FY2014 Annual Report

Quantum Systems Unit

Associate Professor Thomas Busch

qsu FY2014 Annual Report 01

Abstract

Out work has in the recent year focused on two main strands. One deals with the superfluid properties of Bose-Einstein condensates, in particular in relation to controlling vortex and persistent flow states , and the other looks at the developement of techniques to control strongly correlated quantum systems. At the same time we are still working on ideas relating to quantum hybrid systems, quantum walks, and spin-orbit coupling physics.

1. Staff

  • Dr. Chandrashekar Madaiah, Researcher
  • Dr. Jérémie Gillet, Researcher
  • Dr. Zhang Yongping, Researcher
  • Dr. Albert Benseny Cases, Researcher
  • Dr. Angela White, Researcher
  • Dr. Rashi Sachdeva, Researcher
  • Dr. Marta Abad Garcia, Researcher
  • Ms. Tara Hennessy, Student
  • Mr. Lee O'Riordarn, Student
  • Ms. Sawako Koki, Research Administrator

Rotation Students

  • Ms. Irina Reshodko (September - December, 2014)
  • Ms. Yuna Hattori (January - April, 2015)
  • Mr. James Schloss (January - April, 2015)

Research Interns

  • Ms. Nitica Sakharwade, Indian Institute of Technology Kanpur, India (May 12, 2014 - July 18, 2014)
  • Mr. Jacob Swain, University of Oxford, UK (July 1, 2014 - August 30)
  • Mr. Alan Miscampbell, University of Oxford, UK (July 1, 2014 - August 30)
  • Mr. Adrian David, University of Oxford, UK (October 6, 2014 - December 19, 2014)
  • Ms. Tania Loke, Research Intern, University of Western Australia (December 1, 2014 - February 6, 2015)

2. Collaborations

  • Theme: Muti-dimensional SAP
    • Type of collaboration: Joint research
    • Researchers:
      • J. Mompart, Universitat Autonoma de Barcelona, Spain
      • V. Ahufinger, Universitat Autonoma de Barcelona, Spain 
  • Theme: Quantum Thermodynamics
    • Type of collaboration: Joint research
    • Researchers:
      • M. Paternostro, Queen's University Belfast, Northern Ireland
  • Theme: Creating non-classical many-body states using shortcuts to adiabticity
    • Type of collaboration: Joint research
    • Researchers:
      • G. Muga, Bilbao University, Spain
  • Theme: Spin-Orbit Coupling in Bose-Einstein condensates
    • Type of collaboration: Joint research
    • Researchers:
      • P. Engels, Washington State University, US

3. Activities and Findings

3.1 Emergence of classical rotation in superfluid Bose-Einstein Condensates

Phase transitions can modify quantum behavior on mesoscopic scales and give access to new and unusual quantum dynamics. In this project we have investigated the superfluid properties of a rotating two component Bose-Einstein condensate as a function of changes in the interaction energy and in particular through the phase transition from miscibility to immiscibility. We have shown that the breaking of one of the hallmarks of superfluid flow, namely the quantisation condition on circulation, is continuous throughout an azimuthal phase separation process and displays intriguing density dynamics. The resulting currents are stable for long times and possess a phase boundary that exhibits classical solid body rotation, despite the quantum nature of superfluid flow. To support this co-existence of classical and quantum behavior the system develops a unique velocity flow profile, which includes unusual radial flow in regions near the phase boundary.

qsu FY2014 Annual Report 02
Figure: Decomposition of the condensate velocity into (a) azimuthal and (b) radial components. The development of a radial component is required to adjust the 1/r velocity profile to allow solid body rotation.

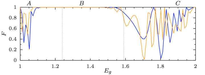
3.2 Two particles spatial adiabatic passage

Quantum information processing requires control over the quantum state of interacting particles to a high degree of fidelity. This is also an important ability to have in the quest for understanding fundamental properties of non-classical states. We have studied a system of two ultra-cold bosons in a triple well, and shown that, thanks to the inter-particle interaction, isolated energy bands appear that allow to easily generalize known single-particle techniques. We have demonstrated this for the well known spatial adiabatic passage effect, which can control the centre-of-mass state of atoms with high fidelity.

qsu FY2014 Annual Report 03
Figure: Fidelity of the spatial adiabatic passage for two interacting bosons as a function of their interaction. From the non-interacting case (Eg = 1) to the Tonks-Girardeau limit (Eg = 2). Blue and orange curves represent total times T = 4000 and T = 12000, respectively.

3.3 Spatial adiabatic passage in cylindically symmetric potentials

We have investigated spatial adiabatic passage processes for ultra-cold atoms trapped in tunnel-coupled cylindrically symmetric concentric potentials. We studied the matter-wave analogue of the rapid adiabatic passage (RAP) technique for a high fidelity and robust loading of a single atom into a harmonic ring potential from a harmonic trap, and for its transport between two concentric rings. We also considered a system of three concentric rings and investigated the transport of a single atom from the innermost ring to the outermost one via the matter-wave analogue of the stimulated Raman adiabatic passage (STIRAP) technique.

qsu FY2014 Annual Report 04
Figure: Numerical simulation of the matter-wave STIRAP process to transport a single atom from the innermost to the outermost potential of three concentric rings. Atomic density (top row) and phase distribution (bottom row) at (i) initial, (ii) intermediate, and (iii) final times of the process.

3.4 Shortcut to adiabaticity for spatial adiabatic passage

Adiabatic processes such as spatial adiabatic passage (SAP) can yield a very high fidelity, but at the cost of being carried out over long time scales. Shortcuts to adiabaticity (STA) techniques allow to speed them up adiabatic while maintaining their robustness and fidelity. We have applied STA to SAP to transfer a single electron in a system composed of three quantum dots in a robust manner, while decreasing the time required to achieve transport. In order to implement the STA a two-dimensional configuration for the quantum dots was needed, as well as the application of an external magnetic field.

qsu FY2014 Annual Report 05
Figure: (left) Sketch of the quantum-dot system where a STA is used to transport an electron between states 1 and 3. Green arrows represent an external magnetic field. (right) Fidelity of the transport with and without the application of the STA.

3.5 Persistent currents in coherently coupled Bose-Einstein condensates in a ring trap

We have studied the stability of persistent currents in coherently coupled quasi-2D Bose-Einstein condensates confined in a ring trap at T=0. By numerically solving Gross-Pitaevskii equations and analyzing the excitation spectrum obtained from diagonalisation of the Bogoliubov-de Gennes matrix, we have described the mechanisms that brings about the decay of the persistent currents depending on the values of the interaction coupling constants and the Rabi frequency. When the unpolarized system decays due to an energetic instability in the density channel, the spectrum can develop a roton-like minimum, which gives rise to the finite wavelength excitation necessary for vortex nucleation at the inner surface. When decay in the unpolarized system is driven by spin-density excitations, the finite wavelength naturally arises from the existence of a gap in the excitation spectrum. In the polarized phase of the coherently coupled condensate, there is a hybridization of the excitation modes that leads to complex decay dynamics. In particular, close to the phase transition, a state of broken rotational symmetry was found to be stationary and stable.

qsu FY2014 Annual Report 06
Figure: Density difference due to the instability between the initial and the evolved densitities for the two components (left) and associated phase patterns (right).

3.6 Moire patterns in kicked Bose-Einstein condensates

Vortex lattices in rapidly-rotating Bose--Einstein condensates lead to a periodic modulation of the superfluid density with a triangular symmetry. In this project we show that this symmetry can be combined with an external perturbation in order to create super-lattice structures with two or more periodicities. Considering a condensate which is kicked by an optical lattice potential, we find the appearance of transient Moire lattice structures, which can be identified using the kinetic energy spectrum of the condensate.

qsu FY2014 Annual Report 07
Figure: Clearly visible moire structures appear in the condensate density briefly after the kicking. The different structure sizes are due to different misalignment angles.

3.7 Artificial gauge fields for Bose Einstein Condensates trapped around nanofibers

Trapping and optically interfacing laser-cooled atoms in evanescent fields around
nanofibers paves a way to engineer hybrid quantum systems (light-matter interfaces), since they exhibit both long ground state coherence times and efficient coupling to fiber guided fields. This coupling is possible because the evanescent field around the nanofiber represents an intensity gradient to the nearby atoms, which leads to a dipole force that is either attractive or repulsive depending on the detuning. In this project we focus on a method of artificial gauge field generation, which involves adiabatic motion of atoms, that experience an evanescent field due to optical nanofibers. Because of a large gradient in generalized Rabi frequency, geometric vector and scalar potentials are created, which are related to Berry phase generation. We model the fiber-BEC coupled ensemble with artificial gauge fields by using the evanescent field of the propagating modes in the nanofiber. We perform numerical simulations of two-dimensional GPE using the artificial gauge fields
calculated for the fundamental HE11 mode, to observe vortices in the trapped BEC on both sides of the nanofibers.

qsu FY2014 Annual Report 08
Figure: This figure shows a cut through the condensate density around the fibre (not shown). The cores of a number of vortex rings are clearly visible.

3.8 Rotating NOON state creation using optimal control

We have implemented the Chopped RAndom Basis (CRAB) optimal control technique for both single particle and multiple particles on a ring of strongly correlated ultracold atoms by either a rotating the trap, modifying the barrier strength, or both to achieve a NOON superposition state. For this, we determined either the optimal angular velocity of the trap or the optimal barrier strength as a function of time, where the angular velocity is constrained to start at 0 and finish at pi, the position of the first avoided crossing in the energy spectrum. At that point, our implementation of the CRAB algorithm maximizes the fidelity and we have shown that the highest fidelity was generated by optimizing both our rotational pulse and barrier strength, while the minimum fidelity was generated by optimizing over the barrier strength alone. Thus, it should be now possible to generate a rotating pulse in a certain time regime to create a NOON state on a ring buy either optimizing the rotation of the trap or barrier strength.

qsu FY2014 Annual Report 09
Figure: The left shows the energy spectrum of a single particle on a ring with broken rotational symmetry and the panel on the right shows an example of a rotational pulse generated by the CRAB algorithm for creating a superposition state.

3.9 Measurement of collective excitations in a spin-orbit-coupled Bose-Einstein condensate

The collective excitation spectrum of a spin-orbit-coupled Bose-Einstein condensate features the existence of roton-like structure, which can be measured using Bragg spectroscopy. The spin-orbit coupling is generated by Raman dressing of atomic hyperfine states. When the Raman detuning is reduced, mode softening at a finite momentum is revealed, which provides insight into a supersolid-like phase transition. Together with the experimental group of Prof. Engles at WSU we have found that for certain experimental parameters realised in their experiment, this softening stops at a finite excitation gap and is symmetric under a sign change of the Raman detuning.

qsu FY2014 Annual Report 10
Figure: The left shows the roton softening for different Raman detunings and the right panel the schematic explaining the Bragg spectroscopy technique.

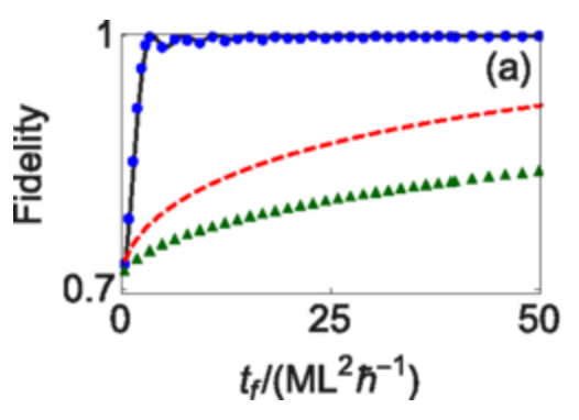
3.10 Fast quasiadiabatic dynamics

Together with the group of Prof. Muga we have worked out the theory and applications of a fast quasiadiabatic approach to speed up slow adiabatic manipulations of quantum systems by driving a control parameter as near to the adiabatic limit as possible over the entire protocol duration. We find characteristic time scales, such as the minimal time to achieve fidelity 1, and the optimality of the approach within the iterative superadiabatic sequence. Specifically, we show that the population inversion in a two-level system, the splitting and cotunneling of two-interacting bosons, and the stirring of a Tonks-Girardeau gas on a ring to achieve mesoscopic superpositions of many-body rotating and nonrotating states can be significantly speeded up.

qsu FY2014 Annual Report 11
Figure: Fidelity of the NOON state for atoms on a ring using the fast quasiadiabatic method (black line) and a linear pulse (red line) for three particles. For 9 particles the same is given by the blue dots and the green triangles, respectively.

4. Publications

4.1 Journals

  1. Spin-Orbit-Coupled Bose-Einstein Condensates in a One-Dimensional Optical Lattice
    Hamner, C., Zhang, Y., Khamehchi, M. A., Davis, M. J. & Engels, P.
    Phys. Rev. Lett. 114, 070401 (2015)
  2. Detecting atoms trapped in an optical lattice using a tapered optical nanofiber
    Hennessy, T. & Busch, T.
    Optics Express 22, 32509 (2014)
  3. Measurement of collective excitations in a spin-orbit-coupled Bose-Einstein condensate
    Khamehchi, M. A., Zhang, Y., Hamner, C., Busch, T. & Engels, P.
    Phys. Rev. A 90, 063624 (2014)
  4. Applied Bohmian mechanics
    Benseny, A., Albareda, G., Sanz, Á. S. ,Mompart, J., Oriols, X.
    Eur. Phys. J. D 68, 286 (2014)
  5. Quantum percolation and transition point of a directed discrete-time quantum walk
    Madaiah, C. & Busch, T.
    Scientific Reports 4, 6583 (2014)
  6. Quantum correlations and spatial localization in one-dimensional ultracold bosonic mixtures
    M. A. García-March, B. Juliá-Díaz, G. E. Astrakharchik, Th. Busch, J. Boronat, A. Polls
    New J. Phys. 16 103004 (2014)
  7. Quenching small quantum gases: Genesis of the orthogonality catastrophe
    Campbell, S., Garcia-March, M. A., Fogarty, T. & Busch, T.
    Phys. Rev. A 90, 013617 (2014)
  8. Quantum reservoirs with ion chains
    Taketani, B. G., Fogarty, T., Kajari, E., Busch, T. & Morigi, G.
    Phys. Rev. A 90, 012312 (2014)
  9. Dicke-type phase transition in a spin-orbit-coupled Bose-Einstin condensate
    Hamner, C., Qu, C., Zhang, Y., Chang, J., Gong, M., Zhang, C. & Engels, P. 
    Nature Communications 5, 4023 (2014)
  10. Single-atom interferometer based on two-dimensional spatial adiabatic passage
    Menchon-Enrich, R., McEndoo, S., Busch, T., Ahufinger, V. & Mompart, J.
    Phys. Rev. A 89, 053611 (2014)

4.2 Books and other one-time publications

Nothing to report

4.3 Conference Invited Lecture

  1. Busch, T. Controlled Dynamics in Strongly Correlated Many Body Systems.
    Shortcuts to Adiabaticity 2014 Shanghai, China (2014).
  2. Busch, T. Controlled Dynamics in Strongly Correlated Many Body Systems.
    Shortcusts to Adiabaticity, Optimal Quantum Control, and Thermadynamics Conference Telluride, USA (2014).
  3. White, A. Winding up toroidally trapped two-component spinor condensates. 
    International Workshop on Quantum Gases, Fluid and Solids (QGFS), University of São Paulo, São Carlos, Brazil (2014).

4.4 Conference Oral Presentation

  1. Benseny Cases, A. Hybrid systems of ions and electric-dipolar condensates. Workshop on Hierarchy of Quantum Mechanics, Okazaki Conference Center, Okazaki City, Aichi, Japan (2015).
  2. Hennessy, T. Detecting trapped atoms using an optical nanofiber 2014 Frontiers in Optics/Laser Science Conference, Arizona, U.S. (2014).
  3. Madaiah, C. Quantum percolation on a two-dimensional lattice with random disconnection using quantum walks. Quantum Simulations and Quantum Walks 2014, Durban, KwaZulu-Natal, South Africa (2014).
  4. Madaiah, C. Disorder and noise as passage for interplay between localization and diffusion of quantum walk. Joint Mathematics Meetings, Henry B. Gonzalez Convention Center, San Antonio, USA (2015).

4.5 Conference Poster Presentation

  1. Benseny, A. & Busch, T. Hybrid systems of ions and electric-dipolar condensates. Topical Research Meeting on Hybrid Quantum Systems, Nottingham, United Kingdom (2014).
  2. Benseny, A., Kiely, A., Sakharwade, N., Rushaupt, A. & Busch, T. Two-dimensional spatial adiabatic passage: generation of angular momentum and shortcuts to adiabaticity. Quantum Africa 3, Rabat, Morocco (2014).
  3. White, A., Hennessy, T., Abad, M. & Busch, T. Stability of Rotating Multicomponent BECs in Toroidal Traps. Quo Vadis BEC, Bad Honnef, Germany (2014).
  4. White, A., Hennessy, T. & Busch, T. Rotational properties of two component Bose Einstein condensates. ICAP 2014 Washington DC, USA (2014).
  5. White, A., Hennessy, T. & Busch, T. Rotational properties of two component Bose Einstein condensates. NORDITA Conference on Quantum Engineering of States and Devices, Stockholm, Sweden (2014).
  6. White, A., Hennessy, T. & Busch, T. Rotational properties of two component Bose Einstein condensates. The 27th International Conference on Low Temperature Physics, Palais Rouge Convention Center, Buenos Aires, Argentina (2014).

4.6 Seminar

  1. Busch, T. Engineering of Quantum Systems by Controlling Interactions. Turku University, Turku, Finland (2015).
  2. Busch, T. Engineering of Quantum Systems by Controlling Interactions. Aalto University, Helsinki, Finland (2015).
  3. White, A. Quantum Turbulence in Bose-Einstein Condensates. University of São Paulo, São Carlos, Brazil (2014).

5. Intellectual Property Rights and Other Specific Achievements

Nothing to report

6. Meetings and Events

6.1 Seminar

  1. Juggling with Photons in Cavities
    Date: April 15, 2014
    Venue: OIST Campus B250 Center Building
    Speaker: Prof. Serge Haroche (Collège de France and Ecole Normale Supérieure, Paris)
  2. Shortcuts to adiabaticity in many-body systems
    Date: April 22, 2014
    Venue: OIST Campus Lab1
    Speaker: Dr. Adolfo del Campo (Los Alamos National Laboratory, USA)
  3. Exotic fluid dynamics in binary superfluids
    Date:May 15, 2014
    Venue: OIST Campus Lab1
    Speaker: Dr. Hiromitsu Takeuchi (Osaka City University, Japan)
  4. Fast and Robust Control of Quantum Systems with Shortcuts to Adiabaticity
    Date:June 16, 2014
    Venue: OIST Campus Lab1
    Speaker: Dr. Andreas Raschhaupt (University College Cork, Ireland)
  5. Laser stirring as a route to Quantum Turbulence in trapped atomic Bose-Einstein condensates
    Date:July 9, 2014
    Venue: OIST Campus Lab1
    Speaker: Dr. Joy Allen (Newcastle University, UK)
  6. Optics and Atom Optics à la de Broglie-Bohm
    Date:July 23, 2014
    Venue: OIST Campus Lab1
    Speaker: Prof. Jordi Mompart (Autonomous University of Barcelona, Spain)
  7. Can we derive the second law of thermodynamics from the Schrödinger equation?
    Date:October 2, 2014
    Venue: OIST Campus Lab1
    Speaker: Prof. Biao Wu (Peking University, China)
  8. Stable two-dimensional composite solitons in spin-orbit-coupled self-attractive Bose-Einstein condensates in free space
    Date:October 6, 2014
    Venue: OIST Campus Lab1
    Speaker: Prof. Boris Malomed (Tel Aviv University, Israel)
  9. Effects of disorder and dimerization on the surface states of weak 3D topological insulators
    Date:October 24, 2014
    Venue: OIST Campus Lab1
    Speaker: Prof. Hideki Obuse (Hokkaido University, Japan)
  10. Spin Turbulence in Spinor Bose-Einstein Condensates
    Date:February 19 , 2015
    Venue: OIST Campus Lab1
    Speaker: Prof. Makoto Tsubota (Osaka City University, Japan)
  11. BEC and classical field approximation
    Date: February 24, 201
    Venue: OIST Campus Lab1
    Speaker: Prof. Kazimierz Rzazewski (Warsaw University, Poland)
  12. Artificial gauge fields and spin-orbit coupling in dilute-gas BECs
    Date:March 5, 2015
    Venue: OIST Campus Lab1
    Speaker: Prof. Peter Engels (Washington State University, USA)

6.2 Workshop: Coherent Control of Complex Quantum Systems 2014

  • Date: April 14-17, 2014
  • Venue: OIST Seaside House
  • Co-organisers: Masahito Ueda, The University of Tokyo, Japan
    Klaus Mølmer, Aarhus University, Denmark
    Tilman Esslinger, ETH Zürich, Switzerland
    Jason Twamley, Macquarie University, Australia

6.3 Workshop: Okinawa School in Physics: Coherent Quantum Dynamics 2014

  • Date: Sptember 16-25, 2014
  • Venue: OIST Seaside House
  • Co-organizers: Síle Nic Chormaic, OIST Graduate University, Japan
    Yasunobu Nakamura, The University of Tokyo, Japan
    Masahito Ueda, The University of Tokyo, Japan

6.4 Joint Symposium: Vires Acquirit Eundo "We gather strength as we move"

  • Date: December 12-13, 2014
  • Venue: OIST Campus Center Building C209
  • Co-organizer: The University of Tokyo

7. Other

Nothing to report.