have calculated the force of a near-resonant guided light field of an ultrathin optical fiber on a two-level atom. If the atomic dipole rotates in the meridional plane, the magnitude of the force of the guided light depends on the field propagation direction and the chirality of the force arises as a consequence of the directional dependencies of the Rabi frequency of the guided driving field and the rate of the spontaneous emission from the atom. This work points out a unique method for controlling atomic motion in the vicinity of an ultrathin fiber.

qsu FY2018 Annual Report 03
Figure: Radial dependence of the asymmetry parameter for the axial forces for the opposite propagation directions along the fibre. The inset shows the asymmetry in the limit of large distances from the fibre surface. Publication:
Chiral force of guided light on an atom,
F. Le Kien, S.S.S. Hejazi, V.G. Truong, S. Nic Chormaic, and Th. Busch
Phys. Rev. A 97, 063849 (2018).

3.3 Force of light on a two-level atom near an ultrathin optical fiber

We have studied the force of light on a two-level atom near an ultrathin optical fiber using the mode function method and the Green tensor technique. Doing this we were able to show that the total force consists of the driving-field force, the spontaneous-emission recoil force, and the fiber-induced van der Waals potential force. Due to the existence of a nonzero axial component of the field in a guided mode, the Rabi frequency and, hence, the magnitude of the force of the guided driving field can depend on the propagation direction. When the atomic dipole rotates in the meridional plane, the spontaneous-emission recoil force may arise as a result of the asymmetric spontaneous emission with respect to opposite propagation directions. The van der Waals potential for the atom in the ground state is off-resonant and opposite to the off-resonant part of the van der Waals potential for the atom in the excited state. Unlike the potential for the ground state, the potential for the excited state may oscillate depending on the distance from the atom to the fiber surface.

qsu FY2018 Annual Report 04
Figure: Two-dimensional spatial profile of the axial component of the spontaneous-emission recoil force on an atom with a complex dipole matrix element. Publication:
Force of light on a two-level atom near an ultrathin optical fiber,
F. Le Kien, D.F. Kornovan, S.S.S. Hejazi, V.G. Truong, M.I. Petrov, S. Nic Chormaic and Th. Busch
New J. Phys. 20, 093031 (2018).

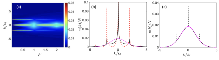
3.4 Static and dynamic phases of a Tonks–Girardeau gas in an optical lattice

We have investigated the properties of a Tonks–Girardeau gas in the presence of a one-dimensional lattice potential. Such a system is known to exhibit a pinning transition when the lattice is commensurate with the particle density, leading to the formation of an insulating state even at infinitesimally small lattice depths. We have examined the properties of the gas at all lattices depths and, in addition to the static properties, also considered the non-adiabatic dynamics induced by the sudden motion of the lattice potential with a constant speed. This work provides a continuum counterpart to the work done in discrete lattice models.

qsu FY2018 Annual Report 05
Figure: (a) Normalized momentum distribution of the TG gas as a function of the filling factor. (b) Momentum distribution for filling factors F = 1 (magenta line), F = 2/5 (dashed red line) and F = 7/5 (black line). (c) Momentum distribution for filling factors F = 1 (magenta line) and F = 49/50 (dashed black line). Publication:
Static and dynamic phases of a Tonks–Girardeau gas in an optical lattice,
M. Mikkelsen, T. Fogarty, and Th. Busch
New J. Phys. 20, 113011 (2018).

3.5 Two-leg-ladder Bose-Hubbard models with staggered fluxes

We have investigated the ground-state properties of ultracold atoms trapped in a two-leg ladder potential in the presence of an artificial magnetic field in a staggered configuration. This work focused on the strongly interacting regime and used the Landau theory of phase transitions and a mean field Gutzwiller variational method to identify the stable superfluid phases and their boundaries with the Mott-insulator regime as a function of magnetic flux. In addition, calculated the local and chiral currents of these superfluid phases, which show a staggered vortex-antivortex configuration. The analytical results were confirmed by numerical simulations using a cluster mean-field-theory approach.

qsu FY2018 Annual Report 06
Figure: Phase diagram for the two-leg ladder Bose-Hubbard model in the presence of a staggered flux of magnitude α for unit filling factor using Landau theory. The solid (red) curve marks the boundary between the Mott-insulator and the different superfluid phases for K = J = 1.0. The region below the solid (red) curve comprises of two types of superfluids, which are separated by green dashed lines. The dashed (blue) lines and dotted (black) lines mark the phase boundaries for J = 1 and K = 0.5 and 1.5, respectively. Here J is the intra-leg and K the inter-leg hopping amplitude. Publication:
Two-leg-ladder Bose-Hubbard models with staggered fluxes,
R. Sachdeva, F. Metz, M. Singh, T. Mishra, and Th. Busch
Phys. Rev. A 98, 063612 (2018).

3.6 Noise-free generation of bright matter-wave solitons

We have shown how access to sufficiently flexible trapping potentials could be exploited in the generation of three-dimensional atomic bright matter-wave solitons. Our proposal provides a route towards producing bright solitonic states with good fidelity, in contrast to, for example, a nonadiabatic sweeping of an applied magnetic field through a Feshbach resonance.

qsu FY2018 Annual Report 07
Figure: Schematic representation of the soliton engineering protocol. The yellow surfaces represent contours of constant energy of the tailored trapping potential [see Eqs. (6) and (11) in the publication] and the red ellipsoid is the resulting ground-state soliton. The two arrows are indicative of two lasers, used to form, for example, a hypothetical three-dimensional painted trapping potential. Publication:
Noise-free generation of bright matter-wave solitons,
M.J. Edmonds, T.P. Billam, S.A. Gardiner, and Th. Busch
Phys. Rev. A 98, 063626 (2018).

3.7 Topological states in the Kronig-Penney model with arbitrary scattering potentials

We have used an exact solution to the fundamental finite Kronig–Penney model with arbitrary positions and strengths of scattering sites to show that this iconic model can possess topologically nontrivial properties. By using free parameters of the system as extra dimensions we have demonstrated the appearance of topologically protected edge states as well as the emergence of a Hofstadter butterfly-like quasimomentum spectrum, even in the case of small numbers of scattering sites. We have investigated the behavior of the system in the weak and strong scattering regimes and observed drastically different shapes of the quasimomentum spectrum.

qsu FY2018 Annual Report 08
Figure: Quasimomentum spectra for systems with an increasing number M of scatterers, whose heights are modulated in a sinusoidal fashion. The emergence of a butterfly spectrum can be seen. Publication:
Topological states in the Kronig-Penney model with arbitrary scattering potentials,
I. Reshodko, A. Benseny, J. Romhányi, and Th. Busch
New J. Phys. 21, 013010 (2019).

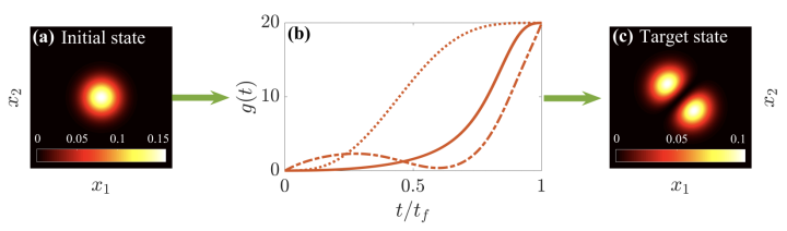
3.8 Fast control of interactions in an ultracold two atom system: Managing correlations and irreversibility

We have designed and explored a shortcut to adiabaticity (STA) for changing the interaction strength between two ultracold, harmonically trapped bosons. Starting from initially uncorrelated, non-interacting particles, we assume a time-dependent tuning of the inter-particle interaction through a Feshbach resonance, such that the two particles are strongly interacting at the end of the driving. The efficiency of the STA has been then quantified by examining the thermodynamic properties of the system, such as the irreversible work, which is related to the out-of-equilibrium excitations in the system. We have also quantified the entanglement of the two-particle state through the von Neumann entropy and shown that the entanglement produced in the STA process matches that of the desired target state. Given the fundamental nature of the two-atom problem in ultracold atomic physics, we expect the shortcut we presented to have significant impact on many processes that rely on inter-particle interactions.

qsu FY2018 Annual Report 09
Figure: (a) Density of the initial state, which is the uncorrelated non-interacting two-particle groundstate. (b) Time dependence of the interaction parameter as given by the STA for a process time of tf = 10 (solid line) and tf = 1 (dash-dotted line), and by a reference function (dotted line), for a final interaction of gf = 20. (c) Density of the desired final state at gf = 20. Publication:
Fast control of interactions in an ultracold two atom system: Managing correlations and irreversibility,
T. Fogarty, L. Ruks, J. Li, and Th. Busch
SciPost Phys. 6, 021 (2019).

4. Publications

4.1 Journal

  1. Entanglement in Spatial Adiabatic Processes for Interacting Atoms
    Albert Benseny, Irina Reshodko, and Thomas Busch
    Few-Body Syst. 59, 48 (2018)
  2. Non-integrable dynamics of matter-wave solitons in a density-dependent gauge theory
    R J Dingwall, M J Edmonds, J L Helm, B A Malomed and P Öhberg
    New J. Phys. 20, 043004 (2018)
  3. Nanofiber quantum photonics
    Kali P Nayak, Mark Sadgrove, Ramachandrarao Yalla, Fam Le Kien and Kohzo Hakuta
    J. Opt. 20, 073011 (2018)
  4. Chiral force of guided light on an atom
    Fam Le Kien, S. Sahar S. Hejazi, Viet Giang Truong, Síle Nic Chormaic, and Thomas Busch
    Phys. Rev. A97, 063849 (2018)
  5. Force of light on a two-level atom near an ultrathin optical fiber
    Fam Le Kien, D F Kornovan, S Sahar S Hejazi, Viet Giang Truong, M I Petrov, Sile Nic Chormaic, Thomas Busch
    New J. Phys. 20, 093031 (2018)
  6. Static and dynamic phases of a Tonks-Girardeau gas in an optical lattice
    Mathias Mikkelsen, Thomás Fogarty, Thomas Busch
    New J. Phys. 20, 113011 (2018)
  7. Two-leg ladder Bose Hubbard models with staggered fluxes
    Rashi Sachdeva, Friederike Metz, Manpreet Singh, Tapan Mishra, Thomas Busch
    Phys. Rev. A 98, 06361 (2018)
  8. Noise-Free Generation of Bright Matter-Wave Solitons
    M. J. Edmonds, T. P. Billam, S. A. Gardiner, Th. Busch
    Phys. Rev. A 98, 063626 (2018)
  9. GPUE: Graphics Processing Unit Gross--Pitaevskii Equation solver
    James Schloss and Lee James O'Riordan
    Journal of Open Source Software (2018)
  10. Topological states in the Kronig-Penney model with arbitrary scattering potentials
    Irina Reshodko, Albert Benseny, Judit Romhányi, Thomas Busch
    New. J. Phys. 21, 013010 (2019)
  11. Fast control of interactions in an ultracold two atom system: Managing correlations and irreversibility
    Thomás Fogarty, Lewis Ruks, Jing Li, and Thomas Busch
    SciPost Phys. 6, 021 (2019)

4.2 Books and other one-time publications

Nothing to report

4.3 Oral and Poster Presentations

4.3.1 Conference Invited Talk

  1. White, A. Superfluidity in Bose-Einstein condensates beyond the standard azimuthal flow, in Chasing tornadoes: vorticity above, below and in the Lab, Newcastle University, UK. 10 April (2018).
  2. Fogarty, T. Thermodynamics of a Tonks-Girardeau Heat Engine, in Quantum Control and Ultracold Atomic Gases, Shanghai University, China, 10 May (2018).
  3. Fogarty, T. Designing efficient Dynamical Processes, in Quantum Information, Quantum Computing and Quantum Control, Shanghai University, China, 8 November (2018)

4.3.2 Conference Oral Presentation

  1. Sachdeva, R. Engineering artificial gauge fields using nanofiber BEC quantum hybrid syste, in International Conference on challenges in Quantum Information Science (CQIS2018), National Center of Science, Japan, 9 April (2018).
  2. Sachdeva, R. Bose Hubbard model in artificial magnetic fields, in Coherent Control of Complex Quantum Systems (C3QS 2018), OIST, Japan 17 April (2018).
  3. Fogarty, T. Shortcuts to adiabaticity for interacting few body systems, in Small and Medium Sized Cold Atom Systems, Benasque, Spain, 3 August (2018).
  4. Busch, T. Topological states for ultracold atoms in the Kronig-Penny model with artitrary scattering potentials, in JPS 73rd Annual Meeting, Kyushu University, Fukuoka, Japan, 15 March (2019).
  5. Fogarty, T. Designing efficient dynamical processes with many-body systems, in JPS 73rd Annual Meeting, Kyushu University, Fukuoka, Japan, 16 March (2019).
  6. Usui, A. Quench dynamics in a two-particle system with a synthetic spin-obit coupling, in JPS 73rd Annual Meeting, Kyushu University, Fukuoka, Japan, 16 March (2019).

4.3.3 Conference Poster Presentation

  1. Li, J., Chen, X., Gu ́ery-Odelin, D. & Muga, J. G.  Fast transport of Bose-Einstein condensates in anharmonic traps, International Conference on Challenges in Quantum Information Science (CQIS2018), National Center of Science, Japan (2018).
  2. Edmonds, M. J., Helm, J., Campbell, C. & Busch, T. Towards stable soliton molecule complexes using dynamical matter-wave potentials, Coherent Control of Complex Quantum Systems (C3QS), OIST, Japan (2018).
  3. Fogarty, T. & Busch, T. Many-body supremacy of a Tonks-Girardeau heat engine at criticality, Coherent Control of Complex Quantum Systems (C3QS), OIST, Japan (2018).
  4. Li, J., Chen, X., Gu ́ery-Odelin, D. & Muga, J. G. Fast transport of Bose-Einstein condensates in anharmonic traps, Coherent Control of Complex Quantum Systems (C3QS), OIST, Japan (2018).
  5. Mikkelsen, M., Fogarty, T. & Busch, T. Phases of the Tonks-Girardeau gas in an optical lattice: Statics and Driven Dynamics, Coherent Control of Complex Quantum Systems (C3QS), OIST, Japan (2018).
  6. Reshodko, I., Benseny C., A., Gillet, J. & Busch, T. High-fidelity Creation of Two-particle Quantum States Via Spatial Adiabatic Passage, Coherent Control of Complex Quantum Systems (C3QS), OIST, Japan
  7. S. Hejazi, S. S., Le Kien, F., Busch, T., Truong, V. G. & Nic Chormaic, S. Chiral force of guided light, Coherent Control of Complex Quantum Systems (C3QS), OIST, Japan (2018).
  8. Sachdeva, R., Schloss, J., O'Riordan, L. & Busch, T. Vortex structures in Bose-Einstein condensates generated by the evanescent field of optical nanofibers, Coherent Control of Complex Quantum Systems (C3QS), OIST, Japan (2018).
  9. Usui, A., Fogarty, T. & Busch, T. Quench dynamics in a two-particle system with a synthetic spin-orbit coupling, Coherent Control of Complex Quantum Systems (C3QS), OIST, Japan (2018).
  10. White, A., Zhang, Y., Hennessy, T. & Busch, T. Multicomponent Bose-Einstein condensates in toroidally trapped geometries, Coherent Control of Complex Quantum Systems (C3QS), OIST, Japan (2018).
  11. Metz, F., Sachdeva, R., Singh, M., Mishra, T. & Busch, T. Staggered fluxes for Bose Hubbard model in two-leg ladder configuration, ICAP2018 Summer School, Barcelona, Spain (2018).
  12. Metz, F., Sachdeva, R., Singh, M., Mishra, T. & Busch, T. Staggered fluxes for Bose Hubbard model in two-leg ladder configuration, The 26th International Conference on Atomic Physics (ICAP 2018), Barcelona, Spain (2018).
  13. Usui, A., Fogarty, T. & Busch, T. Quench dynamics in a two-particle system with a combination of synthetic spin-orbit coupling and Raman coupling, The 26th International Conference on Atomic Physics (ICAP 2018), Barcelona, Spain (2018).
  14. Edmonds, M. J., Helm, J. L. & Busch, T. A mobile soliton-impurity system in an attractive binary quantum gas, International Symposium on Quantum Fluids and Solids, International Symposium on Quantum Fluids and Solids, Tokyo, Japan (2018).
  15. Usui, A., Fogarty, T. & Busch, T.  Quench dynamics in a two-particle system with a combination of synthetic spin-orbit coupling and Raman coupling, Small and Medium Sized Cold Atom Systems, Benasque, Spain (2018).
  16. Edmonds, M. J., Billam, T. P., Gardiner, S. A. & Busch, T. Noise-Free Generation of Bright Matter-Wave Solitons, Okinawa School in Physics: Coherent Quantum Dynamic (CQD), OIST, Okinawa Japan (2018).
  17. Edmonds, M. J., Helm, J. L. & Busch, T. A mobile soliton-impurity system in an attractive binary quantum gas, Okinawa School in Physics: Coherent Quantum Dynamic (CQD), OIST, Okinawa Japan (2018).
  18. Le Kien, F., S. Hejazi, S. S., Busch, T. & Nic Chormaic, S. Chiral force of guided light, Okinawa School in Physics: Coherent Quantum Dynamic (CQD), OIST, Okinawa Japan (2018).
  19. Usui, A., Fogarty, T. & Busch, T. Quench dynamics in a two-particle system with a combination of synthetic spin-orbit coupling and Raman coupling, Okinawa School in Physics: Coherent Quantum Dynamic (CQD), OIST, Okinawa Japan (2018).
  20. Fogarty, T., Li, J., Ruks, L. & Busch, T.Efficient dynamical processes with interacting systems, Research Frontiers in Ultracold Quantum Gases, Bad Honnef, Germany (2018).
  21. Keller, T., Fogarty, T. & Busch, T. An efficient nonlinear Feshbach engine, Australian and New Zealand School in Ultracold Physics, University of Otago, Dunedin, New Zealand (2019).
  22. Fogarty, T. & Busch, T. A many-body quantum heat engine, The 11th International Workshop on Fundamental Physics Using Atoms (FPUA), OIST, Okinawa, Japan (2019).
  23. Keller, T., Fogarty, T. & Busch, T. An efficient nonlinear Feshbach engine, The 11th International Workshop on Fundamental Physics Using Atoms (FPUA), OIST, Okinawa, Japan (2019).
  24. Metz, F., Sachdeva, R., Singh, M., Mishra, T. & Busch, T. Staggered fluxes for Bose Hubbard model in two-leg ladder configuration, The 11th International Workshop on Fundamental Physics Using Atoms (FPUA), OIST, Okinawa, Japan (2019).
  25. Usui, A., Buča, B. & Mur-Petit, J. Quantum probe spectroscopy for cold atomic systems, The 11th International Workshop on Fundamental Physics Using Atoms (FPUA), OIST, Okinawa, Japan (2019).
  26. Le Kien, F., S. Hejazi, S. S., Busch, T. & Nic Chormaic, S. Chiral force of guided light, The 11th International Workshop on Fundamental Physics Using Atoms (FPUA), OIST, Okinawa Japan (2019).
  27. Ruks, L., Fam, L. K. & Busch, T. Nanofiber-mediated optical binding between atoms, ColOpt Winterschool 2019, Herrsching, Munich, Germany (2019).
  28. Chojnacki, L., Reshodko, I. & Busch, T. Topological edge states in a Finite Kronig-Penny model, ITAMP Winter School 2019: Dynamics of Quantum Many Body systems, Biosphere 2 campus of the University of Arizona, USA (2019).

4.3.4 Seminar

  1. Busch, T. Efficient Quantum Engines in Interacting Ultracold Gases, ICFO, Spain, 8 April (2018).
  2. Sachdeva, R. Bose-Einstein condensates in optical lattices with artificial magnetic fields, Indian Institute of Science, Education and Research, Mohali, India, 3 May (2018).
  3. Sachdeva, R. Bose-Einstein condensates in optical lattices with artificial magnetic fields, Indian Institute of Technology, Hyderabad, India, 7 May (2018).
  4. Sachdeva, R. Bose-Einstein condensates in optical lattices with artificial magnetic fields, University of Hyderabad, India, 9 May (2018).
  5. Fogarty, T. Efficient processes with interacting systems, Trinity College Dublin, Ireland, 27 July (2018).
  6. Sachdeva, R. Creating superfluid vortex rings in artificial magnetic fields using optical nanofibers, Waseda University, Japan, 16 October (2018).
  7. Sachdeva, R. Bose Einstein condensates in optical lattices in artificial magnetic fields, The University of Tokyo, Japan, 18 October (2018).
  8. Metz, F. Staggered fluxes for Bose-Hubbard model in two-leg ladder configuration, Shanghai University, China, 25 October (2018).
  9. Usui, A. Quench dynamics of two-particle systems with synthetic spin-orbit coupling, Shanghai University, China, 25 October (2018).
  10. Li, J. Fast control of interactions in an ultracold few-body system: Managing correlations and irreversibility, Shanghai University, China, 7 December (2018).
  11. Metz, F. Staggered fluxes for Bose-Hubbard model in two-leg ladder configuration, Hamburg University, Germany, 14 December (2018).
  12. Sachdeva, R. Quantum simulation and engineering using Bose-Einstein condensates in optical lattices, Indian Institute of Technology, Hyderabad, India, 9 January (2019).

5. Intellectual Property Rights and Other Specific Achievements

Nothing to report

6. Seminar, Meetings and Events

6.1 Seminar

6.1.1 Beyond the Thomas-Fermi approximation Inhomogeneity corrections without a gradient expansion

  • Date: May 24, 2018
  • Venue: OIST Campus Lab 3
  • Speaker: Berthold-Georg Englert (Professor, Centre for Quantum Technologies, National University of Singapore, Singapore)

 6.1.2 Field-Induced Dipole-Dipole Interaction for the Condensation of Spin-Orbital Coupled Polar Molecules

  • Date: October 9, 2018
  • Venue: OIST Campus Lab 1
  • Speaker: Gary (I-Kang) Liu (Postdoc, National Changhua University of Education, Taiwan)

6.1.3 Cooperative light scattering in cold atomic clouds

  • Date: February 1, 2019
  • Venue: OIST Campus Center Building
  • Speaker: Romain Bachelard (Professor, University of São Paulo, Brazil

6.1.4 Fano resonances in plasmonic core-shell nanostructures and the Purcell effect

  • Date: February 5, 2019
  • Venue: OIST Campus Lab 1
  • Speaker: Tiago J. Arruda (Postdoc, University of São Paulo, Brazil)

6.1.5 Knotted optical vortices and polarisation structures and their interaction with matter waves

  • Date: February 12, 2019
  • Venue: OIST Campus Lab 1
  • Speaker: Simon Gardiner (Professor, Durham Univesity, UK)

6.2 Meetings and Events

6.2.1 Okinawa School in Physics 2018: Coherent Quantum Dynamics (CQD2018)

  • Date: September 25 - October 3, 2018
  • Venue: OIST Seaside House
  • Co-sponsor: ImPACT program, Council for Science, Technology and Innovation (CSTI)
  • Co-organizers:
    • Thomas Busch OIST Graduate University: Organising and Programme Committee
    • Síle Nic Chormaic OIST Graduate University: Organising and Programme Committee
    • Yasunobu Nakamura The University of Tokyo: Programme Committee
    • Yoshiro Takahashi Kyoto University: Programme Committee

6.2.2 The 11th International Workshop on Fundamental Physics Using Atoms

  • Date: March 1 - March 4, 2019
  • Venue: OIST Main Campus, Seminar Room B250
  • Co-sponsor: Research Institute for Interdisciplinary Science (RIIS), Okayama University
  • Co-organizers:
    • Noboru Sasao (co-chair) Okayama University
    • Thomas Busch (co-chair) OIST
    • Yasuhiro Sakemi   CNS, Univeristy of Tokyo
    • Síle Nic Chormaic OIST
    • Koichiro Asahi RIKEN
    • Motohiko Yoshimura Okayama Univeristy
    • Kazuhiko Sugiyama Kyoto Univeristy
    • Satoshi Uetake Okayama Univeristy
    • Satoshi Iso KEK

7. Other

Nothing to report.